Sequences and Series A sequence is an ordered



















































- Slides: 51
Sequences and Series A sequence is an ordered list of numbers where each term is obtained according to a fixed rule. A series, or progression, is a sum. The terms of which form a sequence. The nth term of a sequence is often denoted Un, so that, for example, U is the first term. A sequence can be defined by a recurrence relation where Un+1 is given as a function of lower, earlier terms.
A first – order recurrence relation is where Un+1=r. Un + d, where r and d are constants. This relation is linear. A sequence can be defined by a formula for Un, given as a function. Un = f(n) Being given the first few terms of a sequence is not enough to identify the sequence.
For example. Identify the next term in the sequence 1, 2, 3, …, …, Possible answers include: If however we also know that the sequence is generated by a first order linear recurrence relation, then we know
Example 1 Find the first order linear recurrence relation when: U 3 = 7, U 4 = 15 and U 5 = 31.
Note Given a relation When this repetition happens, Un is referred to as a fixed point. In this case, for any other value of Un, the relation generates values that move away or diverge from the value of 2. Un =2 is an unstable fixed point.
Given the relation , then if for some value of n, Un = 4, the sequence would proceed 4, 4, …… If any other value of Un is used apart from 4, the relation generates terms whose value moves towards or converges on 4. Un = 4 is a stable fixed point, often referred to as the limit of the recurrence relation. In general, for the relation , we have a fixed point when
Arithmetic Sequences If a sequence is generated so that, for all n, then the sequence is known as an arithmetic sequence. constant d is referred to as the common difference. This is a first order linear recurrence relation. Traditionally, U 1 is represented by the letter a: U 1 = a. This can be proved by induction – LATER !!! The
a) Find the nth term b) The 10 th term of the arithmetic sequence 6, 11, 16, ……. .
b) Find the arithmetic sequence for which U 3 = 9 and U 7 = 17. Subtracting gives: Substituting gives:
c) Given the arithmetic sequence 2, 8, 14, 20, …. For what value of n is Un = 62?
Page 117 Exercise 2 A Questions TJ Exercise 1 Questions 1 to 3 1 a, c, d 2 a to e 3, 4, 6.
The Sum to n Terms on an Arithmetic Sequences Proof Adding
Find the sum of the first 15 terms of the arithmetic sequence which starts 3, 8, 13, 18, ……….
When does the sum of the arithmetic sequence which starts 2, 10, 18, 26, …. First exceed 300? We require Solving we get
The sum of the first four terms of an arithmetic sequence is 26. The sum of the first twelve terms is 222. What is the sum of the first 20 terms? NOTE
Page 120 Exercise 3 A Questions 1, 3, 4, 5 and 8 TJ Exercise 1 Questions 4 to 9
Geometric Sequences If a sequence is generated so that for all then the sequence is known as a geometric sequence. The constant r is referred to as the common ratio. The nth term:
a) Find the nth term and the 10 th term of the geometric sequence 3, 12, 48, ……. b) Find the geometric sequence whose 3 rd term is 18 and whose 8 th term is 4374 Substituting gives
c) Given the geometric sequence 5, 10, 20, 40, …… find the value of n for which
Page 123 Exercise 4 A Questions 1 a - e, 2, 3, 5 and 7 TJ Exercise 2 A Questions 1 to 4
The Sum to n Terms of a Geometric Sequence PROOF Multiplying by r: Subtracting:
a) Find the sum to 6 terms of the geometric sequence whose first term is 6 and whose common ratio is 1. 5.
b) A geometric sequence starts 12, 15, 18. 75, …… What is the smallest value of n for which Sn>100?
c) A geometric series is such that S 3 = 14 and S 6 = 126. Identify the series. Dividing we get:
Page 127 Exercise 5 a Questions 1, 2, 3, 4, TJ Exercise 2 A Questions 5 to 7
Infinite Series, Partial Sums, Sum to infinity. An Infinite series is a series which has an infinite number of terms. When we have an infinite series then Sn is defined as the sum to n terms of that series. Such a sum is referred to as a partial sum of the series. If the partial sum, Sn, tends towards a limit as n tends to infinity, then the limit is called the sum to infinity of the series.
Arithmetic Series The sum to infinity for an arithmetic series is undefined.
Geometric Series
a) Find the sum to infinity of the geometric series 24 + 12 + 6 + ……. . If it exists.
b) Express the recurring decimal 0. 121212…… as a vulgar fraction.
c) Given that 12 and 3 are two adjacent terms of an infinite geometric progression with find the first term. Hence the first term is 48.
Page 131 Exercise 6 A Questions 1 to 4 and 7 T. J. Exercise 2 B
Expanding (1 -x)-1 and Related Functions Remember:
This is a geometric series with first term 1 and common ration r.
Now Consider This is a geometric series with common ratio
a) Expand terms. in ascending powers of x giving the first four
b) Expand c) Evaluate giving the first four terms. to 4 decimal places.
d) Expand in ascending powers of x giving the first four terms
Page 134 Exercise 7 A Questions 2, 4. Page 134 Exercise 7 B Questions 2, 5. TJ Exercise 3
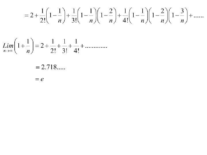
The Sequence and Limit of
Summation of a Series The Sigma Notation The sigma notation is used as a more concise way of writing a series. e. g. 12 + 22 + 32 + 42 + 52 +…………+n 2 can be written more concisely as (i. e. the sum of all k 2 for k = 1 to k = n) In general is the series with the first term f(1), second term f(2), third term f(3) and last term f(n)
a) Write the following series in full. and so on to k = 10
b) Write the following series in full. and so on to k = 4
c) Express the following in notation. 1+4+7+10+……. +298
Summation of a Series The sums of certain finite series can be found by a number of methods Proof: We can use this to help evaluate many summation series.
Page 137 Exercise 8 Questions 1 (a) to (d) 2 (a) to (b) and 4 TJ Exercise 4 and 5