Acceleration of the Universe 0 100 pc 100



























































![様々なモデル • Old inflation model [Sato K 1981; Guth A 1981] • New inflation 様々なモデル • Old inflation model [Sato K 1981; Guth A 1981] • New inflation](https://slidetodoc.com/presentation_image_h2/7821f918ebfe91a6052be73e6ba2b24e/image-60.jpg)









- Slides: 69
Acceleration of the Universe
宇宙の距離はしご 方法 適用距離 年周視差測定 0~ 100 pc 星団視差法 100 pc~ 10 kpc 散開星団主系列星 100 pc ~ 50 kpc Cepheid型変光星 Tully-Fisher法 SN Ia 10 kpc~ 25 Mpc 10 Mpc~ 200 Mpc 60 Mpc~ 4000 Mpc
Trigonometric Parallax • Hipparcos Satellite 1989. 8. 8 -- 1993. 6 高精度視差観測衛星 – 角度精度 1/000'' – 118, 274個の恒星の視差を観測 • JASMINE = 1’’ 1 pc=3. 26 ly (Japan Astrometry Satellite Mission for INfrared Exploration) http: //www. jasmine-galaxy. org/indexj. html 高精度赤外線位置観測衛星 – 角度精度 10 s – 1億個の恒星(銀河面の半分)を観測 予定 q
Gaia • Outline – Observation locus L 2 point by Soyuz-FG Launch: 2012 Price: 650 m euro Duration: 5 yrs Distance limit: 10 kpc Ang. res: 7 ac for V=10, 12 -15 ac for V=15, 100 -300 ac for V=20 – Ang. vel. 0. 5 km/s for 40, 000 stars. – – – • Instruments – ASTRO: ang. Position of stars m=5. 7 -20 – photometer: 320 -1000 nm for stars m=5. 7 -20 – Spectrometer: high resolution spec. at 847 -874 nm for m<17.
HR Diagram of Our Galaxy HR diagram of globular clusters of our Galaxy HR diagram of our Galaxy observed by Hipparucos
HR図での進化 Kippenhahn R, Weigert A : Stellar Structure and Evolution (1990)
Mathewson, Ford and Visvanathan (1986) Ap. J 301: 664
Hubble Key Project H 0= 71 ± 6 km/s Mpc From 25 galaxies Mould et al. (2000) Ap. J 529: 7867
Hubble定数 by HST • Hubbleの法則 cz = H 0 d (v/c ¿ 1) Doppler 効果 z= / ' v/c 宇宙膨張 • H 0の観測値 H 0= 71 +/- 7 km/s/Mpc 1 Mpc= 106 pc 1 pc=3. 26 光年 = 3£ 1018 cm
Hubble Diagramの拡張 Flat ΛCDM models Curved CDM models Degeneracy
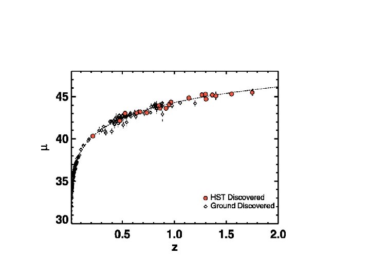
SNIa で宇宙を計測する (High z) Supernova Search Team 1998 Riess AG et al 16 SNe Ia (z=0. 16 -0. 62) + 34 nearbys 2004 Riess AG et al 16 SNe Ia (z>1. 25 by HST) + 170 SNe Supernova Cosmology Project 1997 Perlmutter S et al 7 SNe Ia (z=0. 35 -0. 46) 1998 Perlmutter S et al 42 SNe Ia (z=0. 18 -0. 83) 2003 Knop RA et al 11 SNe Ia (z=0. 36 -0. 86, HST) Supernova Legacy Survey 1 st yr 2005 Astier P 71 SNe Ia (0. 249<z<1. 01) + 44 nearbys Union Compilation 250 at high z + 57 at low z [Kowalski et al (2008)] Union Plus Compilation 492 SNe: Union + Cf. A 3 [Hicken M et al (2009)] SDSS SN Survey [Kessler et al (2009)] Union 2 Compilation 557 Sne [Amanullha R et al (2010)]
Supernova Legacy Survey SNLS collaboration: A&A 447: 31 ( 2006)
Union Plus Astrophys. J. 700: 1097 -1140, 2009. e-Print: ar. Xiv: 0901. 4804 [astro-ph. CO]
Union 2 Compilation: 557 SNe ¢ w=+/- 1 R. Amanullah et al. , Astrophys. J. 716, 712 (2010), ar. Xiv: 1004. 1711 [astro-ph. CO].
CMB Temperature Map by WMAP
宇宙のDark Pie 通常物質 暗黒 物質 ダークエネルギー WMAP Collaboration: Ap. J Suppl. 170: 377 (2007) SDSS Collaboration: Ap. J 633: 560 (2005) WMAP 5 yr data: ar. Xiv: 0863. 0547
Reacceleration of the Universe 1998 Discovery by SNIa (SNCP, Hz. ST) 2003 WMAP 1 st year 2005 イ BAO (SDSS) 熱いビッグバン宇宙 ン フ WMAP 3 rd year 2006 レ 2007 Chandra X observation (fgas シ method) ョ ー 宇 宙 の 膨 張 速 度 ン WMAP 5 year data 2008 宇宙時間 暗 黒 時 代 現 在 の 宇 宙 の 加 速 膨 張
BIG-BANG MODELの諸問題
INFLATION UNIVERSE MODEL
CMP Polarisation • Stokes Parameters for the Linear Polarisation • Polarisation Tensor Pure E-mode b E cosb+ B sinb Pure E-mode Pure B-mode Lue, Wang, Kamionkowski 1999
Polarised Radiation Transfer • Flux intensity tensor I¹º where e¹kp (p=1, 2) is the polarisation basis: e¹¢ k¹=0. • The Stokes parameters are expressed as Linear Polarisation Circular Polarisation
Boltzmann Equation • When the WKB approximation is valid for radiation fields, I¹º satisfies the Boltzmann equation: GW + mode ) d T, E-mode GW £ mode ) B-mode
INFLATION 問題
様々なモデル • Old inflation model [Sato K 1981; Guth A 1981] • New inflation model [Linde A 1982; Albrecht A, Steinhardt P 1982] • Chaotic inflation model [Linde A 1983] このモデルでは – 現在のホライズン領域が 1/H となる時期: f. H » 15 [Linde A 1990 B] – ゆらぎの大きさ: H » mf 2/(5¼ 61/2) – COBE規格化: H » 2£ 10 -5 ) m» 3£ 10 -6(=7£ 1012 Ge. V). • Power law inflation model [Abbott LF, Wise MB 1984; Lucchin F, Matarrese S 1985] • Hybrid inflation model [Linde A 1994] – • このモデルでは,f ¸ f. C =M/g のとき s ¼ 0 となり,mが小さいとき f 方向にポテンシャルは平坦となる. m 2 f. C 2= m 2 M 2 /g 2 ¿ M 4 / のとき,臨界点でのHubbleは H 2=M 4/(12 ) となる.したがって,M 2> 2 m 2 /g 2 か つ m 2 ¿ H 2 ならば f >f. C でインフレーションが起きる. DBI inflation model [Alishahiha M, Silverstein E, Tong D 2004]
再加熱問題 • バリオン非対称性:n. B/ng =(6. 10+/- 0. 21)£ 10 -10 (WMAP 3 yr) Cf. Thermal leptogenesis ) Tr>O(109)Ge. V [Buchmuller W, Di Bari P, Plumacher M 2005] • Gravitino問題 [Kawasaki M, Takahashi F, Yanagida 2006; Kawasaki M, Moroi T 1995] – m 3/2=100 Ge. V – 10 Te. V (unstable): Thermal production ) Tr<106 -8 Ge. V (BBN constraint) – 10 ke. V< m 3/2<O(10)Ge. V (stable, LSP): Tr<107 Ge. V(m 3/2/1 Ge. V) ( M constraint)
Small Field vs Large Field • Small field model – | | < mpl – 例: • New influm, Hybrid influm, • Racetrack model • D 3 -D 7 brane influm – 問題点 • ポテンシャルを超平坦に微調整 • 量子補正に敏感 • 初期条件の微調整が必要. new influm
Eta Problem • Single inflaton slow roll model – Slow roll parameters • , ¿ 1 required! Potential in 4 D N=1 SUGRA – Kahler potential: – Superpotential: W(z) (holomorphic) – Kahler F-term correction to the inflaton mass – -problem The eta problem may be solved if theory has a shift symmetry Kawasaki M, Yamaguchi M, Yanagida T 2000