9 1 Sequence 9 2 Infinite Series 9

  • Slides: 119
Download presentation

本章大綱 9. 1 Sequence數列 9. 2 Infinite Series無窮級數 9. 3 9. 4 9. 5

本章大綱 9. 1 Sequence數列 9. 2 Infinite Series無窮級數 9. 3 9. 4 9. 5 Tests for Convergence審斂法 Power Series, Maclaurin Series, Taylor Series冪級數、 麥可勞林級數和泰勒級數 Taylor and Maclaurin Series 泰勒級數與麥克勞林級數

9. 1. 1 Sequence 數列 例:

9. 1. 1 Sequence 數列 例:

9. 1. 2 The Limit of a Sequence數列的極限

9. 1. 2 The Limit of a Sequence數列的極限

9. 1. 3 Limit laws for sequences

9. 1. 3 Limit laws for sequences

9. 1. 4 Theorem 例題1. Calculate 解: .

9. 1. 4 Theorem 例題1. Calculate 解: .

9. 1. 5 The squeeze theorem for sequence 夾擠定理 例題2. Discuss the convergence of

9. 1. 5 The squeeze theorem for sequence 夾擠定理 例題2. Discuss the convergence of the sequence 解: .

例題3. For what values of 解: is the sequence convergent.

例題3. For what values of 解: is the sequence convergent.

9. 1. 6 Monotonic Sequences單調數列

9. 1. 6 Monotonic Sequences單調數列

9. 1. 7 Bounded Sequence 有界數列

9. 1. 7 Bounded Sequence 有界數列

例題4. Show that the sequence 證明: is convergent.

例題4. Show that the sequence 證明: is convergent.

9. 1. 8 Theorems

9. 1. 8 Theorems

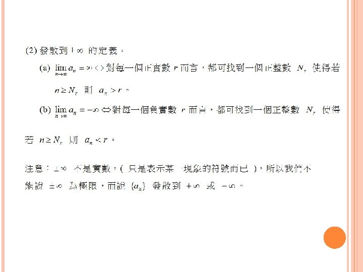
9. 1. 10 Theorem 例題6. Determine whether the sequence convergent or divergent. 解: is

9. 1. 10 Theorem 例題6. Determine whether the sequence convergent or divergent. 解: is

9. 2 Infinite Series 無窮級數 9. 2. 1 Series

9. 2 Infinite Series 無窮級數 9. 2. 1 Series

例題1. Geometrie Series 幾何級數 解: .

例題1. Geometrie Series 幾何級數 解: .

例題2. Find the sum of the geometric series 解: .

例題2. Find the sum of the geometric series 解: .

例題3. Is the series 解: convergent or divergent?

例題3. Is the series 解: convergent or divergent?

例題4. Write the number 解: as a ratio of integers.

例題4. Write the number 解: as a ratio of integers.

例題5. Telescoping Series疊進級數 解:

例題5. Telescoping Series疊進級數 解:

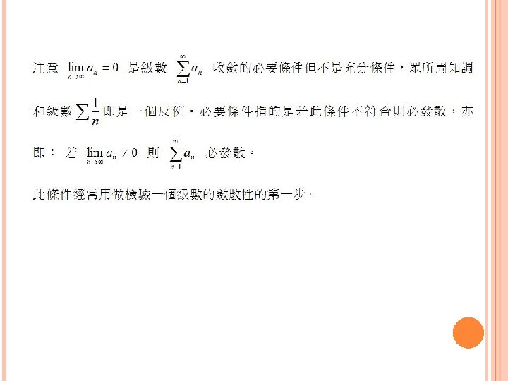
例題6. Harmonic Series調和級數 解:

例題6. Harmonic Series調和級數 解:

9. 2. 2 Theorem

9. 2. 2 Theorem

9. 2. 4 The Test for Divergence 例題7. 利用 解: test 知

9. 2. 4 The Test for Divergence 例題7. 利用 解: test 知

例題8. Find the sum of the series 解: .

例題8. Find the sum of the series 解: .

9. 3 Tests for Convergence審斂法 9. 3. 1 The Integral Test 積分審斂法

9. 3 Tests for Convergence審斂法 9. 3. 1 The Integral Test 積分審斂法

例題1. Prove that p-series is convergent if 證明: and divergent if

例題1. Prove that p-series is convergent if 證明: and divergent if

例題2. Determine whether the series 解: converges or diverges.

例題2. Determine whether the series 解: converges or diverges.

9. 3. 2 The Comparison Test比較審斂法

9. 3. 2 The Comparison Test比較審斂法

例題3. Determine whether the series converges or diverges. (1) 解: (2) (3)

例題3. Determine whether the series converges or diverges. (1) 解: (2) (3)

9. 3. 3 The Limit Comparison Test 極限比較審斂法

9. 3. 3 The Limit Comparison Test 極限比較審斂法

例題4. Test the series for convergence or divergence. (1) 解: (2)

例題4. Test the series for convergence or divergence. (1) 解: (2)

9. 3. 4 The Ratio Test 比值審斂法

9. 3. 4 The Ratio Test 比值審斂法

例題5. Test the series for convergence or divergence. (1) 解: (2)

例題5. Test the series for convergence or divergence. (1) 解: (2)

9. 3. 5 The Root Test 根值審斂法

9. 3. 5 The Root Test 根值審斂法

例題6. Which of the following series converges, and which diverges? (1) 解: (2)

例題6. Which of the following series converges, and which diverges? (1) 解: (2)

9. 3. 6 The Alternating Series Test 交錯級數審斂法

9. 3. 6 The Alternating Series Test 交錯級數審斂法

例題8. Test 解: for convergence or divergence.

例題8. Test 解: for convergence or divergence.

9. 3. 7 Absolutely Convergent 絕對收斂 證明:

9. 3. 7 Absolutely Convergent 絕對收斂 證明:

例題9. Test the series for convergence or divergence. (1) 解: (2)

例題9. Test the series for convergence or divergence. (1) 解: (2)

9. 4. 1 Power Series 冪級數

9. 4. 1 Power Series 冪級數

例題1. For what values of x do the following power series converge ? (1)

例題1. For what values of x do the following power series converge ? (1) 解: (2) (3)

9. 4. 2 The Convergence Theorem for Power Series 證明:

9. 4. 2 The Convergence Theorem for Power Series 證明:

9. 4. 3 Radius of Convergence收斂半徑

9. 4. 3 Radius of Convergence收斂半徑

例題2. Find the radius and the interval of convergence of the series. (1) 解:

例題2. Find the radius and the interval of convergence of the series. (1) 解: (2) (3)

例題3. Find the radius and the interval of convergence of the series. 解: (1)

例題3. Find the radius and the interval of convergence of the series. 解: (1) (2)

9. 5 Taylor and Maclaurin Series 泰勒級數與麥克勞林級數 9. 5. 1 The Representation of a

9. 5 Taylor and Maclaurin Series 泰勒級數與麥克勞林級數 9. 5. 1 The Representation of a Function as a Power Series

例題1. Find a power series representation for the function. (3) 解:

例題1. Find a power series representation for the function. (3) 解:

Theorem

Theorem

例題2. Find a power series representation for the function 解:

例題2. Find a power series representation for the function 解:

9. 5. 2 Taylor series and Maclaurin series

9. 5. 2 Taylor series and Maclaurin series

例題4. Find the Taylor series of of convergence. 解: and its radius

例題4. Find the Taylor series of of convergence. 解: and its radius

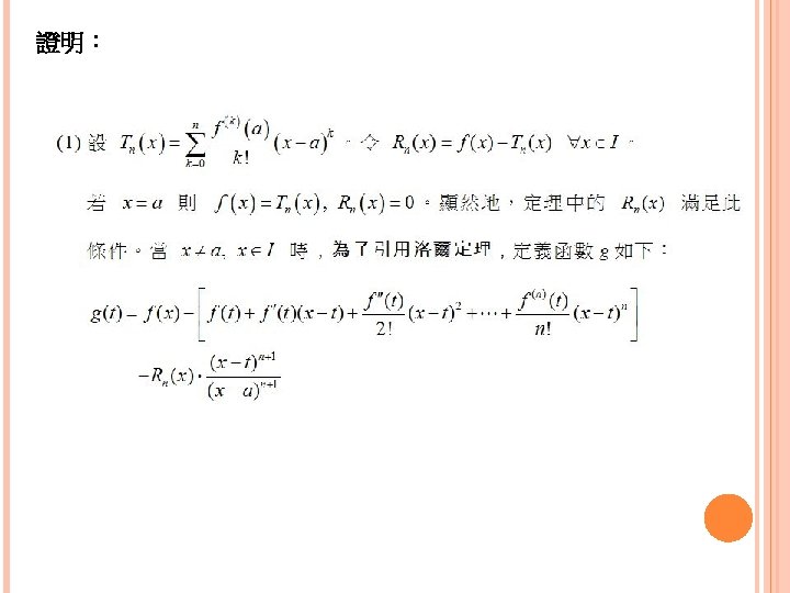
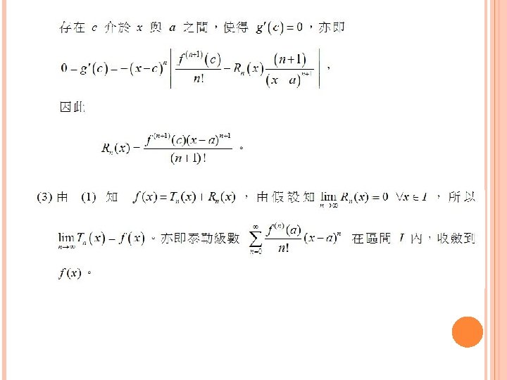
9. 5. 3 Taylor’s Theorem 泰勒定理 註:

9. 5. 3 Taylor’s Theorem 泰勒定理 註:

Taylor’s Formula 泰勒公式

Taylor’s Formula 泰勒公式

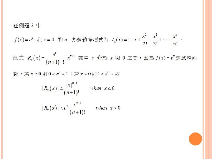
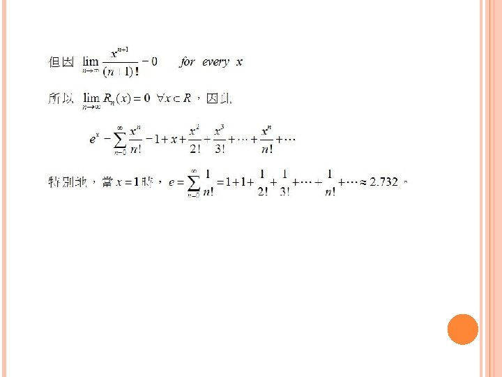
9. 5. 4 The Remainder Estimation Theorem

9. 5. 4 The Remainder Estimation Theorem

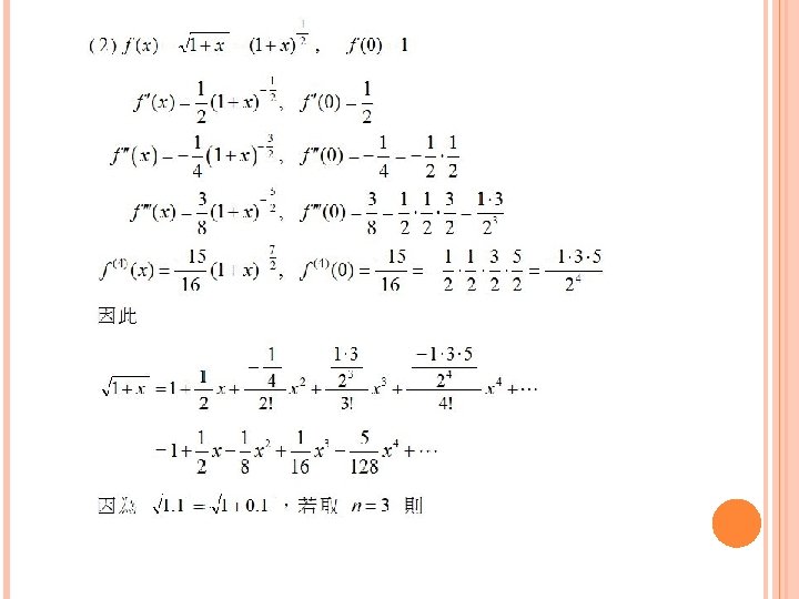
例題5. Find the Maclaurin series for convergence. 解: and its radius of

例題5. Find the Maclaurin series for convergence. 解: and its radius of

例題6. Find the Maclaurin series of of convergence. 說明: and its radius

例題6. Find the Maclaurin series of of convergence. 說明: and its radius

例題7. Find the Maclaurin series of 說明: and its radius of convergence.

例題7. Find the Maclaurin series of 說明: and its radius of convergence.

例題8. Find the Maclaurin series of of convergence. 解: and its radius

例題8. Find the Maclaurin series of of convergence. 解: and its radius

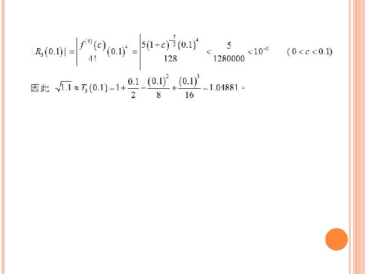
例題10. Evaluate 解: correct to within an error of 0. 001.

例題10. Evaluate 解: correct to within an error of 0. 001.