Temel statistik Kavramlar Hipotez Testleri Merkezi eilim lleri






























- Slides: 30
Temel İstatistik Kavramları Hipotez Testleri
Merkezi eğilim ölçüleri: Ortalama, ortanca (medyan), mod Yaş 13 14 15 16 17 18 19 N 3 4 6 8 4 3 3______ Top = 31 Yaş x N 39 56 90 128 68 51 57_____ Top=492 Mod= 16 (en sık tekrarlayan değer) Ortalama= 15. 87 (492/31) Ortanca = 16. 31 (16. değer) 13 13 13 14 14 15 15 15 16 16 17 17 18 18 18 19 19 19
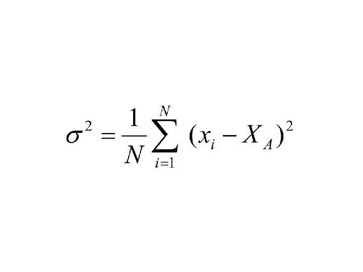
Varyans (Değişinti) • Verilerin ortalama değer etrafındaki saçılmalarını kontrol eder. Gözlemsel verilerin her birinin ortalama değerden olan farklarının karelerinin aritmetik ortalaması varyans olarak tanımlanır.
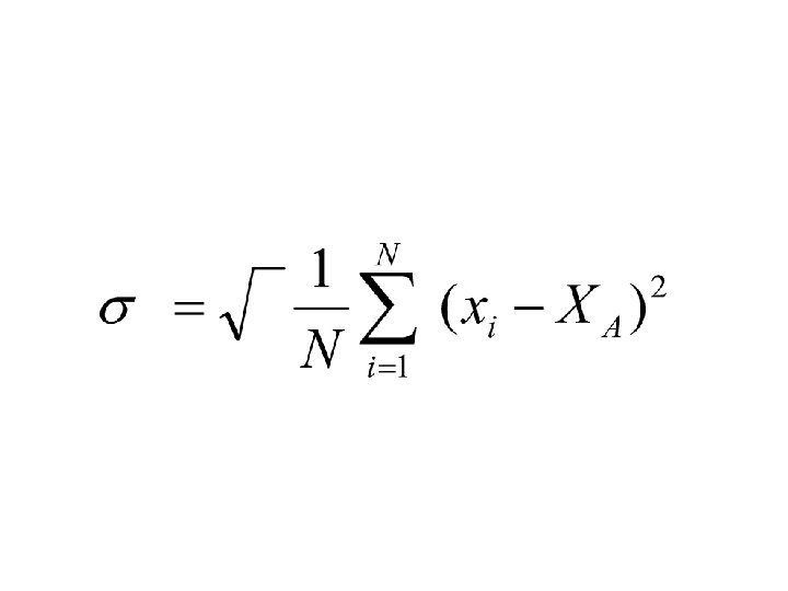
Standart Sapma • Bir çalışma grubundaki her bir verinin ortalamaya göre ne kadar uzaklıkta olduğunu, bir diğer deyişle dağılımın ne yaygınlıkta olduğunu gösteren bir ölçüdür. • Başka bir şekilde tanımlanacak olursa; belirli bir popülasyonda incelenen özelliğin (veya özellikle ilgili değerlerin ya da ölçümlerin) ne genişlikteki bir aralıkta (dar veya geniş) dağıldığının göstergesi varyans ve onun bir türevi olan standart sapmadır. • Varyansın karekökü standart sapmayı verir.
• ortalama ± standart sapma, grubu oluşturan deneklerin belli bir özellik yönünden ortalamaya göre sağa-sola ne kadar saptığını yaklaşık bir ifade ile ortaya koymaktadır. • Standart sapma, popülasyonu oluşturan bireyler arasındaki farklılığın bir ölçüsüdür.
• Örneğin; boy ortalaması “ 165 cm” olan 50 kişilik bir denek grubunun standart sapması “ 4. 0” olsun. Bu grubun elemanlarının büyük bir kısmı (istatistiğe göre % 68’i) boy yönünden “ 165± 4, yani 161 -169 cm arasındadır” anlamına gelmektedir. • Burada standart sapmanın iki misli alınırsa, bu durumda “grubun elemanlarının % 95’i” boy yönünden “ 165± 8, yani 157 -173 cm arasındadır” anlamına gelir.
• Ortalama± 1(standart sapma) Değerlerin % 68’ “ortalama ± 1 (standart sapma)” kadar ortalamanın sağına-soluna yayıldığını gösterir. • Ortalama± 2(standart sapma) Değerlerin % 95’inin “ortalama ± 2 (standart sapma)” kadar ortalamanın sağına-soluna yayıldığını gösterir. • Ortalama± 3(standart sapma) Değerlerin % 99’unun “ortalama ± 3 (standart sapma)” kadar ortalamanın sağına-soluna yayıldığını gösterir.
Standart Hata • Aynı popülasyondan seçilecek, aynı büyüklükteki örneklemlerin ortalamalarının yayılmasını gösteren ölçüt, ortalamanın standart hatası (standard error of mean)’dır. • Standart sapma değerinin denek sayısının kareköküne bölünmesi ile elde edilen değerdir.
• Ortalamanın standart hatası, ortalamanın dağılımındaki varyasyonu (değişimi) gösterir, örneklem sayısının artması ile küçülür. • Standart hatanın küçük olması popülasyon parametresine ait yapılacak olan tahminler açısından önemlidir.
• Ekstrem bir örnek verilecek olursa; örneğin bir çalışma grubunun ortalamasına ait standart hata sıfır olarak bulunsun. Bu sıfır değeri, çalışma grubuna ait ortalama değerinin, grubu oluşturan örneklerde değişmediğini ve popülasyon parametresini tahmin bakımından en iyi tahmini yaptığını gösterir. • Standart hata ne kadar küçükse, popülasyon ait tahminlerimiz de o kadar isabetli olmaktadır
• Herbirinde 100’er kişi (denek) bulunan iki ayrı grubumuz (1. grup ve 2. grup) olsun. • Buradaki her bir deneğin aylık olarak tükettiği gazlı içecek değeri ölçülsün ve kaydedilsin. Birinci ve ikinci grubun değerlerinin ortalaması sırayla 13. 0 ve 15. 7, standart sapması ise sırayla 9. 0 ve 4. 0 olsun. Grupların standart hatalarını bulmak için standart sapma değerini denek sayısının kareköküne bölünmesi gerekir (denek sayısı=100 olduğuna göre, bunun karekökü=10 olacaktır). Sonuç olarak standart hata değerleri sırasıyla “ 9/10=0. 9” ve “ 4/10=0. 4” olarak elde edilecektir. Buna göre grupların ortalama değerlerinin yanında standart hata değerleri de verilecek olursak; “ 13. 0 ± 0. 9, yani 12. 1 - 13. 9” ve “ 15. 7 ± 0. 4, yani 15. 3 -16. 1” değerleri elde edilir. Bu değerler her iki grup ortalamasının, % 68 olasılıkla, 12. 1 -13. 9 ve 15. 3 -16. 1 olarak yayıldığını göstermektedir.
• Ortalama ± 1(standart hata): İçecek ortalama değerinin % 68 olasılıkla “± 1 (standart hata)” kadar sağa-sola yayıldığını gösterir. (Yani, bu çalışma grubu, aynı popülasyondan 100 kez tekrar oluşturulacak olursa, bunların 68’inin ortalaması, bu sınırlar arasında kalacaktır). • Ortalama ± 2(standart hata): Ortalama değerinin % 95 olasılıkla “± 2 (standart hata)” kadar sağa-sola yayıldığını gösterir. • Ortalama ± 3(standart hata): Ortalama değerinin % 99 olasılıkla “± 3 (standart hata)” kadar sağa-sola yayıldığını gösterir.
• Grupların her biri tek ele alınırken (örneğin; birinci grubun yaş ortalaması, boy ortalaması gibi) “ortalama ± standart sapma” değerleri kullanılır. Böylece, sadece o grubun, yaş veya boy yönünden nasıl bir dağılım gösterdiği anlaşılmış olur. • Ancak gruplar birbiri ile karşılaştırılırken “ortalama ± standart sapma” değil “ortalama ± standart hata” değerleri kullanılır.
Korelasyon katsayısı • Gözlemler sonucunda elde edilen x ve y gibi iki değişken arasındaki ilişkiyi araştırmak için kullanılır. Sayısal değeri -1 ve +1 arasında değişir. • 0 değeri iki değişken arasında hiçbir ilişki bulunmadığını, 1 değeri ise %100 ilişki bulunduğunu gösterir. • +1 değeri - Değişkenler arasında “Doğru orantı” • -1 değeri - Değişkenler arasında “Ters orantı”
Normal Dağılım
Normal Dağılım • Normal eğri, normal dağılımların gösteriliş biçimidir. • Normal dağılımlar alınan istatistiki verilerden aritmetik ortalama, mod ve ortancanın birbirine eşit olması durumudur. Bu değerler bir eğri ile gösterildiklerinde aynı noktada çakışırlar. • Normal dağılım kuramsal bir dağılımdır ve matematiksel bir eşitliği ifade eder. Normal dağılım eğrisinin tepe noktasında standart sapma 0 kabul edilir.
Normal dağılımlar ortalama ve standart sapmada değişiklik gösterirler.
• Normal dağılımda alınan verilerden: -%68 i (+1) ile (-1) -%95 i (+2) ile (-2) -%99 u (+3) ile (-3) standart sapma değerleri arasında yer alır.
Örneğin: aritmetik ortalaması 60 ve standart sapması 4 olan veriler topluluğunu düşündüğümüzde, normal dağılımda bunun anlamı şudur: alınan verilerden ( 1 ss ) *%68 i 60+4 x 1 ile 60 -4 x 1 arasında yani 64 ile 56 arasındadır (2 ss ) *%95 i 60+4 x 2 ile 60 -4 x 2 arasında yani 68 ile 52 arasındadır (3 ss) *%99 u 60+4 x 3 ile 60 -4 x 3 arasında yani 48 ile 72 arasındadır
Hipotez Testleri • Hipotez, parametre hakkındaki bir inanıştır. • Parametre hakkındaki inanışı test etmek için hipotez testi yapılır. • Hipotez testleri sayesinde örneklemden elde edilen istatistikler aracılığıyla ana kütle (popülasyon) parametreleri hakkında karar verilir. Ana kütle parametreleri hakkında karar verirken doğru ya da yanlış olması muhtemel yargılardan hareket edilir.
Hipotez Testleri • Bir hipotez testinde iki hipotez yer alır: H 0 : Boş hipotez, sıfır hipotezi H 1 ya da. Ha : Alternatif hipotez Daha önce doğru olduğu ispatlanan veya ortak kabul görmüş yargılara sıfır hipotezi(H 0) denir. İnandığımız durum H 0 hipotezinde yer alır. Aksi ispat edilemedikçe H 0 hipotezi doğru kabul edilir.
Hipotez Testleri • İddia edilen durum H 1 hipotezinde ele alınır. Sıfır hipotezinde belirtilen yargının tersi bir yargıyı içinde bulunduran hipoteze alternatif hipotez (H 1) denir. • Kendini kanıtlama zorunluluğu H 1 hipotezine aittir. H 1 hipotezi daima H 0 hipotezinin tersi olarak ifade edilir.
Popülasyonun günde TV seyrettiği sürenin ortalaması 12 midir? = 12 12 H 0: = 12 H 1: 12 Bir şapkanın ortalama maliyetinin 2 TL’den büyük olduğu iddia edilmektedir, araştırınız. H 0 : 2 H 1 : 2 Bir kitapçının aylık cirosunun 25. 000 TL’den küçük olduğu iddia edilmektedir, araştırınız. H 0: >25 000 H 1: 25 000
Hipotez Çiftleri: H 0 RED ÇİFT TARAFLI TEST H 0 RED /2 Z 0 H 0 RED TEK TARAFLI TEST 28 0 Z H 0 RED
Önem Seviyesi - • Örneklem dağılımının RED bölgesinin büyüklüğünü gösterir. • Tipik değerleri: 0. 01, 0. 05, 0. 10 • Araştırmanın başında araştırmacı tarafından seçilir. 29
Karar Vermedeki Hatalar Hipotez Testi Bir Mahkeme Jürisi Gerçek Durum Karar Masum Suçlu Masum Doğru HATA Suçlu HATA H 0: Masumdur Doğru Gerçek Durum Karar H 0 red edilemez H 0 red H 0 Doğru 1 - I. Tip Hata ( ) H 0 Yanlış II. Tip Hata ( ) Testin Gücü (1 - ) 30