ENGC 34 ELETROMAGNETISMO APLICADO Guias de Onda Retangulares


























































![Clear. All["Global`*"]; m=1; n=0; L=10; a=0. 05; b=0. 02; er=1. ; c=3 10^8; sc=3. Clear. All["Global`*"]; m=1; n=0; L=10; a=0. 05; b=0. 02; er=1. ; c=3 10^8; sc=3.](https://slidetodoc.com/presentation_image_h2/95fe5d9c583758ed4c25a69627bcaccd/image-59.jpg)


![Clear. All["Global`*"]; m=1; n=1; L=10; a=0. 05; b=0. 02; er=1. ; c=3 10^8; sc=3. Clear. All["Global`*"]; m=1; n=1; L=10; a=0. 05; b=0. 02; er=1. ; c=3 10^8; sc=3.](https://slidetodoc.com/presentation_image_h2/95fe5d9c583758ed4c25a69627bcaccd/image-62.jpg)






- Slides: 68
ENGC 34 – ELETROMAGNETISMO APLICADO… Guias de Onda Retangulares Prof. Dr. Vitaly F. Rodríguez-Esquerre
Guias de Onda Retangulares
Guia Retangular • Calcular as componentes dos campos das ondas eletromagnéticas dentro do guia Ez Hz Ex Hx Ey Hy • Será verificado que não existem ondas TEM http: //www. ee. surrey. ac. uk/Personal/D. Jefferies/wguide. html
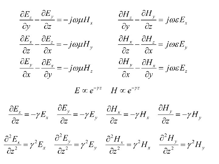
Campos no Guia Retangular Usando fasores e considerando que os guias estão preenchidos com • Dielétrico sem perdas e • As paredes são condutores perfeitos A onda dentro do guia deve satisfazer
Tendo em vista que os campos são vetores da forma: Chega-se num conjunto de 6 equações
Trabalhando apenas com a componente-z
Como cada termo é função de uma única variável, cada termo deve ser então uma constante
Cuja solução tem a forma:
Substituindo na equação do Ez
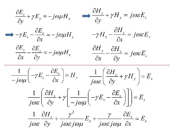
Demais componentes do campo Da lei de Faraday e Ampere podem ser obtidas as 4 componentes restantes
Demais componentes do campo
Outras componentes podem ser escritas em função de Ez e Hz
Modos de Propagação Das equações anteriores podemos concluir: • TEM (Ez=Hz=0) não se propagam. • TE (Ez=0) transversal elétrico – No modo TE mode, as linhas de campo elétrico são perpendiculares à direção de propagação. • TM (Hz=0) transversal magnético, Ez exists – No modo TM, as linhas de fluxo magnético sõ perpendiculares à direção de propagação. • Modos HE (híbridos) na qual todas as componentes existem.
Modos TM • Condições de Contorno: assim, conclui-se: X(x) deve ser da forma sin kxx, onde kx=mp/a, m=1, 2, 3, … Y(y) deve ser da forma sin kyy, onde ky=np/b, n=1, 2, 3, … então a solução para Ez(x, y, z) é Figure from: www. ee. bilkent. edu. tr/~microwave/programs/magnetic/rect/info. htm
Campos dos Modos TMmn
Campos dos Modos TMmn • Os subindices m e n representam os modos de propagação e indicam o numero de vezes que o campo varia na direção x e y, respectivamente. • Para modos TM, se n ou m for zero, todos os campos são nulos • Ver applet de Paul Falstad http: //www. falstad. com/embox/guide. html z
Freqüência de corte TM • A frequencia de corte acontece quando, • Evanescente: – Significa não propagação, tudo é atenuado • Propagação: – Caso de interesse, a onda deve se propagar ao longo do guia.
Corte attenuação Propagação do modo mn fc, mn • A frequencia de corte é a frequencia abaixo da qual atenuação acontece e acima da qual a propagação existe. (Filtro passa-altas) • A constante de fase é
Velocidade de fase e impedância • A velocidade de fase é definida como: • Impedância intrínseca do modo é
Resumo dos modos TM Onda num meio dielétrico Dentro de um guia limitado infinito
Modo TE • Condições de contorno: assim, conclui-se: X(x) deve ser da forma cos kxx, onde kx=mp/a, m=1, 2, 3, … Y(y) deve ser da forma cos kyy, onde ky=np/b, n=1, 2, 3, … então a solução para Ez(x, y, z) é Figure from: www. ee. bilkent. edu. tr/~microwave/programs/magnetic/rect/info. htm
Campos dos Modos TEmn Observe que n e m não podem ser zero simultaneamente
Corte attenuação Propagação do modo mn fc, mn • O calculo da frequencia de corte é identico ao calculo para o modo TM • Porem o modo TE apresenta menor frequencia de corte pois m ou n podem ser zero.
Modo Dominante • O modo dominante é aquele que apresenta a menor frequencia de corte. • Sempre será o modo TE 10 • A ordem dos demais modos vai depender das dimensões geométricas do guia.
Resumo dos modos TE Onda num meio dielétrico Onda dentro do guia infinitos
Variação da impedancia • A impedancia depende da frequência e do modo h h. TE h’ 0 h. TM fc, mn
Exemplo: Considere um guia oco com dimensões a=2. 286 cm, b=1. 016 cm operando em 10 GHz. Encontre a frequencia de corte de todos os possiveis modos propagantes Solução: Usando mn 0 0 0 1 0 2 0 3 0 4 1 0 1 1 1 2 1 3 1 4 2 0 2 1 2 2 2 3 2 4 3 0 3 1 3 2 3 3 3 4 Frequencia 0 1. 47638× 1010 2. 95276× 1010 4. 42913× 1010 5. 90551× 1010 6. 56168× 109 1. 61563× 1010 3. 02478× 1010 4. 47748× 1010 5. 94185× 1010 1. 31234× 1010 1. 97533× 1010 3. 23125× 1010 4. 61946× 1010 6. 04957× 1010 1. 9685× 1010 2. 46063× 1010 3. 54877× 1010 4. 84688× 1010 6. 22496× 1010
Exemplo: Um guia oco de 5 x 2 cm tem em 15 GHz • Qual modo esta sendo propagado? • Determinar b • Determinar Ey/Ex
Exemplo: Um guia oco de 5 x 2 cm tem em 15 GHz • Qual modo esta sendo propagado? • Determinar b • Determinar Ey/Ex
Velocidade de grupo, ug • Velocidade da energia ou informação. • É sempre menor que u’ http: //www. tpub. com/content/et/14092/css/14092_71. htm
Transmissão de Potencia • O vetor de Poynting médio para o guia é [W/m 2] • onde h = h. TE ou h. TM dependendo do modo [W]
Potencia do modo dominante TE 10
Potencia do modo dominante TE 10
Propagação da Onda no Guia
Excitação dos modos no Guia TE 10
Excitação dos modos no Guia TM 11
Atenuação em guias com perdas • Quando o dieletrico tem perdas e as paredes nao sao condutores perfeitos, perde-se potencia ao longo do guia de onda • A potencia perdida: • onde a=ac+ad são as atenuações devido ao condutor e as perdas no dieletrico • Tipicamente ac >> ad
Atenuação para o modo TE 10 • Atenuação no condutor, Np/m
Atenuação para o modo TE 10
Atenuação para o modo TE 10
Atenuação para o modo TE 10 • Atenuação no dielétrico, Np/m
Atenuação para o modo TEmn Atenuação para o modo TMmn
Atenuação do condutor para varios modos num guia de onda retangular de latão com a= 2. 0 cm
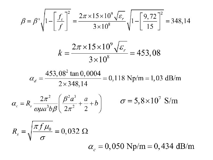
Exemplo: Considere um guia retangular de cobre preenchido com teflon com dimensões: a = 1, 07 cm e b = 0, 43 cm. Encontre as frequencias de corte dos primeiros 5 modos. Se a frequencia de operação é 15 GHz, determine a atenuação devido ao dielétrico e ao condutor.
Exemplo:
Exemplo:
Guias de Onda Retangulares Vitaly Esquerre
Clear. All["Global`*"]; m=1; n=0; L=10; a=0. 05; b=0. 02; er=1. ; c=3 10^8; sc=3. 5*10^7; u 0=4*Pi*10^-7; e 0=8. 85*10^-12; fc=(c /(2 Sqrt[er]) )Sqrt[(m/a)^2+(n/b)^2]; Print["fc = ", fc] f=1. 3 fc; Print["f = ", f] w=2*Pi*f; Print["w = ", w] Rs=Sqrt[w*u 0/(2*sc)]; Print["Rs = ", Rs] k=w*Sqrt[u 0*er]; Print["k = ", k] eta=Sqrt[u 0/(e 0*er)]; Print["eta = ", eta] beta = (w/c)( Sqrt[1 -fc^2/f^2]); Print["beta = ", beta] lambda=2 Pi / beta; Print["lambda = ", lambda] alphac=Rs 2 Pi^2 (beta^2*a^3 /(2 Pi^2)+a/2+b) /(w u 0 a^3 b beta ); Print["alphac = ", alphac] P=Exp[-2 alphac L]; Print["Fracao de Potencia = ", P] Perda=-10 Log 10[P]; Print["Perda = ", Perda, " d. B"] d = lambda/2; Print["d = ", d]
RESULTADO fc = 3. × 109 f = 3. 9× 109 w = 2. 45044× 1010 Rs = 0. 0209738 k = 81. 7186 eta = 376. 819 beta = 52. 1921 lambda = 0. 120386 alphac = 0. 00641429 Fracao de Potencia = 0. 879602 Perda = 0. 557138 d. B d = 0. 060193
Clear. All["Global`*"]; m=1; n=1; L=10; a=0. 05; b=0. 02; er=1. ; c=3 10^8; sc=3. 5*10^7; u 0=4*Pi*10^-7; e 0=8. 85*10^-12; fc=(c /(2 Sqrt[er]) )Sqrt[(m/a)^2+(n/b)^2]; Print["fc = ", fc] f=1. 3 fc; Print["f = ", f] w=2*Pi*f; Print["w = ", w] Rs=Sqrt[w*u 0/(2*sc)]; Print["Rs = ", Rs] k=w*Sqrt[u 0*er]; Print["k = ", k] eta=Sqrt[u 0/(e 0*er)]; Print["eta = ", eta] beta = (w/c)( Sqrt[1 -fc^2/f^2]); Print["beta = ", beta] lambda=2 Pi / beta; Print["lambda = ", lambda] alphac=2 Rs ((b^3/a^3 m^2+n^2)/(b^2/a^2 m^2+n^2))/(b eta Sqrt[1 fc^2/f^2]); Print["alphac = ", alphac] P=Exp[-2 alphac L]; Print["Fracao de Potencia = ", P] Perda=-10 Log 10[P]; Print["Perda = ", Perda, " d. B"]
RESULTADO fc = 8. 07775*10^9 f = 1. 05011*10^10 w = 6. 59802*10^10 Rs = 0. 0344162 k = 220. 034 eta = 376. 819 beta = 140. 531 lambda = 0. 0447102 alphac = 0. 0131109 Fracao de Potencia = 0. 769344 Perda = 1. 1388 d. B
Frequência de corte normalizada dos primeiros 38 modos num guia retangular com a = 2 b a = 2 b b TE 01 TE 20 TE 10 TE 21 TM 21 TE 11 TM 11 TE 31 TM 31 TE 30 Frequência normalizada TE 40 TE 02 TE 12 TM 12 TE 41 TE 22 TM 41 TM 22 TE 50 TE 32 TM 32 TE 51 TM 51 TE 42 TM 42 TE 60 TE 13 TE 03 TM 13 TE 61 TE 23 TM 61 TE 52 TM 23 TM 52 TE 33 TM 33 TE 70 Frequência normalizada C. S. Lee, S. W. Lee and S. L. Chuang, "Plot of Modal Field Distribution in Rectangular and Circular Waveguides, " in IEEE Transactions on Microwave Theory and Techniques, vol. 33, no. 3, pp. 271 -274, Mar 1985. doi: 10. 1109/TMTT. 1985. 1132998
Campo transversal dos primeiros 36 modos do guia retangular com a = 2 b C. S. Lee, S. W. Lee and S. L. Chuang, "Plot of Modal Field Distribution in Rectangular and Circular Waveguides, " in IEEE Transactions on Microwave Theory and Techniques, vol. 33, no. 3, pp. 271 -274, Mar 1985. doi: 10. 1109/TMTT. 1985. 1132998
Frequência de corte normalizada dos primeiros 40 modos num guia retangular com a = b a=b b TE 10 TE 01 TE 11 TM 11 TE 20 TE 02 TE 21 TE 12 TM 21 TM 12 TE 22 TE 30 TM 22 TE 03 TE 31 TE 13 TM 31 TM 13 TE 32 TE 23 TM 32 TM 23 TE 41 TE 14 TE 40 TM 41 TE 33 TE 04 TM 14 TM 33 TE 42 TE 24 TM 42 TM 24 TE 50 TE 05 TE 43 TE 34 TM 43 TM 34 Frequência normalizada C. S. Lee, S. W. Lee and S. L. Chuang, "Plot of Modal Field Distribution in Rectangular and Circular Waveguides, " in IEEE Transactions on Microwave Theory and Techniques, vol. 33, no. 3, pp. 271 -274, Mar 1985. doi: 10. 1109/TMTT. 1985. 1132998
Campo transversal dos primeiros 30 modos do guia retangular com a = b C. S. Lee, S. W. Lee and S. L. Chuang, "Plot of Modal Field Distribution in Rectangular and Circular Waveguides, " in IEEE Transactions on Microwave Theory and Techniques, vol. 33, no. 3, pp. 271 -274, Mar 1985. doi: 10. 1109/TMTT. 1985. 1132998