12 1 Arithmetic Sequences and Series An introduction


















































- Slides: 50
12. 1 – Arithmetic Sequences and Series
An introduction………… Arithmetic Sequences Geometric Sequences ADD To get next term MULTIPLY To get next term Arithmetic Series Geometric Series Sum of Terms
USING AND WRITING SEQUENCES The numbers in sequences are called terms. You can think of a sequence as a function whose domain is a set of consecutive integers. If a domain is not specified, it is understood that the domain starts with 1.
USING AND WRITING SEQUENCES DOMAIN: n an RANGE: 1 3 2 6 3 9 4 12 5 15 The domain gives the relative position of each term. The range gives the terms of the sequence This is a finite sequence having the rule an = 3 n, where an represents the nth term of the sequence.
Writing Terms of Sequences Write the first six terms of the sequence an = 2 n + 3. SOLUTION a 1 = 2(1) + 3 = 5 1 st term a 2 = 2(2) + 3 = 7 2 nd term a 3 = 2(3) + 3 = 9 3 rd term a 4 = 2(4) + 3 = 11 4 th term a 5 = 2(5) + 3 = 13 5 th term a 6 = 2(6) + 3 = 15 6 th term
Writing Terms of Sequences Write the first six terms of the sequence f (n) = (– 2) n – 1. SOLUTION f (1) = (– 2) 1 – 1 = 1 1 st term f (2) = (– 2) 2 – 1 = – 2 2 nd term f (3) = (– 2) 3 – 1 = 4 3 rd term f (4) = (– 2) 4 – 1 = – 8 4 th term f (5) = (– 2) 5 – 1 = 16 5 th term f (6) = (– 2) 6 – 1 = – 32 6 th term
Arithmetic Sequences How do I define an arithmetic sequence and how do I use the formula to find different terms of the sequence?
Arithmetic Sequences and Series Arithmetic Sequence: sequence whose consecutive terms have a common difference. Example: 3, 5, 7, 9, 11, 13, . . . The terms have a common difference of 2. The common difference is the number d. To find the common difference you use an+1 – an Example: Is the sequence arithmetic? – 45, – 30, – 15, 0, 15, 30 Yes, the common difference is 15 How do you find any term in this sequence? To find any term in an arithmetic sequence, use the formula an = a 1 + (n – 1)d where d is the common difference.
Find the 14 th term of the arithmetic sequence 4, 7, 10, 13, ……
In the arithmetic sequence 4, 7, 10, 13, …, which term has a value of 301?
Find the next four terms of – 9, -2, 5, … Arithmetic Sequence 7 is referred to as the common difference (d) Common Difference (d) – what we ADD to get next term Next four terms…… 12, 19, 26, 33
Find the next four terms of 0, 7, 14, … Arithmetic Sequence, d = 7 21, 28, 35, 42 Find the next four terms of x, 2 x, 3 x, … Arithmetic Sequence, d = x 4 x, 5 x, 6 x, 7 x Find the next four terms of 5 k, -7 k, … Arithmetic Sequence, d = -6 k -13 k, -19 k, -25 k, -32 k
Vocabulary of Sequences (Universal)
Given an arithmetic sequence with x 38 15 NA -3 X = 80
-19 353 ? ? 63 x 6
Try this one: 1. 5 x 16 NA 0. 5
9 633 x NA 24 X = 27
-6 20 29 NA x
Find two arithmetic means between – 4 and 5 -4, ____, 5 -4 5 4 NA x The two arithmetic means are – 1 and 2, since – 4, -1, 2, 5 forms an arithmetic sequence
Find three arithmetic means between 1 and 4 1, ____, 4 1 4 5 NA x The three arithmetic means are 7/4, 10/4, and 13/4 since 1, 7/4, 10/4, 13/4, 4 forms an arithmetic sequence
Find n for the series in which 5 y x 440 3 Graph on positive window X = 16
12. 2 – Geometric Sequences and Series
Arithmetic Sequences Geometric Sequences ADD To get next term MULTIPLY To get next term Arithmetic Series Geometric Series Sum of Terms
Vocabulary of Sequences (Universal)
Find the next three terms of 2, 3, 9/2, ___, ___ 3 – 2 vs. 9/2 – 3… not arithmetic
1/2 x 9 NA 2/3
Find two geometric means between – 2 and 54 -2, ____, 54 -2 54 4 NA x The two geometric means are 6 and -18, since – 2, 6, -18, 54 forms an geometric sequence
x 9 NA
x 5 NA
*** Insert one geometric mean between ¼ and 4*** denotes trick question 1/4 3 NA
1/2 7 x
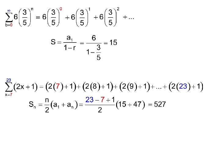
Section 12. 3 – Infinite Series
1, 4, 7, 10, 13, …. Infinite Arithmetic 3, 7, 11, …, 51 Finite Arithmetic 1, 2, 4, …, 64 Finite Geometric 1, 2, 4, 8, … Infinite Geometric r>1 r < -1 Infinite Geometric -1 < r <1 No Sum
Find the sum, if possible:
Find the sum, if possible:
Find the sum, if possible:
Find the sum, if possible:
Find the sum, if possible:
The Bouncing Ball Problem – Version A A ball is dropped from a height of 50 feet. It rebounds 4/5 of it’s height, and continues this pattern until it stops. How far does the ball travel? 50 40 40 32 32 32/5
The Bouncing Ball Problem – Version B A ball is thrown 100 feet into the air. It rebounds 3/4 of it’s height, and continues this pattern until it stops. How far does the ball travel? 100 75 75 225/4
Sigma Notation
UPPER BOUND (NUMBER) SIGMA (SUM OF TERMS) NTH TERM (SEQUENCE) LOWER BOUND (NUMBER)
Rewrite using sigma notation: 3 + 6 + 9 + 12 Arithmetic, d= 3
Rewrite using sigma notation: 16 + 8 + 4 + 2 + 1 Geometric, r = ½
Rewrite using sigma notation: 19 + 18 + 16 + 12 + 4 Not Arithmetic, Not Geometric 19 + 18 + 16 + 12 + 4 -1 -2 -4 -8
Rewrite the following using sigma notation: Numerator is geometric, r = 3 Denominator is arithmetic d= 5 NUMERATOR: DENOMINATOR: SIGMA NOTATION: