Fundamentals of Electromagnetics A TwoWeek 8 Day Intensive











































































- Slides: 75
Fundamentals of Electromagnetics: A Two-Week, 8 -Day, Intensive Course for Training Faculty in Electrical-, Electronics-, Communication-, and Computer- Related Engineering Departments by Nannapaneni Narayana Rao Edward C. Jordan Professor Emeritus of Electrical and Computer Engineering University of Illinois at Urbana-Champaign, USA Distinguished Amrita Professor of Engineering Amrita Vishwa Vidyapeetham, India Amrita Viswa Vidya Peetham, Coimbatore August 11, 12, 13, 14, 18, 19, 20, and 21, 2008
1 Module 5 Wave Propagation in Material Media Conductors and dielectrics Magnetic materials Wave equation and solution Uniform waves in dielectrics and conductors Boundary conditions
2 Instructional Objectives 17. Find the charge densities on the surfaces of infinite plane conducting slabs (with zero or nonzero net surface charge densities) placed parallel to infinite plane sheets of charge 18. Find the displacement flux density, electric field intensity, and the polarization vector in a dielectric material in the presence of a specified charge distribution, for simple cases involving symmetry 19. Find the magnetic field intensity, magnetic flux density, and the magnetization vector in a magnetic material in the presence of a specified current distribution, for simple cases involving symmetry
3 Instructional Objectives (Continued) 20. Determine if the polarization of a specified electric/magnetic field in an anisotropic dielectric/magnetic material of permittivity/permeability matrix represents a characteristic polarization corresponding to the material 21. Write expressions for the electric and magnetic fields of a uniform plane wave propagating away from an infinite plane sheet of a specified sinusoidal current density, in a material medium 22. Find the material parameters from the propagation parameters of a sinusoidal uniform plane wave in a material medium 23. Find the charge and current densities on a perfect conductor surface by applying the boundary conditions for the electric and magnetic fields on the surface 24. Find the electric and magnetic fields at points on one side of a dielectric-dielectric interface, given the electric and magnetic fields at points on the other side of the interface
4 Conductors and Dielectrics (FEME, Secs. 5. 1; EEE 6 E, Secs. 4. 1, 4. 2)
5 Materials contain charged particles that under the application of external fields respond giving rise to three basic phenomena known as conduction, polarization, and magnetization. While these phenomena occur on the atomic or “microscopic” scale, it is sufficient for our purpose to characterize the material based on “macroscopic” scale observations, that is, observations averaged over volumes large compared with atomic dimensions. 8
6 Material Media can be classified as (1) (2) (3) Conductors and Semiconductors electric property Dielectrics Magnetic materials – magnetic property Conductors and Semiconductors Conductors are based upon the property of conduction, the phenomenon of drift of free electrons in the material with an average drift velocity proportional to the applied electric field.
7 In semiconductors, conduction occurs not only by electrons but also by holes – vacancies created by detachment of electrons due to breaking of covalent bonds with other atoms. The conduction current density is given by Ohm’s Law at a point
8 conductors semiconductors
9 Ohm’s Law
10 D 4. 1 (a) (b) For cu,
11 (c) From
12 Conductor in a static electric field
13 r S = – 0 E 0 r. S 0 E = – r. S 0 az 0 r S = 0 E 0 r S = – 0 E 0 r S = 0 E 0 –r. S 0
14 P 4. 3 (a) r. S 1 r. S 2
15 (b) r. S 11 r. S 12 r. S 21 r. S 22 Write two more equations and solve for the four unknowns.
16 Dielectrics are based upon the property of polarization, which is the phenomenon of the creation of electric dipoles within the material. Electronic polarization: (bound electrons are displaced to form a dipole) Dipole moment p = Qd
17 Orientational polarization: (Already existing dipoles are acted upon by a torque) Direction into the paper. Ionic polarization: (separation of positive and negative ions in molecules)
18 The Permittivity Concept 11
19 The phenomenon of polarization results in a polarization charge in the material which produces a secondary E.
20 Polarization Current
21 To take into account the effect of polarization, we define the displacement flux density vector, D, as vary with the material, implicitly taking into account the effect of polarization.
22 As an example, consider Then, inside the material,
23 D 4. 3 For 0 < z < d, (a)
24 (b) (c)
25 Isotropic Dielectrics: D is parallel to E for all E. Anisotropic Dielectrics: D is not parallel to E in general. Only for certain directions (or polarizations) of E is D parallel to E. These are known as characteristic polarizations.
26
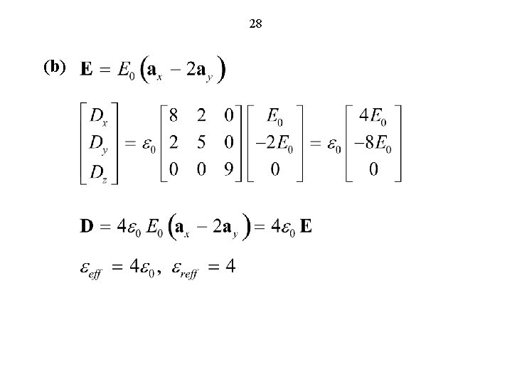
27 D 4. 4 (a)
28 (b)
29 (c)
Magnetic Materials (FEME, Sec. 5. 2; EEE 6 E, Sec. 4. 3)
31 Magnetic Materials are based upon the property of magnetization, which is the phenomenon of creation of magnetic dipoles within the material. Diamagnetism: A net dipole moment is induced by changing the angular velocities of the electronic orbits. Dipole moment m = IA an
32 Paramagnetism Already existing dipoles are acted upon by a torque.
33 The Permeability Concept , Magnetic Field Intensity
34 The phenomenon of magnetization results in a magnetization current in the material which produces a secondary B.
Magnetization Current 35
36 To take into account the effect of magnetization, we define the magnetic field intensity vector, H, as mr and m vary with the material, implicitly taking into account the effect of magnetization.
As an example, consider Then inside the material, 37
38 D 4. 6 For 0 < z < d, (a)
39 (b) (c)
40 Materials and Constitutive Relations Summarizing, Conductors Dielectrics Magnetic materials E and B are the fundamental field vectors. D and H are mixed vectors taking into account the dielectric and magnetic properties of the material implicity through and , respectively.
Wave Equation and Solution (FEME, Sec. 5. 3; EEE 6 E, Sec. 4. 4)
42 Waves in Material Media
43 Combining, we get Define Then Wave equation
44 Solution:
45 attenuation a = attenuation constant, Np/m b = phase constant, rad/m
46
47
48
Summarizing, conversely, 49
50 Example: Solution:
51
52
53
Uniform Plane Waves in Dielectrics and Conductors (FEME, Sec. 5. 4; EEE 6 E, Sec. 4. 5)
55 Special Cases: 1. Perfect dielectric: Behavior same as in free space except that 0 and 0 .
56 2. Imperfect Dielectric: Behavior essentially like in a perfect dielectric except for attenuation.
57 3. Good Conductor: Behavior much different from that in a dielectric.
58 4. Perfect Conductor: No waves can penetrate into a perfect conductor. No time-varying fields inside a perfect conductor.
Boundary Conditions (FEME, Sec. 5. 5; EEE 6 E, Sec. 4. 6)
60 Why boundary conditions? Medium 1 Inc. wave Ref. wave Medium 2 Trans. wave
61 Maxwell’s equations in integral form must be satisfied regardless of where the contours, surfaces, and volumes are. Example: C 3 C 1 Medium 1 C 2 Medium 2
62 Boundary Conditions Jn 1 JS Ht 2 Ht 1 an Medium 1, z > 0 Bn 1 Dn 1 Jn 2 Et 1 Bn 2 Dn 2 Et 2 z= 0 z Medium 2, z < 0 x y
63 Example of derivation of boundary conditions Medium 1 Medium 2
64 or,
65 Summary of boundary conditions
66 Perfect Conductor Surface (No time-varying fields inside a perfect conductor. Also no static electric field; may be a static magnetic field. ) Assuming both E and H to be zero inside, on the surface,
67
68 Dielectric-Dielectric Interface
69
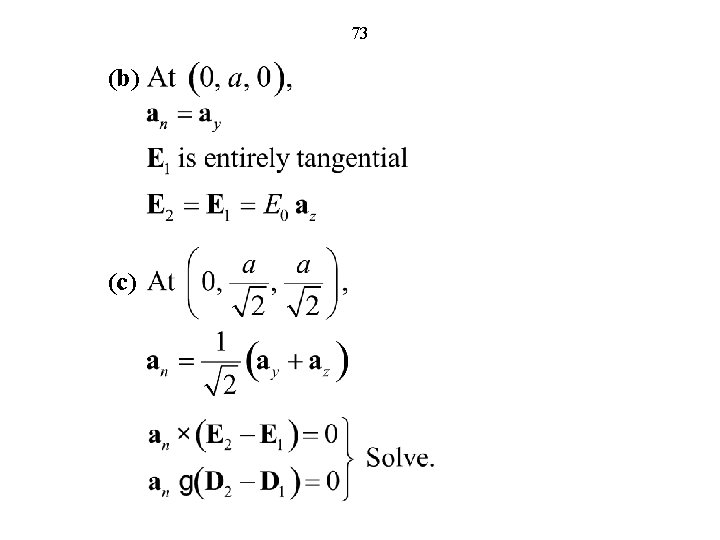
Example: 70 D 4. 11 At a point on a perfect conductor surface, (a) and pointing away from the surface. Find . D 0 is positive.
71 (b) and pointing toward the surface. D 0 is positive.
72 Example: (a)
73 (b) (c)
The End