Fundamentals of Electromagnetics for Teaching and Learning A
































































































- Slides: 96
Fundamentals of Electromagnetics for Teaching and Learning: A Two-Week Intensive Course for Faculty in Electrical-, Electronics-, Communication-, and Computer- Related Engineering Departments in Engineering Colleges in India by Nannapaneni Narayana Rao Edward C. Jordan Professor Emeritus of Electrical and Computer Engineering University of Illinois at Urbana-Champaign, USA Distinguished Amrita Professor of Engineering Amrita Vishwa Vidyapeetham, India
2 - Program for Hyderabad Area and Andhra Pradesh Faculty Sponsored by IEEE Hyderabad Section, IETE Hyderabad Center, and Vasavi College of Engineering IETE Conference Hall, Osmania University Campus Hyderabad, Andhra Pradesh June 3 – June 11, 2009 Workshop for Master Trainer Faculty Sponsored by IUCEE (Indo-US Coalition for Engineering Education) Infosys Campus, Mysore, Karnataka June 22 – July 3, 2009
2 -2 Module 2 Maxwell’s Equations in Integral Form 2. 1 The line integral 2. 2 The surface integral 2. 3 Faraday’s law 2. 4 Ampere’s circuital law 2. 5 Gauss’ Laws 2. 6 The Law of Conservation of Charge 2. 7 Application to static fields
2 -3 Instructional Objectives 8. Evaluate line and surface integrals 9. Apply Faraday's law in integral form to find the electromotive force induced around a closed loop, fixed or revolving, for a given magnetic field distribution 10. Make use of the uniqueness of the magnetomotive force around a closed path to find the displacement current emanating from a closed surface for a given current distribution 11. Apply Gauss’ law for the electric field in integral form to find the displacement flux emanating from a closed surface bounding the volume for a specified charge distribution within the volume 12. Apply Gauss’ law for the magnetic field in integral form to simplify the problem of finding the magnetic flux crossing a surface
2 -4 Instructional Objectives (Continued) 13. Apply Gauss' law for the electric field in integral form, Ampere's circuital law in integral form, the law of conservation of charge, and symmetry considerations, to find the line integral of the magnetic field intensity around a closed path, given an arrangement of point charges connected by wires carrying currents 14. Apply Gauss’ law for the electric field in integral form to find the electric fields for symmetrical charge distributions 15. Apply Ampere’s circuital law in integral form, without the displacement current term, to find the magnetic fields for symmetrical current distributions
2 -5 2. 1 The Line Integral (EEE, Sec. 2. 1; FEME, Sec. 2. 1)
2 -6 The Line Integral: Work done in carrying a charge from A to B in an electric field: a 1 a 2
2 -7 (Voltage between A and B)
2 -8 In the limit , = Line integral of E from A to B. = Line integral of E around the closed path C.
2 -9 If then is independent of the path from A to B (conservative field)
2 -10 along the straight line paths, from (0, 0, 0) to (1, 0, 0), from (1, 0, 0) to (1, 2, 0) and then from (1, 2, 0) to (1, 2, 3).
2 -11 From (0, 0, 0) to (1, 0, 0), From (1, 0, 0) to (1, 2, 0),
2 -12 From (1, 2, 0) to (1, 2, 3),
2 -13 In fact,
2 -14 Review Questions 2. 1. How do you find the work done in moving a test charge by an infinitesimal distance in an electric field? 2. 2. What is the amount of work involved in moving a test charge normal to the electric field? 2. 3. What is the physical interpretation of the line integral of E between two points A and B? 2. 4. How do you find the approximate value of the line integral of a vector field along a given path? How do you find the exact value of the line integral? 2. 5. Discuss conservative versus nonconservative fields, giving examples.
2 -15 Problem S 2. 1. Evaluation of line integral around a closed path in Cartesian coordinates
2 -16 Problem S 2. 2. Evaluation of line integral around a closed path in spherical coordinates
2 -17 2. 2 The Surface Integral (EEE, Sec. 2. 2; FEME, Sec. 2. 2)
2 -18 The Surface Integral Flux of a vector crossing a surface: Flux = (B)(DS) Flux = 0 a
2 -19 = Surface integral of B over S.
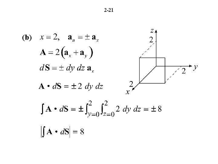
2 -20 = Surface integral of B over the closed surface S. D 2. 4 (a)
2 -21 (b)
2 -22 (c)
2 -23 (d) From (c),
2 -24 Review Questions 2. 6. How do you find the magnetic flux crossing an infinitesimal surface? 2. 7. What is the magnetic flux crossing an infinitesimal surface oriented parallel to the magnetic flux density vector? 2. 8. For what orientation of an infinitesimal surface relative to the magnetic flux density vector is the magnetic flux crossing the surface a maximum? 2. 9. How do you find the approximate value of the surface integral of a vector field over a given surface? How do you find the exact value of the surface integral? 2. 10. Provide physical interpretation for the closed surface integrals of any two vectors of your choice. ,
2 -25 Problem S 2. 3. Evaluation of surface integral over a closed surface in Cartesian coordinates
2 -26 2. 3 Faraday’s Law (EEE, Sec. 2. 3; FEME, Sec. 2. 3)
2 -27 Faraday’s Law
Voltage around C, also known as electromotive force (emf) around C (but not really a force), = Magnetic flux crossing S, = Time rate of decrease of magnetic flux crossing S,
2 -29 Important Considerations (1) Right-hand screw (R. H. S. ) Rule The magnetic flux crossing the surface S is to be evaluated toward that side of S a right-hand screw advances as it is turned in the sense of C.
2 -30 (2) Any surface S bounded by C The surface S can be any surface bounded by C. For example: This means that, for a given C, the values of magnetic flux crossing all possible surfaces bounded by it is the same, or the magnetic flux bounded by C is unique.
2 -31 (3) Imaginary contour C versus loop of wire There is an emf induced around C in either case by the setting up of an electric field. A loop of wire will result in a current flowing in the wire. (4) Lenz’s Law States that the sense of the induced emf is such that any current it produces, if the closed path were a loop of wire, tends to oppose the change in the magnetic flux that produces it.
2 -32 Thus the magnetic flux produced by the induced current and that is bounded by C must be such that it opposes the change in the magnetic flux producing the induced emf. (5) N-turn coil For an N-turn coil, the induced emf is N times that induced in one turn, since the surface bounded by one turn is bounded N times by the N-turn coil. Thus
2 -33 where is the magnetic flux linked by one turn.
2 -34 D 2. 5 (a)
2 -35 Lenz’s law is verified.
2 -36 (b)
2 -37 (c)
2 -38 E 2. 2 Motional emf concept conducting rails conducting bar
2 -39 This can be interpreted as due to an electric field induced in the moving bar, as viewed by an observer moving with the bar, since
2 -40 where is the magnetic force on a charge Q in the bar. Hence, the emf is known as motional emf.
2 -41 Review Questions 2. 11. State Faraday’s law. 2. 12. What are the different ways in which an emf is induced around a loop? 2. 13. Discuss the right-hand screw rule convention associated with the application of Faraday’s law. 2. 14. To find the induced emf around a planar loop, is it necessary to consider the magnetic flux crossing the plane surface bounded by the loop? Explain. 2. 15. What is Lenz’ law? 2. 16. Discuss briefly the motional emf concept. 2. 17. How would you orient a loop antenna in order to receive maximum signal from an incident electromagnetic wave which has its magnetic field linearly polarized in the north-south direction?
2 -42 Problem S 2. 4. Induced emf around a rectangular loop of metallic wire falling in the presence of a magnetic field
2 -43 Problem S 2. 5. Induced emf around a rectangular metallic loop revolving in a magnetic field
2 -44 2. 4 Ampére’s Circuital Law (EEE, Sec. 2. 4; FEME, Sec. 2. 4)
2 -45 Ampére’s Circuital Law
2 -46 = Magnetomotive force (only by analogy with electromotive force), = Current due to flow of charges crossing S, = Displacement flux, or electric flux, crossing S,
2 -47 = Time rate of increase of displacement flux crossing S, or, displacement current crossing S, Right-hand screw rule. Any surface S bounded by C, but the same surface for both terms on the right side.
2 -48 Three cases to clarify Ampére’s circuital law (a) Infinitely long, current carrying wire No displacement flux
2 -49 (b) Capacitor circuit (assume electric field between the plates of the capacitor is confined to S 2)
2 -50 (c) Finitely long wire
2 -51 Uniqueness of
2 -52 Displacement current emanating from a closed surface = – (current due to flow of charges emanating from the same closed surface)
2 -53 D 2. 9 (a) Current flowing from Q 2 to Q 3.
2 -54 (b) Displacement current emanating from the spherical surface of radius 0. 1 m and centered at Q 1. (c) Displacement current emanating from the spherical surface of radius 0. 1 m and centered at Q 3.
2 -55 Interdependence of Time-Varying Electric and Magnetic Fields
2 -56 Hertzian Dipole
2 -57 Radiation from Hertzian Dipole
2 -58 Review Questions 2. 18. State Ampere’s circuital law. 2. 19. What is displacement current? Compare and contrast displacement current with current due to flow of charges, giving an example. 2. 20. Why is it necessary to have the displacement current term on the right side of Ampere’s circuital law? 2. 21. Is it meaningful to consider two different surfaces bounded by a closed path to compute the two different currents on the right side of Ampere’s circuital law to find the line integral of H around the closed path? 2. 22. When can you say that the current in a wire enclosed by a closed path is uniquely defined? Give two examples.
2 -59 Review Questions (Continued) 2. 23. Give an example in which the current in a wire enclosed by a closed path is not uniquely defined. 2. 24. Discuss the relationship between the displacement current emanating from a closed surface and the current due to flow of charges emanating from the same closed surface. 2. 25. Discuss the interdependence of time-varying electric and magnetic fields through Faraday’s law and Ampere’s circuital law, and, as a consequence, the principle of radiation from a wire carrying time-varying current.
2 -60 Problem S 2. 6. Finding the displacement current emanating from a closed surface for a given current density J
2 -61 Problem S 2. 7. Finding the rms value of current drawn from a voltage source connected to a capacitor
2 -62 2. 5 Gauss’ Laws (EEE, Sec. 2. 5; FEME, Secs. 2. 5, 2. 6)
2 -63 Gauss’ Law for the Electric Field r Displacement flux emanating from a closed surface S = charge contained in the volume bounded by S = charge enclosed by S.
2 -64 Gauss’ Law for the Magnetic Field Magnetic flux emanating from a closed surface S = 0.
2 -65 P 2. 21 Finding displacement flux emanating from a surface enclosing charge (a) Surface of cube bounded by
2 -66 (b) Surface of the volume x > 0, y > 0, z > 0, and (x 2 + y 2 + z 2) < 1.
2 -67 P 2. 23
2 -68
2 -69 Review Questions 2. 26. State Gauss’ law for the electric field. 2. 27. How do you evaluate a volume integral? . 2. 28. State Gauss’ law for the magnetic field. 2. 29. What is the physical interpretation of Gauss’ law for the magnetic field.
2 -70 Problem S 2. 8. Finding the displacement flux emanating from a surface enclosing charge
2 -71 Problem S 2. 9. Application of Gauss’ law for the magnetic field in integral form
2 - 2. 6 The Law of Conservation of Charge (EEE, Sec. 2. 6; FEME, Sec. 2. 5)
2 -73 Law of Conservation of Charge r(t) Current due to flow of charges emanating from a closed surface S = Time rate of decrease of charge enclosed by S.
2 -74 Summarizing, we have the following: Maxwell’s Equations (1) (2) (3) (4)
2 -75 Law of Conservation of Charge (5) (4) is, however, not independent of (1), whereas (3) follows from (2) with the aid of (5).
2 -76 E 2. 3 (Ampére’s Circuital Law) (Gauss’ Law for the electric field and symmetry considerations)
2 -77 (Law of Conservation of Charge)
2 -78 Review Questions 2. 30. State the law of conservation of charge. . 2. 31. How do you evaluate a volume integral? . 2. 32. Summarize Maxwell’s equations in integral form for time-varying fields. 2. 33. Which two of the Maxwell’s equations are independent? Explain. .
2 -79 Problem S 2. 10. Combined application of several of Maxwell’s equations in integral form
2 -80 2. 6 Application to Static Fields (EEE, Sec. 2. 7)
2 -81
2 -82
2 -83
2 -84
2 -85
2 -86
2 -87
2 -88
2 -89
2 -90
2 -91
2 -92 Review Questions 2. 34. Summarize Maxwell’s equations in integral form for static fields. 2. 35. Are static electric and magnetic fields interdependent? 2. 36. Discuss briefly the application of Gauss’ law for the electric field in integral form to determine the electric field due to charge distributions. 2. 37. Discuss briefly the application of Ampere’s circuital law in integral form for the static case to determine the magnetic field due to current distributions.
2 -93 Problem S 2. 11. Application of Gauss’ law for the electric field in integral form and symmetry
2 -94 Problem S 2. 12. Application of Ampere’s circuital law in integral form and symmetry
2 - The End