HIU NG QUANG HC PHI TUYN Lu li

























































































































- Slides: 121
HIỆU ỨNG QUANG HỌC PHI TUYẾN
Lưu lại thông tin cần thiết: Địa chỉ bạn đã tải: http: //mientayvn. com/Cao%20 hoc%20 quang%20 dien%20 tu/Semina%20 tren%20 lop/semi Nơi bạn có thể thảo luận: http: //myyagy. com/mientay/ Dịch tài liệu trực tuyến miễn phí: http: //mientayvn. com/dich_tieng_anh_chuyen_nghanh. html Dự án dịch học liệu mở: http: //mientayvn. com/OCW/MIT/Co. html Liên hệ với người quản lí trang web: Yahoo: thanhlam 1910_2006@yahoo. com Gmail: frbwrthes@gmail. com
Mục Lục n n n Chương 1: Mở đầu Chương 2: Hiệu Ứng quang điện trong tinh thể Chương 3: Những k/n cơ bản - SHG Chương 4: Khuyếch đại và dao động thông số Chương 5: Các hiệu ứng quang phi tuyến bậc cao Chương 6: Hiệu ứng tán xạ kích thích Mandelstam. Brillouin
Chương I MỞ ĐẦU 1. 1 Quang phi tuyến và vai trò của cường độ á. s. Trước 1960, quang học chỉ là quang học tuyến tính, trong đó cường độ á. s. không ảnh hưởng đến các hiện tượng quang học. Giả thiết này dẫn đến những kết quả sau: n Chiết suất, hệ số hấp thụ của môi trường, …không phụ thuộc vào cường độ á. s. n Nguyên lý chồng chất á. s. được nghiệm đúng n Tần số á. s. không thay đổi khi nó truyền qua môi trường n Á. s không thể tương tác với á. s.
n n Năm 1960 (laser ra đời): có nguồn sáng có cường độ rất lớn. Các hiệu ứng quang học phi tuyến xuất hiện qua một số hiện tượng quan sát được. Chiết suất (vận tốc của ás) trong môi trường quang học thay đổi theo cường độ á. s. Nguyên lý chồng chất bị vi phạm Tần số của á. s có thể thay đổi khi truyền qua môi trường phi tuyến As có thể tương tác với á. s (dẫn tới điều khiển)
n n n Các đặc tính quang học của một môi trường khi có á. s truyền qua được mô tả đầy đủ bởi liên hệ giữa vectơ mật độ phân cực P(r, t) và vectơ cđộ điện trường E(r, t) của á. s Mt tuyến tính Mt phi tuyến
Tóm lại n Quang tuyến tính hay phi tuyến là một đặc tính của môi trường vật chất khi có ás truyền qua, không phải là tính chất riêng của ás. n Hiện tượng phi tuyến chỉ xảy ra khi cường độ của chùm sáng đủ lớn n Tính chất phi tuyến sẽ không xuất hiện khi ás truyền trong chân không
n Quang phi tuyến là ngành học nghiên cứu sự tương tác của a’s với vật chất khi các phản ứng của môi trường vật chất phụ thuộc phi tuyến theo cường độ của a’s chiếu vào.
1. 2 Những đặc trưng cơ bản của ás trong quang tuyến tính Ás là sóng điện từ được đặc trưng bởi tần số và sự phân cực. Vd: sóng phẳng đơn sắc truyền theo trục z được biểu diễn bằng biểu thức Cường độ á. s
1. 3 Một số hiệu ứng đặc trưng của Quang phi tuyến n n Tần số á. s có thể biến đổi khi nó truyền qua môi trường (SHG, THG, SFG, DFG, tán xạ Raman, B-M…) Chùm á. s song khi truyền qua môi trường thích hợp có thể hội tụ (sự tự tụ tiêu) Sự tự điều biến pha, khuếch đại quang Làm tối hay làm sáng môi trường Làm biến mất giới hạn quang điện của môi trường, …
Sum-Frequency Spectroscopy
Bt. Xác định cường độ á. s (W/cm 2) để: n n 1. tỉ số của số hạng thứ hai và số hạng thứ nhất trong biểu thức của độ phân cực P(E) là 1% đối với tinh thể KDP (KH 2 PO 4) có chiết suất n = 1, 5 và d = 6, 8. 10 -24 (MKS) ở bước sóng 1064 nm. 2. tỉ số của số hạng thứ ba và số hạng thứ nhất trong biểu thức của độ phân cực P(E) là 2% đối với tinh thể CS 2 n=1, 6 ; d=0; và (MKS) ở bước sóng
Tài Liệu Tham Khảo n n n Trần Tuấn, Quang phi tuyến, Giáo trình Cao học, NXB ĐHQG Tp. HCM, 2002. A. Yariv, Quantum Electronics, John Wiley & sons Inc, Newyork-London, 1988. B. E. A. Saleh & M. C. T. Fundamentals of Photonics. N. Bloembergen, Nolinear Optics, Benjamin Inc, Newyork-Amsterdam, 1977. Y. R. Shen, The Principles Nonlinear Optics, John Wiley & sons, 1998.
Chương II: Hiệu ứng quang điện trong tinh thể 2. 1. Sự truyền sóng đtừ trong tinh n Tinh thể dị hướng: Dk = εkl. El ; k, l = x, y, z n Mật độ năng lượng điện: n e = ½ (E. D) = ½ (Ek εkl. El) n Đ/v tinh thể: εkl = εlk thể (2. 1. 1) (2. 1. 2) (2. 1. 3)
n n Biến đổi hệ trục tọa độ sao cho: 2 e = εx. E 2 x + εy. E 2 y + εz. E 2 z (2. 1. 5) Các trục tọa độ thỏa mãn (2. 1. 5) được gọi là các trục chính của tinh thể. Trong hệ trục chính, tenxơ εkl có dạng: (2. 1. 6)
n n n Kết hợp (2. 1. 5) & (2. 1. 6): (2. 1. 7) là Pt ellipsoid Dùng hệ pt Maxwell và công thức biến đổi => khi as truyền qua môi trường dị hướng: có thể có hai hướng phân cực thẳng lan truyền độc lập. Vectơ phân cực của hai sóng đó trực giao với nhau
n n Tóm lại: Một tinh thể dị hướng chỉ có thể cho truyền qua các sóng phân cực thẳng theo 1 trong 2 hướng vuông góc với nhau (và vuông góc với phương truyền) Nói chung các sóng này sẽ truyền với vận tốc khác nhau (chiết suất khác nhau). Hướng truyền của năng lượngkhông vuông góc với mặt sóng.
n 2. 2. Đặc tuyến quang học: ellipsoid chiết suất n Tương đương pt: n n (2. 2. 1) Là pt ellipsoid có các trục chính trùng với các trục tọa độ x, y, z.
Có 3 trường hợp: n A. nx= ny = nz = n : môi trường đẳng hướng n B. nx≠ ny ≠ nz : Mtrường điện môi 2 trục n C. nx= ny ≠ nz : Mtrường điện môi 1 trục (ellipsoid có 1 trục đối xứng Oz) Áp dụng để tìm hai hướng phân cực và chiết suất tương ứng n
n n 2. 3 Sự truyền sóng trong tinh thể đơn trục Tinh thể đơn trục (lưỡng chiết) Hệ phương trình: Dùng để xác định chiết suất của tinh thể đối với hướng truyền tương ứng
n n n Hiệu ứng quang điện (electro-optic) bậc nhất – hiệu ứng Pockels: Khi có điện trường áp vào tinh thể => sự lan truyền của as sẽ thay đổi Chiết suất của môi trường phụ thuộc E Nếu n(E) = n – (½) ﺡ n 3 E => h/ư Pockels Nếu n(E) = n – (½) ﺡ n 3 E 2 => h/ư Kerr ﺡ : hệ số Pockels (10 -12 – 10 -10 m/V)
n n Khi đó hướng phân cực được phép bị quay một góc θ Dùng phương pháp đổi trục để tìm các trục tọa độ chính mới.
n n 2. 5 Sự trễ quang điện Trong tinh thể dị hướng có hai mode phân cực vuông góc truyền với vận tốc khác nhau co/n 1 và co/n 2. Nếu môi trường là vật liệu Pockels ( tế bào Pockels), thì khi có điện trường áp vào, chiết suất bị thay đổi một lượng: n 1(E) = n 1 – (½) ﺡ 1 n 13 E Và n 2(E) = n 2 – (½) ﺡ 2 n 23 E ﺡ 1 ≠ ﺡ 2 : sau khi truyền một đoạn L, 2 mode trễ pha
n Độ trễ pha: n Trong đó V = EL Có thể đặt n Trong đó n
n n n 2. 6. Sự biến điệu biên độ as Đặt vào tế bào Pockels một hiệu điện thế V Trước và sau tế bào có hai tấm phân cực lệch nhau một góc 90 o Khi V = 0 => Г = 0: Ex’ và Ey’ cùng pha => không đổi hướng phân cực, bản cực sau không cho as truyền qua Khi V = Vπ => Г = 90 o phân cực quay 90 o => cho qua hoàn toàn
n n n Khi V có giá trị bất kỳ từ 0 đến 90 o bản cực sau cho as đi qua một phần => biến điệu biên độ của as 2. 7. Sự biến điệu pha Khi chùm as truyền qua tế bào Pockels có chiều dài L, có điện trường áp vào E, pha của chùm sáng ở mặt ra bị lệch so với mặt vào
Chương III: Những khái niệm cơ bản về Quang phi tuyến - SHG 3. 1 Sự phân cực điện môi trong trường Điện từ n 3. 1. 1 Hệ phương trình Maxwell trong môi trường phi tuyến
n Hệ phương trình vật chất n Độ phân cực vĩ mô của môi trường
3. 1. 2 Mẫu dao động điện tử phi tuyến n Pt chuyển động của e trong nguyên tử dưới tác dụng của điện trường e. E là lực do điện trường của á. s t/d lên e là lực do các hạt nhân t/d lên e, tương đương lực đàn hồi, liên kết thế năng: V(x) = ½(m 02 x 2)
Đối với tinh thể bất đối xứng, thế năng của e trong tinh thể có dạng n Khai triển thế năng V(x) theo chuỗi Taylor:
n Lực thế F tương ứng có dạng: n Phương trình chuyển động của e:
Lời giải nhiễu loạn của pt dao động phi tuyến n Thông thường 3(A/m)x 2 << Số hạng phi tuyến chỉ đáng kể khi x (độ dịch chuyển của điện tử) đủ lớn, tức là cường độ điện trường áp vào đủ lớn. Khảo sát pt dđ đt phi tuyến n Trong đó n n và
n Số hạng là nhỏ, có thể xem là nhiễu loạn nhỏ của pt tuyến tính. Gọi là gần đúng bậc nhất của x, ta có: n Lời giải có dạng n Lời giải gần đúng hơn của x(t) gọi là
n Lời giải gần đúng hơn của x(t) gọi là nhận được từ pt n Ta có n Từ pt trên trở thành
n Từ pt trên trở thành n Lời giải của pt là n Nếu viết điện trường dưới dạng phức:
n Pt có dạng n Tương tự, ta có lời giải:
n Trong đó:
3. 1. 3. Độ phân cực phi tuyến n Độ phân cực P của moment lưỡng cực trên một đơn vị thể tích: P = Nex Với độ phân cực tương ứng là
n So sánh với (2. 2. 9), ta có: (2. 3. 3) n Do đó (2. 2. 12) có dạng: n (2. 3. 4 a) n (2. 3. 4 b) n (2. 3. 4 c)
n Do đó độ phân cực trở thành: n Trong đó:
3. 2. Sự tương tác phi tuyến của trường điện từ n n n Từ pt Maxwell: Trong đó, độ phân cực P có số hạng phi tuyến bậc hai tác động như một nguồn phát xạ sóng có tần số 2. Điện trường của sóng này có thể viết dưới dạng: Với và
n Giả sử E 2 (z) biến đổi chậm theo trục z, ta có thể bỏ qua đạo hàm bậc hai của E 2 (z), khi đó: n n Mặt khác: n n Thay vào pt Maxwell, rút gọn và tách thành các pt riêng cho mỗi tần số ta được hệ 2 pt
n Pt đối với tần số 2 có dạng: n Với là hệ số phi tuyến bậc hai Và giả sử E giảm không đáng kể (=hằng), tích phân * ta có: n
n Trong đó n Nên
3. 3 Phát sóng hài bậc hai - SHG (Second harmonic gernegation ) n Thực nghiệm SHG được Franken và cộng sự công bố lần đầu tiên vào năm 1961: dùng bức xạ laser Ruby ( = 6943 Ao) chiếu vào tinh thể quartz, chùm tia ra có bức xạ = 3471 Ao
n Nếu chiều dài tinh thể là L (z=L), ta có: Cường độ của sóng và 2 là: n Do đó:
n Hiệu suất biến đổi SHG: n n Hiệu suất đạt cực đại và có giá trị: n n Khi n Ví dụ L=1 cm; d=4. 10 -24; n=1, 5; I (0)=108 W/cm 2; e. SHG=37%
3. 4 Điều kiện đồng bộ không gian (Sự hợp pha) n Điều kiện cực đại của hàm sin 2 x/x 2: Là nghiệm của phương trình siêu việt x = tgx và Chọn n=1
x n n 0 4, 49 7, 73 10, 10 1 0, 047 0, 016 0, 008 Bảng giá trị và vị trí các cực đại của hàm sin 2 x/x 2. Xét điều kiện:
n n Do đó điều kiện trên không thỏa mãn trong môi trường tán sắc bình thường (có chiết suất n( ) tăng khi tăng) Trong môi trường tinh thể lưỡng chiết, điều kiện trên có thể thỏa mãn
n n n Xét tinh thể đơn trục âm KDP: Trong đó ne( ) và no( ) là chiết suất của tinh thể ứng với tia bất thường và tia thường đối với sóng có tần số . Dựa vào ellipsoid chiết suất ta tìm được hướng truyền của tia tới lập với trục quang học một góc θ thỏa mãn công thức:
n n Gọi θ là góc của hướng truyền hợp với quang trục, ta có công thức: Góc thỏa mãn điều kiện hợp pha θd, ta có:
3. 5. SHG với chùm Gauss n Trong thực tế, chùm laser có dạng chùm Gauss: n Công suất của chùm tia:
n Thay vào trên, ta có: n Trong đó 3 = 2 1
Chương IV: Khuếch đại và Dao động thông số quang học 4. 1. Sự trộn ba sóng (do sự phi tuyến của độ phân cực) n 1 2 1 3 2
Khảo sát trường quang học gồm hai sóng đơn sắc 1, 2 đi vào môi trường phi tuyến bậc hai Trong đó n Thay E vào biểu thức của độ phân cực:
n n n Kết quả P sẽ gồm các số hạng có tần số 0, 1, 2, 2 1, 2 2, 1+ 2, 1 - 2. Khi đó trong môi trường có sự phân cực với các tần số trên. Giả sử môi trường phát sóng có tần số 3 = 1+ 2, với cường độ của sóng 3 : Các sóng trong môi trường phải thỏa mãn pt Maxwell
n Nếu các tần số 1, 2, 3 là phân biệt, ta có thể tách chúng thành 3 pt riêng đ/v mỗi tần số Với
n Để có sóng 3 phát ra có cường độ cực đại thì Hay (1) Điều kiện (1) gọi là điều kiện hợp pha hay đk bảo toàn động lượng n Đk 3 = 1 + 2 (2) là đk hợp tần hay bảo toàn năng lượng
n n n Vậy: khi có hai sóng quang học 1, 2 đi vào môi trường phi tuyến bậc hai, giả sử chỉ có sóng 3 thỏa mãn đk hợp pha nên được phát ra, các sóng khác không được môi trường duy trì vì không thỏa mãn đk hợp pha Mỗi khi sóng 3 phát ra nó lại tương tác với sóng 1 để tạo ra sóng 2. Đk hợp pha cũng thỏa mãn đv tương tác này. Tương tự, sóng 3 và sóng 2 kết hợp với nhau tạo ra sóng 1 cũng thỏa mãn đk hp
1 tt 2 => 3 n 3 tt 1 => 2 cùng thỏa mãn đk hp n 3 tt 2 => 1 n Quá trình đó gọi là sự trộn 3 sóng. n Không thể có sự trộn 2 sóng. Hai sóng bất kỳ 1, 2 không thể liên kết với môi trường mà không có sự góp mặt của sóng thứ ba. n
n n Sự trộn ba sóng còn được gọi là tương tác thông số 3 sóng, có thể phân loại : SFG – DFG – OPA – OPO Các trường hợp đặc biệt: SHG, up-converter, down-converter.
n Các trường hợp của sự trộn ba sóng
4. 2. Khuếch đại thông số n n n Chiếu vào môi trường phi tuyến bậc hai sóng bơm 3 (cđộ mạnh) và sóng tín hiệu 1 (cđộ yếu). (hình vẽ) Sau tương tác có sóng 2 phát ra, đồng thời cường độ của sóng 1 tăng lên: Sóng 1 được kđại. Ba sóng trên phải thỏa mãn đk hợp pha và hợp tần.
n n Hợp pha: Hợp tần: 3 = 1 + 2 Do có thể thay đổi 2 và 1 sao cho đk hợp tần vẫn thỏa mãn nên có thể kđ nhiều tần số khác nhau: kđại thông số. Giải hệ các pt (3. 1. 4) với giả thiết cđộ sóng bơm thay đổi không đáng kể ta có biểu thức cđộ của các sóng phát ra.
(4. 2. 1 a) (4. 2. 1 b) (4. 2. 2) Trong đó i = 1, 2
n n Lấy vi phân 3. 2. 1 a và dùng 3. 2. 1 b ta có: Giải theo E 1(0) và E 2(0) tại mặt vào z = 0, ta có: (4. 2. 5 a) (4. 2. 5 b)
n Giả sử chiếu vào môi trường sóng bơm 3 và sóng tín hiệu 1 thì E 2(0) = 0, lời giải 4. 2. 5 trở thành (4. 2. 6 a) (4. 2. 6 b)
n n n Hệ thức Manley-Rowe Sự gia tăng cường độ của sóng tín hiệu và sóng đệm dọc theo trục z tương ứng với sự giảm cường độ sóng bơm và ngược lại. Phù hợp với quan điểm photon
n Xét theo quan điểm photon
4. 3. Dao động thông số n Nếu đặt tinh thể phi tuyến trong BCH để các sóng kđại dao động: dao động thông số. 3 2 1 n 1 Thiết bị trên được gọi là máy phát dao động thông số quang học (OPO)
n Do mất mát trong BCH, để có sóng kđ phát ra, sóng bơm phải có cđộ lớn hơn giá trị tối thiểu gọi là giá trị ngưỡng: (4. 3. 1) n n Nếu BCH chỉ cho một sóng dao động: MPDĐTS cộng hưởng đơn (Single Resonant Oscillator – SRO) Nếu BCH cho hai sóng dao động: MPDĐTS cộng hưởng kép (Double Resonant Oscillator – DRO)
Điều hưởng tần số trong dao động thông số: Xét dao động thông số gồm 3 sóng Thỏa mãn điều kiện n , và 1 + 2 = 3 n 1 1 + n 2 2 = n 3 3 : sóng bơm (pump wave) : sóng tín hiệu (signal wave) : sóng đệm (idler wave) ni phụ thuộc vào nhiệt độ tinh thể, hướng tinh thể, điện trường…
n n Trong hệ cộng hưởng có chiều dài L có chứa tinh thể phi tuyến, tần số các sóng 1 và 2 phải thỏa mãn cá hệ thức sau: Xét sự thay đổi ni theo sự định hướng của tinh thể
n n Xét trường hợp ni thay đổi theo sự định hướng của tinh thể. Giả sử, sóng 1 và 2 là tia thường, tương ứng với chiết suất n 10 và n 20 còn sóng 3 là tia bất thường, n 3 phụ thuộc góc θ của tia sáng lập với quang trục. Ban đầu, biểu thức thỏa mãn điều kiện hợp pha là:
n Giả sử tinh thể quay một góc Δθ khi đó n 3 thay đổi, để thỏa mãn điều kiện hợp pha thì 1, 2, n 1, n 2 thay đổi theo.
n Điều kiện hợp pha trở thành Bỏ qua các số hạng bậc hai ΔnΔ , ta được:
n Vì n 3 là hàm của θ, còn n 1, n 2 chỉ phụ thuộc tần số, nên ta có:
n Thay các biểu thức vi phân trên vào (4. 3. 21), ta được: (4. 3. 24)
n Ct (3. 3. 24) biểu diễn sự biến đổi tần số 1 theo góc θ tạo bởi sóng bơm với trục của tinh thể. Dùng biểu thức: n Và n Ta được: n
n Cuối cùng ta được biểu thức biểu diễn sự thay đổi của tần số sóng phát ra 1 theo góc θ: (4. 3. 25)
Chương 5. Các hiệu ứng quang học phi tuyến bậc cao n n n 5. 1. Sự trộn bốn sóng: Trong môi trường có tâm đối xứng , số hạng phi tuyến bậc hai d = 0, do đó hệ số phi tuyến bậc ba nổi bật. Độ phân cực phi tuyến: Tương tự sự trộn ba sóng, nếu đưa ba sóng có tần số 1, 2, 3, vào môi trường phi tuyến bậc ba, thì chúng liên kết với nhau và độ phân cực phi tuyến PNL tạo thành 216 số hạng. Giả sử có sự phát tần số tổng 4 = 1+ 2+ 3 , ta có sự trộn bốn sóng. Đk hợp pha: k 4 = k 1 + k 2 +k 3
5. 2 Sự phát sóng hài bậc ba Trường hợp đặc biệt: = 1= 2= 3 Ta có sự phát sóng hài bậc ba: 4 = 3 n
n Giải theo pt liên kết: n Giả thiết E( ) = hằng:
n n n Hiệu suất THG: Để có sóng THG thì điều kiện đồng bộ pha phải được thỏa mãn Δk = 0. Tổng quát
n Nếu môi trường tán sắc âm (n giảm khi tăng) và các sóng vào không cộng tuyến thì điều kiện hợp pha được thỏa mãn theo sơ đồ
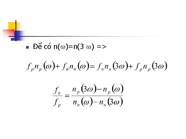
n Trường hợp cộng tuyến (1) n n Biểu thức (1) thường không được thỏa mãn do môi trường bị tán sắc. Tuy nhiên (1) có thể được thỏa mãn trong môi trường khí bằng cách trộn hai chất khí với nhau:
n Giả sử khí A tán sắc thường: n và khí B tán sắc âm: theo tỷ lệ thích hợp n Gọi np và nn là chiết suất của khí tán sắc dương và âm fp và fn là nồng độ riêng phần của chúng
5. 3 Sự tự tụ tiêu n n n Trong QTT, chùm sáng song khi truyền qua môi trường sẽ bị khuếch tán ngang do nhiễu xạ. Ở k/c đặc trưng Rd chùm bắt đầu nhiễu xạ- độ dài nx: Rd = ka 2/2; (1) với a là bán kính của chùm. Góc phân kỳ θd = 1, 22λ/2 ano (2) (1) và (2) không phu thuộc vào cường độ của chùm bức xạ Kết quả trên không còn đúng khi chiếu chùm laser công suất lớn vào chất lỏng, một số tt rắn.
n n n Nguyên nhân: ta có P = αE + βE 2 + γE 3 + … Vectơ cảm ứng điện D= εoεr. E = εo. E + P Độ điện thẩm tương đối εr = 1 + P/ εo. E Chiết suất n 2 = εr Do đó khi chiếu ás có E đủ lớn vào môi trường phi tuyến bậc ba, ta có n 2 = εr = 1 + α/εo + (3γ/4εo)Eo 2 Đối với chùm Gauss, Eo tăng dần từ biên vào vùng trục nên n cũng tăng dần từ biên vào vùng trục → chùm tia bị hội tụ vào vùng trục: Sự tự tụ tiêu
n n n Nếu công suất chùm tia đạt giá trị ngưỡng: Pc = ncεoao 2 Eo 2/2 = cεoλ 2/8 n 2 thì sự hội tụ cân bằng với sự nhiễu xạ: chùm tia giữ nguyên song khi truyền: sự tự bẫy. Nếu P > Pc chùm tia tự hội tụ. Khoảng cách hội tụ đối với chùm Gauss zf = zo(P/Pc - 1)-1/2 Các quá trình phi tuyến khác cản trở sự hội tụ đến bán kính w = 0.
5. 4 Sự hấp thụ hai photon ás. Two – Photon Absorption (TPA) n n TPA là qt hai photon được hấp thụ đồng thời để kt hệ vật liệu, là qt bậc cao hơn; tiết diện hiệu dụng nhỏ hơn nhiều bậc so với hấp thụ 1 photon. Tuy nhiên vẫn quan sát được nhờ các laser Sự dịch chuyển một photon và hai photon tuân theo các qui tắc chọn lọc khác nhau nên thường được dùng để bổ sung cho nhau trong quang phổ học. Xác suất dịch chuyển của quá trình hai photon được Göppert-Mayer đưa ra lần đầu tiên bằng cách dùng lý thuyết nhiễu loạn bậc hai. Ngoài ra có thể dùng pt sóng liên kết để tính.
n n Công suất mát do hấp thụ của môi trường được tính theo ct: P = E(d. P/dt). (i) Trong QTT, P = εE → P ~ E 2 : hấp thụ 1 photon. Trong QPT, P = αE + βE 2 + γE 3 + …, đ/v mtrường phi tuyến bậc ba: P = αE + γE 3 , khi thay vào (i) sẽ xuất hiện số hạng P ~ E 4 : hấp thụ hai photon. Khi giải bài toán tìm xác suất dịch chuyển từ trạng thái m vào tt k thông qua tt n ta tìm được kết quả tương tự.
n n Hiện tượng TPA được quan sát lần đầu tiên ở tinh thể Ca. F 2 : Eu. Chiếu chùm laser Ruby (λ = 6943 Å) vào tinh thể, ion Eu+2 hấp thụ hai photon, chuyển lên trạng thái kich thích, sau đó dịch chuyển không bức xạ về mức NL thấp hơn rồi bức xạ phần NL còn lại dưới dạng ás màu xanh lam (λ = 4250 Å). Lưu ý: khác với SHG, THG, có thể xem như 3 WM.
Ứng dụng của TPA n n n TPA là công cụ hữu ích để n/c sự kích thích và p/c exciton trong bán dẫn (đo dược đường cong tán sắc của p/c exciton, trong khi O-PA chỉ quan sát được p/c exciton trong resttrahling band). TPA được dùng để tạo ra sự kt đồng bộ các hạt tải trong khối vật chất. TPA còn được dùng để dò các tt của exciton khi không thể dò bằng O-PA.
Trong các chất khí và chất lỏng phân tử: n n Các phân tử có tâm đối xứng, tt của điện tử có thể được chia thành tt g (gerade) và u (ungerade). Các dịch chuyển 1 photon từ g→g hoặc u →u là bị cấm. Nhưng dịch chuyển 2 photon từ g→g hoặc u →u là cho phép. Do đó nhờ TPA có thể n/c được bộ mới các ttr của đtử, dao động, quay.
n n TPA cũng có thể dùng để kt các tt điện tử của một nguyên tử mà không thể dò bằng O-PA. Ví dụ tt ns và nd của một nguyên tử alkali. Do các yếu tố ma trận dịch chuyển lớn giữa các ttr của nguyên tử TPA trong các khí nguyên tử thường mạnh hơn nhiều trong các khí phân tử. Tuy vậy, nó vẫn còn yếu để có thể quan sát nhờ đo đạc sự thăng giáng của chùm tia. Vì vậy người ta phải dùng các phương pháp như quang huỳnh quang và quang ion hóa.
5. 5 Tán xạ Raman kích thích
n n Các dao động, chuyển động quay của phân tử, chuyển động điện tử trong nguyên tử hay các kích thích chung của vật chất có thể tương tác với ás và làm dịch chuyển tần số ás một lượng Ω thông qua các tán xạ không đàn hồi. Hiện tượng đó đã được Raman & Krishnan phát hiện và hầu như đồng thời bởi Mandelstam & Lansberg vào năm 1928.
n n Trong một chùm laser mạnh, các photon của laser bơm và các photon có tần số dịch chuyển Raman cùng tác động kết hợp gây ra chuyển động cộng hưởng cho phân tử dẫn đến sự khuếch đại tín hiệu Raman. Hiệu ứng này được gọi là tán xạ Raman kích thích (SRS – Stimulated Raman Scattering). Trong SRS, các mode kích hoạt Raman của vật liệu có vai trò như các bộ điều biến quang, cưỡng bức trường laser dịch chuyển để phát ra tần số mới.
n n n Một trường laser mạnh trong điều kiện đó không chỉ tạo ra các photon ở tần số mới thông qua tương tác với các mode kích hoạt Raman mà còn khuếch đại chúng. Tán xạ Raman xảy ra khi chiếu ás vào chất khí, lỏng hay một số t. thể rắn có đối xứng tâm. (Môi trường phi tuyến bậc ba). Sau đây là lý thuyết về tán xạ Raman (tán xạ tổ hợp).
5. 5. 1. Tán xạ tổ hợp của ás. n n Lý thuyết cổ điển: Xét hệ gồm nhiều hạt, không có momen lưỡng cực riêng, ngoài chđộng của điện tử còn xét chđộng của hạt nhân. Gọi r, ra là vectơ xác định vị trí điện tử và vị trí hạt nhân, giả sử dịch chuyển của đtử và hnhân cùng xảy ra trên một trục. Nếu r, ra nhỏ, có thể khai triển hàm thế năng quanh vị trí cân bằng của chúng.
n Tại vị trí thế năng cực tiểu: n Hàm thế năng: n Biểu thức lực đàn hồi tác động lên đtử và nhân:
n n Bỏ qua các số hạng bậc cao, ta có: (5. 1. 4) (5. 1. 5) Ptrình chđộng của đtử, độ phân cực P và hạt nhân: (5. 1. 7) (5. 1. 9) (5. 1. 10)
n n Trong đó Nghiệm của pt là Trong đó roa và pha φa là đại lượng ngẫu nhiên, còn ωv là tần số dao động riêng của hạt nhân. Đưa (5. 1. 12) vào (5. 1. 9) ta được:
Lời giải của ptrình là lực phân cực kích thích của môi trường. Lực đó chứa 3 số hạng có tần số , + v , - v. n Vì vậy trong môi trường, ngoài sóng có tần số , còn xuất hiện sóng có tần số + v và - v. n Đó là ás tán xạ tổ hợp (tự phát). n Các vạch ( - v) gọi là vạch Stoke n Các vạch ( + v) gọi là vạch anti-Stoke. n
5. 5. 2. Tán xạ Raman kích thích n n Khi chiếu ás laser vào môi trường phi tuyến bậc ba, các photon của laser bơm và photon tán xạ (có tần số dịch chuyển) tác động kết hợp, gây ra chuyển động cộng hưởng cho các phân tử. Điều đó dẫn đến sự khuếch đại tín hiệu Raman. Hiệu ứng này được gọi là txạ Raman kích thích (Stimulate Raman Scattering – SRS) SRS <=> sự trộn ba sóng ω, ωs , ω - ωs (ω + ωs)
Lý thuyết về tán xạ Raman kích thích Từ lý thuyết cổ điển (mục 5. 1) không thể bỏ qua số hạng ở vế phải của pt (5. 1. 10) Phương trình liên kết (tương tự sự trộn ba sóng). n Lý thuyết vĩ mô: n
Chương VI. Tán xạ kích thích Mandelstam - Brillouin