Inference for the mean vector Univariate Inference Let











































































![Computer security: p 1: Valid users p 2: Imposters P[2|1] = P[identifying a valid Computer security: p 1: Valid users p 2: Imposters P[2|1] = P[identifying a valid](https://slidetodoc.com/presentation_image_h2/43c9d4b2294c8a24f7cddea5049f0f8f/image-76.jpg)


















- Slides: 94
Inference for the mean vector
Univariate Inference Let x 1, x 2, … , xn denote a sample of n from the normal distribution with mean m and variance s 2. Suppose we want to test H 0: m = m 0 vs HA : m ≠ m 0 The appropriate test is the t test: The test statistic: Reject H 0 if |t| > ta/2
The multivariate Test Let denote a sample of n from the p-variate normal distribution with mean vector and covariance matrix S. Suppose we want to test
Example For n = 10 students we measure scores on – Math proficiency test (x 1), – Science proficiency test (x 2), – English proficiency test (x 3) and – French proficiency test (x 4) The average score for each of the tests in previous years was 60. Has this changed?
The data
Summary Statistics the mean vector the sample covariance matrix
Roy’s Union- Intersection Principle This is a general procedure for developing a multivariate test from the corresponding univariate test. 1. Convert the multivariate problem to a univariate problem by considering an arbitrary linear combination of the observation vector.
2. 3. 4. 5. 6. Perform the test for the arbitrary linear combination of the observation vector. Repeat this for all possible choices of Reject the multivariate hypothesis if H 0 is rejected for any one of the choices for Accept the multivariate hypothesis if H 0 is accepted for all of the choices for Set the type I error rate for the individual tests so that the type I error rate for the multivariate test is a.
Application of Roy’s principle to the following situation Let denote a sample of n from the p-variate normal distribution with mean vector and covariance matrix S. Suppose we want to test Then u 1, …. un is a sample of n from the normal distribution with mean and variance.
to test we would use the test statistic:
and
Thus We will reject if
Using Roy’s Union- Intersection principle: We will reject We accept
i. e. We reject We accept
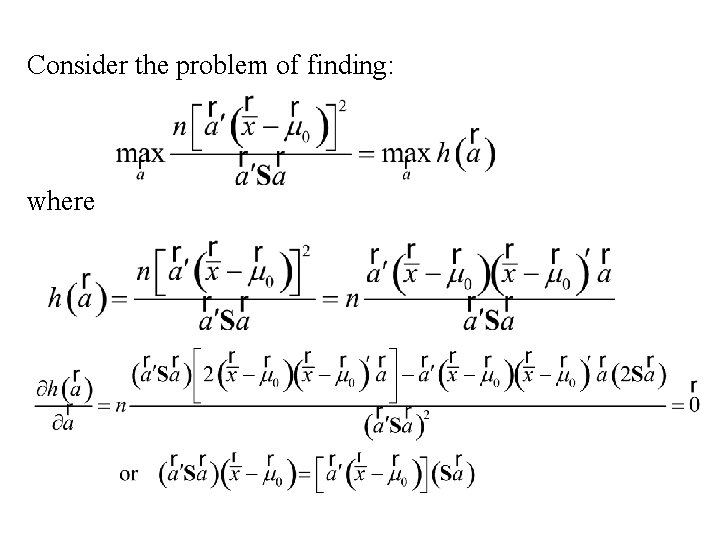
Consider the problem of finding: where
thus
Thus Roy’s Union- Intersection principle states: We reject We accept is called Hotelling’s T 2 statistic
Choosing the critical value for Hotelling’s T 2 statistic We reject , we need to find the sampling distribution of T 2 when H 0 is true. It turns out that if H 0 is true than has an F distribution with n 1 = p and n 2 = n - p
Thus Hotelling’s T 2 test We reject or if
Another derivation of Hotelling’s T 2 statistic Another method of developing statistical tests is the Likelihood ratio method. Suppose that the data vector, , has joint density Suppose that the parameter vector, , belongs to the set W. Let w denote a subset of W. Finally we want to test
The Likelihood ratio test rejects H 0 if
The situation Let denote a sample of n from the p-variate normal distribution with mean vector and covariance matrix S. Suppose we want to test
The Likelihood function is: and the Log-likelihood function is:
the Maximum Likelihood estimators of are and
the Maximum Likelihood estimators of when H 0 is true are: and
The Likelihood function is: now
Thus similarly
and
Note: Let
and Now and
Also
Thus
Thus using
Then Thus to reject H 0 if l < la This is the same as Hotelling’s T 2 test if
Example For n = 10 students we measure scores on – Math proficiency test (x 1), – Science proficiency test (x 2), – English proficiency test (x 3) and – French proficiency test (x 4) The average score for each of the tests in previous years was 60. Has this changed?
The data
Summary Statistics
Inference for the mean vector
Univariate Inference Let x 1, x 2, … , xn denote a sample of n from the normal distribution with mean m and variance s 2. Suppose we want to test H 0: m = m 0 vs HA : m ≠ m 0 The appropriate test is the t test: The test statistic: Reject H 0 if |t| > ta/2
Hotelling’s T 2 statistic and test We reject
Example For n = 10 students we measure scores on – Math proficiency test (x 1), – Science proficiency test (x 2), – English proficiency test (x 3) and – French proficiency test (x 4) The average score for each of the tests in previous years was 60. Has this changed?
The data
Summary Statistics
The two sample problem
Univariate Inference Let x 1, x 2, … , xn denote a sample of n from the normal distribution with mean mx and variance s 2. Let y 1, y 2, … , ym denote a sample of n from the normal distribution with mean my and variance s 2. Suppose we want to test H 0: mx = my vs HA : mx ≠ my
The appropriate test is the t test: The test statistic: Reject H 0 if |t| > ta/2 d. f. = n + m -2
The multivariate Test Let denote a sample of n from the p-variate normal distribution with mean vector and covariance matrix S. Let denote a sample of m from the p-variate normal distribution with mean vector and covariance matrix S. Suppose we want to test
Hotelling’s T 2 statistic for the two sample problem if H 0 is true than has an F distribution with n 1 = p and n 2 = n +m – p - 1
Thus Hotelling’s T 2 test We reject
Example 2 Annual financial data are collected for firms approximately 2 years prior to bankruptcy and for financially sound firms at about the same point in time. The data on the four variables • x 1 = CF/TD = (cash flow)/(total debt), • x 2 = NI/TA = (net income)/(Total assets), • x 3 = CA/CL = (current assets)/(current liabilties, and • x 4 = CA/NS = (current assets)/(net sales) are given in the following table.
The data are given in the following table:
Hotelling’s T 2 test A graphical explanation
Hotelling’s T 2 statistic for the two sample problem
is the test statistic for testing:
Hotelling’s T 2 test X 2 Popn A Popn B X 1
X 2 Univariate test for X 1 Popn A Popn B X 1
X 2 Univariate test for X 2 Popn A Popn B X 1
X 2 Univariate test for a 1 X 1 + a 2 X 2 Popn A Popn B X 1
Mahalanobis distance A graphical explanation
Euclidean distance
Mahalanobis distance: S, a covariance matrix
Hotelling’s T 2 statistic for the two sample problem
Case I X 2 Popn A Popn B X 1
Case II X 2 Popn A Popn B X 1
In Case I the Mahalanobis distance between the mean vectors is larger than in Case II, even though the Euclidean distance is smaller. In Case I there is more separation between the two bivariate normal distributions
Discrimination and Classification
Discrimination Situation: We have two or more populations p 1, p 2, etc (possibly p-variate normal). The populations are known (or we have data from each population) We have data for a new case (population unknown) and we want to identify the which population for which the new case is a member.
Examples
The Basic Problem Suppose that the data from a new case x 1, … , xp has joint density function either : p 1: f(x 1, … , xn) or p 2: g(x 1, … , xn) We want to make the decision to D 1: Classify the case in p 1 (f is the correct distribution) or D 2: Classify the case in p 2 (g is the correct distribution)
The Two Types of Errors 1. Misclassifying the case in p 1 when it actually lies in p 2. Let P[1|2] = P[D 1|p 2] = probability of this type of error 2. Misclassifying the case in p 2 when it actually lies in p 1. Let P[2|1] = P[D 2|p 1] = probability of this type of error This is similar Type I and Type II errors in hypothesis testing.
Note: A discrimination scheme is defined by splitting p – dimensional space into two regions. 1. C 1 = the region were we make the decision D 1. (the decision to classify the case in p 1) 2. C 2 = the region were we make the decision D 2. (the decision to classify the case in p 2)
There can be several approaches to determining the regions C 1 and C 2. All concerned with taking into account the probabilities of misclassification P[2|1] and P[1|2] 1. Set up the regions C 1 and C 2 so that one of the probabilities of misclassification , P[2|1] say, is at some low acceptable value a. Accept the level of the other probability of misclassification P[1|2] = b.
2. Set up the regions C 1 and C 2 so that the total probability of misclassification: P[Misclassification] = P[1] P[2|1] + P[2]P[1|2] is minimized P[1] = P[the case belongs to p 1] P[2] = P[the case belongs to p 2]
3. Set up the regions C 1 and C 2 so that the total expected cost of misclassification: E[Cost of Misclassification] = c 2|1 P[1] P[2|1] + c 1|2 P[2]P[1|2] is minimized P[1] = P[the case belongs to p 1] P[2] = P[the case belongs to p 2] c 2|1= the cost of misclassifying the case in p 2 when the case belongs to p 1. c 1|2= the cost of misclassifying the case in p 1 when the case belongs to p 2.
4. Set up the regions C 1 and C 2 The two types of error are equal: P[2|1] = P[1|2]
Computer security: p 1: Valid users p 2: Imposters P[2|1] = P[identifying a valid user as an imposter] P[1|2] = P[identifying an imposter as a valid user ] P[1] = P[valid user] P[2] = P[imposter] c 2|1= the cost of identifying the user as an imposter when the user is a valid user. c 1|2= the cost of identifying the user as a valid user when the user is an imposter.
This problem can be viewed as an Hypothesis testing problem H 0: p 1 is the correct population HA: p 2 is the correct population P[2|1] = a P[1|2] = b Power = 1 - b
The Neymann-Pearson Lemma Suppose that the data x 1, … , xn has joint density function f(x 1, … , xn ; q) where q is either q 1 or q 2. Let g(x 1, … , xn) = f(x 1, … , xn ; q 1) and h(x 1, … , xn) = f(x 1, … , xn ; q 2) We want to test H 0: q = q 1 (g is the correct distribution) against HA: q = q 2 (h is the correct distribution)
The Neymann-Pearson Lemma states that the Uniformly Most Powerful (UMP) test of size a is to reject H 0 if: and accept H 0 if: where ka is chosen so that the test is of size a.
Proof: Let C be the critical region of any test of size We want to show that Note: a. Let
hence and Thus
and
Thus and when we add the common quantity Q. E. D. to both sides.
Fishers Linear Discriminant Function. Suppose that x 1, … , xp is either data from a p-variate Normal distribution with mean vector: The covariance matrix S is the same for both populations p 1 and p 2.
The Neymann-Pearson Lemma states that we should classify into populations p 1 and p 2 using: That is make the decision D 1 : population is p 1 if l ≥ ka
or or and Finally we make the decision D 1 : population is p 1 if where
The function Is called Fisher’s linear discriminant function
In the case where the populations are unknown but estimated from data Fisher’s linear discriminant function
Example 2 Annual financial data are collected for firms approximately 2 years prior to bankruptcy and for financially sound firms at about the same point in time. The data on the four variables • x 1 = CF/TD = (cash flow)/(total debt), • x 2 = NI/TA = (net income)/(Total assets), • x 3 = CA/CL = (current assets)/(current liabilties, and • x 4 = CA/NS = (current assets)/(net sales) are given in the following table.
The data are given in the following table: