ANALISIS VEKTOR Pertemuan 9 Pertemuan 10 Pertemuan 11

  • Slides: 53
Download presentation
ANALISIS VEKTOR �Pertemuan 9 �Pertemuan 10 �Pertemuan 11 �Pertemuan 12 �Pertemuan 13 �Pertemuan 14

ANALISIS VEKTOR �Pertemuan 9 �Pertemuan 10 �Pertemuan 11 �Pertemuan 12 �Pertemuan 13 �Pertemuan 14 �Pertemuan 15 : Differensial kalkulus dari fungsi Vektor : Integral vektor : Integral Permukaan : Integral ruang : Teorema green : Teorema divergensi

Gradien, divergensi, dan curl OPERATOR DEL Operator del merupakan operator pada diferensial vektor yang

Gradien, divergensi, dan curl OPERATOR DEL Operator del merupakan operator pada diferensial vektor yang disimbolkan dengan (nabla), yang didefinisikan dalam bentuk turunan parsial, yaitu: Operator del ini bermanfaat untuk mencari gradien, divergensi, dan curl.

GRADIEN �Misalkan terdefinisi dan diferensiabel pada setiap titik (x, y, z) dalam ruang ,

GRADIEN �Misalkan terdefinisi dan diferensiabel pada setiap titik (x, y, z) dalam ruang , maka gradien atau grad atau didefinisikan oleh :

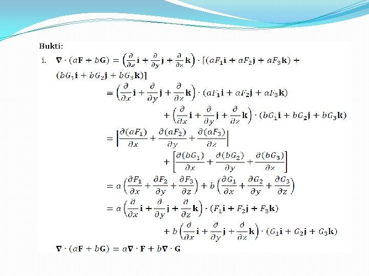
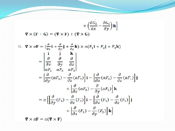
SIFAT –SIFAT GRADIEN

SIFAT –SIFAT GRADIEN

Contoh Soal:

Contoh Soal:

Latihan Soal:

Latihan Soal:

DIVERGENSI �Misalkan vektor V(x, y, z) = terdefinisikan diferensiabel pada setiap titik (x, y,

DIVERGENSI �Misalkan vektor V(x, y, z) = terdefinisikan diferensiabel pada setiap titik (x, y, z). Divergensi dari V atau div V , didefinisikan oleh:

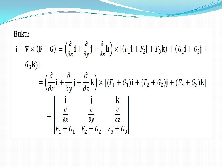
CURL �Jika vektor terdefinisi dan diferensiabel pada setiap titik (x, y, z), maka curl

CURL �Jika vektor terdefinisi dan diferensiabel pada setiap titik (x, y, z), maka curl atau rotasi dari V, dituliskan curl V atau rot V , didefinisikan oleh:

Contoh Soal:

Contoh Soal:

Latihan Soal:

Latihan Soal:

�disebut integral tak tentu dari R(u). Bila tendapat sebuah vektor S(u) sehingga R(u) =

�disebut integral tak tentu dari R(u). Bila tendapat sebuah vektor S(u) sehingga R(u) = (S(u)), maka,

INTEGRAL VEKTOR �INTEGRAL BIASA DARI VEKTOR �Misalkan R(u) = R j(u)i + R 2(u)j

INTEGRAL VEKTOR �INTEGRAL BIASA DARI VEKTOR �Misalkan R(u) = R j(u)i + R 2(u)j + R 3(u)k sebuah vektor yang bengantung pada väriabel skalar tunggal u, dimana R 1(u), R 2(u), R 3(u) kontinu dalam suatu selang yang ditentukan. Maka :

INTEGRAL GARIS �Misalkan r(u) = x(u)i + y(u)i + z(u)k, di mana r(u) adalah

INTEGRAL GARIS �Misalkan r(u) = x(u)i + y(u)i + z(u)k, di mana r(u) adalah vektor posisi dan (x, y, z), mendefinisikan sebuah kurva C yang menghubungkan titik-titik P 1 dan P 2 �di mana u = u 1 dan u = u 2 untuk masing-masingnya. �Kita menganggap bahwa C tersusun dan sejumlah berhmgga kunva-kurva di mana untuk masingnya ru) memiliki turunan yang kontinu. Misalkan A(x, y, z) = A 1 i + A 2 j + A 3 k sebuah fungsi vekton dan posisi yang didefinisikan dan kontinu sepanjang C. Maka integral dan komponen tangensial A sepanjang C dan P 1 ke P 2 ditulis sebagai

Latihan Soal:

Latihan Soal:

INTEGRAL PERMUKAAN

INTEGRAL PERMUKAAN

�Oleh karena itu, integral permukaan dengan vektor normal n mempunyai arah ke atas dapat

�Oleh karena itu, integral permukaan dengan vektor normal n mempunyai arah ke atas dapat dituliskan

Contoh Soal:

Contoh Soal:

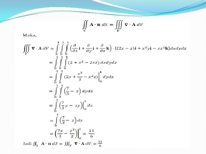
TEOREMA DIVERGENSI

TEOREMA DIVERGENSI

Contoh Soal:

Contoh Soal:

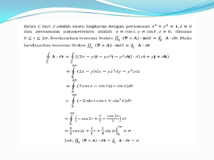
TEOREMA STOKES

TEOREMA STOKES

Contoh Soal:

Contoh Soal:

Latihan Soal:

Latihan Soal:

INTEGRAL RUANG

INTEGRAL RUANG

Latihan Soal:

Latihan Soal:

TEOREMA GREEN �Teorema Green di Bidang

TEOREMA GREEN �Teorema Green di Bidang

Contoh Soal:

Contoh Soal:

Latihan Soal:

Latihan Soal:

TEOREMA DIVERGENSI �Teorema Divergensi GAUSS

TEOREMA DIVERGENSI �Teorema Divergensi GAUSS

Contoh Soal:

Contoh Soal:

Latihan Soal:

Latihan Soal:

TEOREMA DIVERGENSI STOKES

TEOREMA DIVERGENSI STOKES

Contoh :

Contoh :