Prof Paolo de Caprariis SINTESI SELEGILINA Sirio nuova


















































































- Slides: 82
Prof. Paolo de Caprariis
SINTESI SELEGILINA
Sirio®: nuova formulazione di levodopa a base di MELEVODOPA/CARBIDOPA • • • AIC 2005 Elevata solubilità in acqua Rapido assorbimento Rapida comparsa dell’effetto terapeutico Elevata lipofilia Efficace principalmente nel trattamento del “wearning off”
Duodopa®: somministrazione intra-duodenale di levodopa/carbidopa • AIC 2007 • La formulazione consiste in una sospensione acquosa di levodopa e carbidopa dispersa in gel viscoso • La somministrazione mediante un sistema portatile consente di infondere la formulazione direttamente all'interno della cavità duodenale attraverso PEG (gastrostomia endoscopica percutanea) • Stimolazione continua dopaminergica • Trattamento riservato a pazienti in fase avanzata della malattia con fluttuazioni importanti • Miglioramento nei blocchi motori e nella deambulazione
Stalevo®: tavolette a base di levodopa/carbidopa/entacapone • AIC 2008 Novartis • Prolungamento e potenziamento dell’effetto della levodopa a livello del SNC • Concentrazioni di levodopa più stabili • Stimolazione più costante dei neuroni dopaminergici • Risposta clinica più modulata • Indicato in pazienti che presentano fluttuazioni di fine dose • la dose massima e' di 10 compresse al giorno
IPX 066 • Glaxo. Smith. Kline e il suo partner Impax Laboratories hanno annunciato che il farmaco sperimentale anti. Parkinson, noto con la sigla IPX 066, ha centrato l’obbiettivo, nello studio di fase III ADVANCE-PD. • È un preparato di levodopa che ha una durata d’azione lunga, per cui può essere somministrato dalle 2 -4 volte al giorno. I pazienti nelle fase iniziale della malattia potranno addirittura assumerlo una volta al giorno. E’ in corso uno studio di confronto con Stalevo (l’associazione fissa di levodopa + carbidopa + entacapone), in cui Stalevo viene somministrato sei volte al giorno e IPX 066 tre volte al giorno. Si prevede che il preparato verrà messo in commercio nel 2013.
IPX 066 • Ha centrato l’obiettivo nello studio di fase III ADVANCE-PD. Il farmaco è una versione a rilascio prolungato della carbidopa e della levodopa. • Ha migliorato in modo significativo il controllo dei sintomi motori in pazienti affetti da Parkinson avanzato rispetto alla carbidopalevodopa a rilascio immediato • L’endpoint primario dello studio era la percentuale di “off time” durante le ore di veglia. • I pazienti trattati con IPX 066 hanno ottenuto una riduzione totale dell’’off time’ di più di 2 ore durante le ore di veglia. • Inoltre, durante il trattamento in doppio cieco, i pazienti in trattamento con IPX 066 hanno ottenuto un aumento di 1, 9 ore del cosiddetto ‘on time’ senza discinesia contro le 0, 8 ore di carbidopalevodopa a rilascio immediato.
MOTILIUM - PERIDUM
Clozapina La clozapina è un farmaco antipsicotico appartenente alla classe chimica delle dibenzodiazepine. Il suo uso è indicato nel trattamento dei pazienti con schizofrenia che non rispondono adeguatamente alla terapia farmacologica con i neurolettici classici. Il dosaggio massimo che il foglio illustrativo consiglia è di non superare 600 mg. Agisce con modalità antagonista sui recettori dopaminergici D 1 e D 4 e su quelli serotoninergci 5 -HT 2. La sua azione antagonista coinvolge anche i recettori colinergici, istaminergici.
AMANTADINA (MANTADAN®) • • Questo farmaco ha modesti effetti antiparkinsoniani: aumenta il rilascio della dopamina e inibisce la trasmissione colinergica (innervazione eccitatoria). Nella fase iniziale della malattia di Parkinson, l'amantadina si è dimostrata in grado di migliorare i sintomi parkinsoniani, in particolare il tremore. Inoltre, negli stadi più avanzati della malattia, è risultata efficace nell’attenuare le discinesie indotte da levodopa, senza comprometterne l’effetto terapeutico. E’ stato anche osservato che l'amantadina potrebbe avere possibili proprietà neuroprotettive attraverso il blocco dei recettori striatali N-metil-Daspartato (NMDA) dell’acido glutammico che si ritiene possano mediare la morte dei neuroni produttori di dopamina. L'ipereccitazione dei recettori NMDA esercitata dal glutammato potrebbe essere, infatti, responsabile della perdita dei neuroni dopaminergici.
RASAGILINA • La rasagilina è una propargilamina e si comporta come un inibitore selettivo, potente ed irreversibile delle MAO-B (mono ammino ossidasi di tipo B) , enzimi coinvolti nel metabolismo cerebrale della dopamina. N-propargyl-1 -(R)aminoindan
Indicazioni terapeutiche della rasagilina • Studi preclinici indicano che la rasagilina è dotata di proprietà neuroprotettive che potrebbero contribuire a rallentare la progressione della malattia di Parkinson. • Azilect è indicato nel trattamento della malattia di Parkinson sia in monoterapia, sia in associazione con levodopa.
Azilect®: inibitore reversibile delle MAO-B a base di RASAGILINA • AIC 2005, rinnovo 2010 • Indicata in monoterapia o in associazione con levodopa in pazienti con fluttuazioni di fine dose • Possibile effetto neuroprotettivo • Potenza superiore di 10 volte rispetto alla selegilina • Monosomministrazione nelle 24 h
Principali caratteristiche cinetiche • • • Biodisponibilità orale 36% Emivita di eliminazione plasmatica 0, 6 – 2, 0 h Legame alle proteine plasmatiche 60 – 70% Eliminazione metabolica Escrezione renale Dose giornaliera suggerita 1 mg/die I pazienti trattati con rasagilina subito dopo la diagnosi di Parkinson hanno avuto una forma meno aggressiva della malattia rispetto alle persone curate con la stessa molecola a uno stadio più avanzato della malattia. Resta aperto tra i medici, il dibattito su quando sia il momento giusto per iniziare a somministrarla
Neupro®: cerotto transdermico a base di ROTIGOTINA (Dopamino-agonista non ergolinico) • AIC 2006, in Italia dispensato dal 2008 • Monosomministrazione nelle 24 h • Temperatura di conservazione: 2°C<T>8°C
ROTIGOTINA Agonista dopaminergico non-ergolinico con affinità per tutti i sottotipi dei recettori della dopamina (D 1/D 2/D 3). l’efficacia nella terapia del Parkinson è riconducibile alla sua attività agonista dei recettori D 2 a livello del caudato e del putamen. La porzione fenil-etil-aminica, comune agli agonisti dopaminergici, è parte di un sistema biciclico, oltre alla presenza di un amminogruppo esociclico, indispensabile per l’attività. Nel 2007 la FDA ha approvato il sistema transdermico NEUPRO® , un sistema che garantisce un rilascio continuo entro 24 h di principio attivo
5 -OH DPAT Considering the similarity in the structures and potencies of 5 -OH-DPAT and rotigotine, we might assume that the dose required to maintain therapeutic level of 5 -OH-DPAT is similar to that of rotigotine as reported. Based on this assumption, therapeutically effective plasma concentrations could be achieved with the patch size of less than 10 cm 2, which indicates the feasibility of transdermal iontophoretic delivery of 5 -OH-DPAT.
MOTILIUM - PERIDUM
Clozapina La clozapina è un farmaco antipsicotico appartenente alla classe chimica delle dibenzodiazepine. Il suo uso è indicato nel trattamento dei pazienti con schizofrenia che non rispondono adeguatamente alla terapia farmacologica con i neurolettici classici. Il dosaggio massimo che il foglio illustrativo consiglia di non superare è di 600 mg. Agisce con modalità antagonista sui recettori dopaminergici D 1 e D 4 e su quelli serotoninergci 5 -HT 2. La sua azione antagonista coinvolge anche i recettori colinergici, istaminergici.
NB: nel dicembre 2007 la pergolide (NOPAR-Lilly) è stata ritirata dal commercio. La bromocriptina non viene più consigliata.
Mirapexin e Re. Quip sono farmaci di prima scelta utilizzati nella RLS (restless legs Syndrome).
Riarrangiamento Morfina
Requip®: ropiniriolo a rilascio prolungato • AIC 2008 • Monosomministrazione nell’arco delle 24 h • Stimolazione dopaminergica costante • Efficace in monosomministrazione e in associazione a levodopa • Controllo prolungato dei sintomi motori con riduzione significativa dei periodi off
Pramipexolo due volte rispetto a tre volte al giorno • • Ricercatori americani hanno condotto uno studio in 311 pazienti con malattia di Parkinson in fase iniziale, non ancora trattati farmacologicamente. I pazienti sono stati assegnati casualmente a tre diversi regimi a base di pramipexolo, un dopamino agonista (0, 5 mg due volte al giorno, 0, 75 mg due volte al giorno oppure 0, 5 mg tre volte al giorno) oppure al placebo (una sostanza inattiva dall’aspetto identico al pramipexolo) per 12 settimane. Lo studio era in doppio cieco ovvero nè il medico nè il paziente sapeva chi era assegnato a che cosa; tutti prendevano una compressa tre volte al giorno, grazie all'aggiunta di una somministrazione di placebo in chi era stato assegnato ad uno dei due regimi che prevedevano solo due somministrazioni di pramipexolo attivo. Il miglioramento della sintomatologia parkinsoniana, misurata sulla scala UPDRS, è stato sovrapponibile con i tre regimi farmacologici, tutti superiori al placebo; analogamente, tutti i gruppi in terapia farmacologica hanno segnalato più effetti indesiderati di quelli nel gruppo trattato con placebo, senza differenze importanti tra un regime e l'altro .
PRAMIPEXOLE • Mirapex (pramipexolo) ha alcuni effetti come la dopamina, che è presente naturalmente nel corpo. Bassi livelli di dopamina nel cervello sono associati a malattia di Parkinson. Le compresse Mirapex sono usate per trattare i segni e i sintomi del morbo di Parkinson e per il trattamento della sindrome delle gambe senza riposo (RLS). Mirapex può essere utilizzato per altri scopi terapeutici non elencati in questo farmaco guida. L'FDA ha approvato ER Mirapex una volta al giorno per il trattamento della malattia di Parkinson Early Boehringer Ingelheim Pharmaceuticals, Inc. ha annunciato che la US Food and Drug Administration (FDA) ha approvato Mirapex ER ® (pramipexolo dicloridrato) compresse a rilascio prolungato, una nuova opzione di trattamento una volta al giorno per i segni ei sintomi della malattia precoce di Parkinson idiopatico (PD ). MIRAPEX ER non è indicato per il trattamento della malattia di Parkinson avanzata.
Proprietà farmacodinamiche • AKINETON ha una spiccata azione anticolinergica centrale che si distingue nel suo meccanismo d'azione dagli altri farmaci antiparkinsoniani di sintesi. Tale proprietà farmacologica trova utile applicazione in clinica nel risolvere specificatamente la rigidità muscolare conseguente a disregolazione del sistema extrapiramidale. Un effetto clinico favorevole lo si osserva anche sugli altri sintomi del morbo di Parkinson. L'attività anticolinergica periferica è considerevolmente inferiore a quella dell'atropina, infatti l'impiego di AKINETON si associa ad una scarsa incidenza di effetti secondari parasimpaticolitici. A differenza della L-Dopa, AKINETON, grazie al suo antagonismo per l'acetilcolina a livello centrale, esplica un'azione inibitrice molto pronunciata sugli effetti collaterali di tipo extrapiramidale determinati da terapie con psicofarmaci (specialmente neurolettici).
SINTESI BENZOTROPINA
Approcci terapeutici non dopaminergici • Antagonisti del glutammato • Antagonisti del recettore dell’adenosina • Neuroprotezione
TERAPIA FARMACOLOGICA Farmaci di prima generazione: 1) LEVODOPA/CARBID OPA 2) DOPAMINOAGONISTI ERGOLINICI (bromocriptina, pergolide, carbegolina, lisuride, apomorfina), NON ERGOLINICI (ropinirolo, pramipexolo), INDIRETTI (amantadina) 3) ANTICOLINERGICI (orfenadrina, derivati carbodioici trisostituiti, benztropina) 4) INIBITORI DELLE MAO-B (selegilina) 5) INIBITORI DELLE COMT (entacapone, tolcapone)
FARMACI DI SECONDA GENERAZIONE Neupro®: cerotto transdermico a base di ROTIGOTINA (Dopamino-agonista non ergolinico) • AIC 2006, in Italia dispensato dal 2008 • Monosomministrazione nelle 24 h • Temperatura di conservazione: 2°C<T>8°C
Siti di applicazione del cerotto Caratteristiche cinetiche • Biodisponibilità assoluta dopo applicazione transdermica 37% • Emivita di eliminazione plasmatica 5 -7 h • Legame alle proteine plasmatiche, in vitro 92% Il cerotto transdermico medicato deve essere applicato sempre alla stessa ora in corrispondenza di addome, cosce, anche, fianchi o spalle dove il principio attivo verrà rilasciato e assorbito dalla cute • Eliminazione metabolica • Escrezione renale (71%), feci (23%) • Dose giornaliera suggerita 4 - 8 mg/24 h L’efficacia di Neupro® è stata valutata su più di 1. 000 pazienti in 5 studi i cui risultati sono stati pubblicati sulla rivista Neurology. E’ stato osservato un significativo miglioramento dose-correlato nelle attività motorie e nelle attività giornaliere nei pazienti trattati con i dosaggi più alti di rotigotina rispetto al placebo
Azilect®: inibitore reversibile delle MAO-B a base di RASAGILINA • AIC 2005, rinnovo 2010 • Indicata in monoterapia o in associazione con levodopa in pazienti con fluttuazioni di fine dose • Possibile effetto neuroprotettivo • Potenza superiore di 10 volte rispetto alla selegilina • Monosomministrazione nelle 24 h
Principali caratteristiche cinetiche • • • Biodisponibilità orale 36% Emivita di eliminazione plasmatica 0, 6 – 2, 0 h Legame alle proteine plasmatiche 60 – 70% Eliminazione metabolica Escrezione renale Dose giornaliera suggerita 1 mg/die I pazienti trattati con rasagilina subito dopo la diagnosi di Parkinson hanno avuto una forma meno aggressiva della malattia rispetto alle persone curate con la stessa molecola a uno stadio più avanzato della malattia. Resta aperto tra i medici, il dibattito su quando sia il momento giusto per iniziare a somministrarla
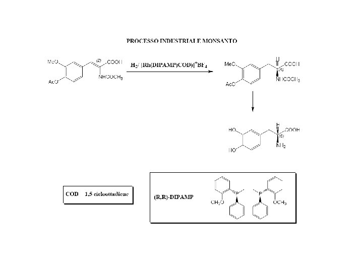
Sirio®: nuova formulazione di levodopa a base di MELEVODOPA/CARBIDOPA • • • AIC 2005 Elevata solubilità in acqua Rapido assorbimento Rapida comparsa dell’effetto terapeutico Elevata lipofilia Efficace principalmente nel trattamento del “wearning off”
Duodopa®: somministrazione intra-duodenale di levodopa/carbidopa • AIC 2007 • La formulazione consiste in una sospensione acquosa di levodopa e carbidopa dispersa in gel viscoso • La somministrazione mediante un sistema portatile consente di infondere la formulazione direttamente all'interno della cavità duodenale attraverso PEG (gastrostomia endoscopica percutanea) • Stimolazione continua dopaminergica • Trattamento riservato a pazienti in fase avanzata della malattia con fluttuazioni importanti • Miglioramento nei blocchi motori e nella deambulazione
Stalevo®: tavolette a base di levodopa/carbidopa/entacapone • AIC 2008 • Prolungamento e potenziamento dell’effetto della levodopa a livello del SNC • Concentrazioni di levodopa più stabili • Stimolazione più costante dei neuroni dopaminergici • Risposta clinica più modulata • Indicato in pazienti che presentano fluttuazioni di fine dose
Isradipina: anti-ipertensivo efficace contro il Parkinson • Bloccante dei canali del calcio, ancora in fase di sperimentazione nel trattamento del MP • Azione protettiva sui neuroni dopaminergici • Impedisce l’esordio della malattia nelle persone a rischio • Se somministrata nelle fasi iniziali del MP, potenzia gli effetti della levodopa • Rallenta la morte dei neuroni dopaminergici Ø I neuroni giovani utilizzano gli ioni sodio per rilasciare dopamina, con l'età i neuroni diventano sempre più dipendenti dal calcio, che li rende maggiormente vulnerabili all'attacco delle tossine Ø La isradipina agisce bloccando agli ioni calcio le vie di accesso ai neuroni. In questo modo, le cellule nervose adulte non si comportano più come tali e ritornano a utilizzare nuovamente gli ioni sodio.
Requip®: ropiniriolo a rilascio prolungato • AIC 2008 • Monosomministrazione nell’arco delle 24 h • Stimolazione dopaminergica costante • Efficace in monosomministrazione e in associazione a levodopa • Controllo prolungato dei sintomi motori con riduzione significativa dei periodi off
Safinamide: molecola in fase di sperimentazione • Blocca il canale del sodio • Modula il canale del calcio e del glutammato • Inibitore dell’uptake della dopamina • Inibitore reversibile delle MAO-B • Neuroprotettore: inibizione della trasformazione dell’MPTP in MPP+
Safinamide • Merck ha svolto uno studio che valuterà l’efficacia e la sicurezza di due dosaggi di safinamide (50 e 100 mg una volta al giorno), in associazione ad un agonista della dopamina, confrontati con l’agonista della dopamina in monoterapia. Lo studio ha coinvolto più di 650 pazienti con Parkinson. L’endpoint primario dello studio è dato dalla variazione dei sintomi motori valutati secondo il punteggio totalizzato nella terza sezione della scala Unified Parkinson’s Disease Rating Scale 1 (UPDRS) dall’inizio alla 24° settimana. Endpoint secondari includono cambiamenti in termini di attività quotidiane, delle funzioni cognitive, dello stato clinico globale e della qualità della vita correlata allo stato di salute. La UPDRS è una delle scale di valutazione più comunemente usate per seguire il corso del Morbo di Parkinson. È costituita di 42 voci, con punteggio da 0 a 4, per stabilire lo stato mentale individuale dei pazienti, le attività della vita quotidiana, la funzione motoria e le complicazioni della terapia. Gli studi suggeriscono che la Safinamide abbia un innovativo duplice meccanismo d’azione basato sull’incremento della funzione dopaminergica.
Safinamide: molecola in fase di sperimentazione • Blocca il canale del sodio • Modula il canale del calcio e del glutammato • Inibitore dell’uptake della dopamina • Inibitore reversibile delle MAO-B • Neuroprotettore: inibizione della trasformazione dell’MPTP in MPP+
Safinamide • un inibitore delle MAO-B ( come selegilina e rasagilina) che è anche un modulatore dei canali del calcio che ha dimostrato di avere la capacità di controllare le discinesie (movimenti involontari) e di migliorare le funzioni cognitive (mentali). Attualmente è alla fine della fase III e si prevede che possa essere messo in commercio nel 2012 -13.
Isradipina: anti-ipertensivo efficace contro il Parkinson • Bloccante dei canali del calcio, ancora in fase di sperimentazione nel trattamento del MP • Azione protettiva sui neuroni dopaminergici • Impedisce l’esordio della malattia nelle persone a rischio • Se somministrata nelle fasi iniziali del MP, potenzia gli effetti della levodopa • Rallenta la morte dei neuroni dopaminergici Ø I neuroni giovani utilizzano gli ioni sodio per rilasciare dopamina, con l'età i neuroni diventano sempre più dipendenti dal calcio, che li rende maggiormente vulnerabili all'attacco delle tossine Ø La isradipina agisce bloccando agli ioni calcio le vie di accesso ai neuroni.
Preladenant • Preladenant, un farmaco non-dopaminergici, i risultati di uno studio internazionale condotto dalla University of South Florida suggeriscono che preladenant può offrire un nuovo trattamento supplementare per la malattia di Parkinson. L'obiettivo del trattamento è quello di fornire la funzione migliore possibile e qualità della vita per i pazienti nel tempo. Le 12 settimane di studio hanno mostrato che l'aggiunta di 5 e 10 mg di preladenant due volte al giorno ha ridotto significativamente il riemergere dei sintomi motori molesti quali lentezza, rigidità, tremori e immobilità. Le dosi sono state ben tollerate, e l'incidenza di effetti avversi correlati al trattamento è stata simile per i pazienti trattati preladenant e con placebo .
Preladenant • • un antagonista selettivo dei recettori per l’adenosina A 2 A, che funziona bilanciando i circuiti dei gangli basali, che sono ipereccitati nella malattia di Parkinson. Vi sono dati che suggeriscono che possa essere in grado di modificare il decorso della malattia. Attualmente sta per partire lo studio di fase III e si prevede che possa essere messo in commercio nel 2014.
AFQ 056 • un antagonista del glutammato che migliora le discinesie senza interferire con la funzione motoria, per cui è da aggiungere alla terapia anti-Parkinson in atto. Attualmente è alla fine della fase II. Uno studio di fase III dovrebbe iniziare a metà del 2011.
AFQ 056 • AFQ 056 è un antagonista del recettore metabotropico del glutammato 5 (m. Glu. R 5), ha il potenziale per diventare il primo trattamento approvato per la malattia di Parkinson levodopa discinesia indotta (PD-LID). Nessuna terapia è stata approvata per questa malattia, che è una complicazione dopo la terapia di sostituzione della dopamina nei pazienti con Parkinson e caratterizzata da una varietà di movimenti ipercinetici. • AFQ 056 di recente ha mostrato risultati positivi in uno studio Proof-of. Concept nel PD-LID e sta procedendo in fase di sviluppo contributi previsti dopo il 2011.
Pardoprunox • É un agonista parziale dei recettori della dopamina D 2 e D 3. Migliora le discinesie e riduce il tempo in OFF (quando la levodopa non funziona). Purtroppo non è tollerato bene da quasi la metà dei pazienti (40%), che soffrono di nausea e blocchi che determinano la sospensione del trattamento. Ora viene portato avanti come farmaco orfano (per pazienti con patologie rare) solo per il sottogruppo di pazienti che lo tollera bene.
Acadia • Acadia è una società biofarmaceutica che utilizza la tecnologia innovativa per lo sviluppo clinico di nuove terapie per malattie del sistema nervoso centrale. • Uno dei principali prodotti è la pimavanserina che è in Fase III per la psicosi del morbo di Parkinson. • È un antipsicotico atipico che si può somministrare a pazienti parkinsoniani con problemi mentali perché, contrariamente agli antipsicotici tradizionali, non interferisce con la funzione motoria. Attualmente è in Fase III.
Tutte le molecole per uso clinico, che sono attualmente in sperimentazione clinica e nelle prime fasi di scoperta e sviluppo, nascono dalle scoperte effettuate con l’esclusiva piattaforma di ricerca Farmaceutica di Acadia. Questa piattaforma, ha permesso di scoprire molecole per uso clinico in modo più efficiente rispetto agli approcci tradizionali. L’approccio verso la ricerca è orientato ad introdurre la fase chimica in un stadio precoce del processo di drug discovery e a promuovere la selezione dei composti druglike più vantaggiosi per gli obiettivi che hanno voluto convalidare rispetto alla passata esperienza clinica. Le chiavi di questo approccio sono stati i nuovi target selezionati: recettori accoppiati a proteine G e famiglie di geni nucleari. Si pensa che queste famiglie di geni rappresentino i target più rilevanti e fattibili per la scoperta di piccole molecole con attività sul sistema nervoso centrale. Hanno usato i saggi di loro produzione, in combinazione con la selezione di recettori e con una semplificazione della tecnologia, un sistema di dosaggio a base di cellule a cui si riferisce come R-SAT, per validare bersagli farmacologici e per scoprire nuove piccole molecole che siano specifiche per questi target. Hanno anche raccolto una vasta e diversificata libreria di composti chimici di piccole molecole organiche.
Pimavanserin è un agonista inverso del recettore 5 -HT 2 A utile nel trattamento per la psicosi del morbo di Parkinson. Questa molecola può essere assunta per via orale: una compressa una volta al giorno.
Work in progress Terapia innovativa: la terapia genica • I ricercatori hanno messo a punto un metodo per sfruttare virus resi innocui tramite la rimozione della maggior parte del loro corredo genetico per inserire nei neuroni del putamen, uno dei gangli basali del cervello, il gene della neurturina, un fattore di crescita protettivo. È previsto l'inizio di uno studio di fase III nel 2011. Neurturina: fattore di crescita in grado di promuovere la sopravvivenza, la ricrescita e la ripresa funzionale delle cellule dopaminergiche