Eksponent ja logaritmvrrandid Heldena Taperson www welovemath ee























- Slides: 23
Eksponent- ja logaritmvõrrandid Heldena Taperson www. welovemath. ee
Eksponentvõrrandiks nimetatakse võrrandit, mis sisaldab tundmatut astendajas.
1) Eksponentvõrrandi teisendamine võrrandiks, mille mõlemad pooled on ühe ja sama arvu astmed. >0 Lahenda võrrand. Kontrolli lahendit algvõrrandiga!
2) Teguriteks lahutamise ehk tegurdamise võte Lahendid puuduvad
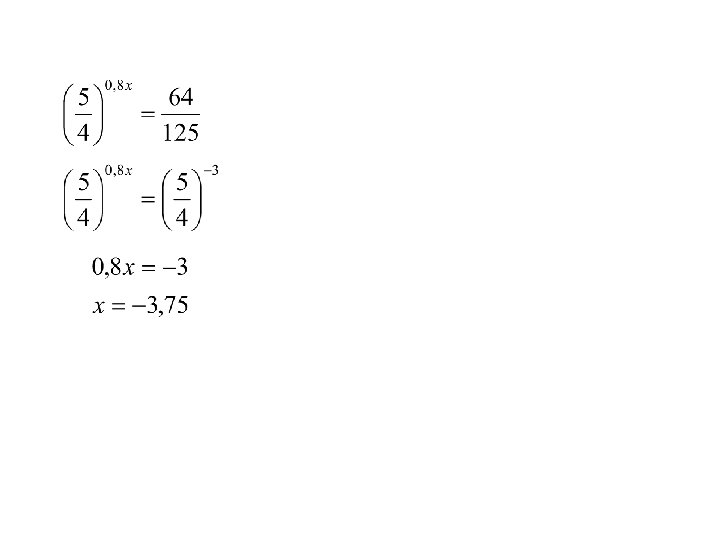
3) Logaritmimisvõte. Seda võtet kasutatakse siis, kui tegemist on eksponentvõrrandiga >0, b >0
4) Eksponentvõrrandi taandamine ruutvõrrandiks, kasutades abimuutujat. Lahendid puuduvad.
5) Eksponentfunktsiooni omaduste kasutamine. Kasvav funktsioon Kahanev funktsioon graafikud saavad lõikuda ainult ühes punktis
Logaritmvõrrandiks nimetatakse võrrandit, kus tundmatu esineb logaritmitavas või logaritmi aluses.
1) Võrrandid, mis lahenduvad vahetult logaritmi definitsiooni järgi.
Määramispiirkond on >0 >0 >1 <1 Võrrandil lahendid puuduvad
2) Võrrandite lahendamine logaritmi omadusi kasutades. või
Kontroll. Lahendid.
3) Võrrandi teisendamine ruutvõrrandiks. Kontroll. Lahendid.
4) Üleminek ühelt logaritmi aluselt teisele. Kontroll. Lahendid.
Eksponent- ja logaritmvõrratused Eksponentvõrratuse on kaks võimalust. < lahendamisel 1) Kui a>1, siis võrratuse lahendamiseks tuleb lahendada võrratus f(x) < g(x). 2) Kui 0<a<1, siis võrratuse lahendamiseks tuleb lahendada võrratus f(x) > g(x).
Võrratuse märk jääb samapidiseks, Kuna astme alus on 1 -st suurem Võrratuse märk muutub vastupidiseks, Kuna astme alus on 1 -st väiksem
Logaritmvõrratuse < lahendamisel on kaks võimalust. 1) Kui a>1, siis võrratuse lahendamiseks tuleb lahendada võrratused 0 < f(x) < g(x). 2) Kui 0<a<1, siis võrratuse lahendamiseks tuleb lahendada võrratused 0 < g(x) < f(x).
> > Määramispiirkond logaritmitav peab olema positiivne Võrratuse märk jääb samapidiseks, Kuna alus on 1 -st suurem > > x -3 0 3 Ühisosa puudub, st võrratusel lahendid puuduvad. Ø
> > Määramispiirkond logaritmitav peab olema positiivne Võrratuse märk muutub vastupidiseks, Kuna alus on 1 -st väiksem < > x 0 Lahendihulk: 0, 6 3
Peab vaatama kahte võimalust: kui alus x-2 on 1 -st suurem ja kui alus on 1 -st väiksem > > > Võrratuse märk jääb samapidiseks, Kuna alus on 1 -st suurem Määramispiirkond logaritmitav peab olema positiivne > x 2 > > Lahend 3 3, 5 5
< < > Määramispiirkond: logaritmitav peab olema positiivne ja alus ühest väiksem! Võrratuse märk muutub vastupidiseks, kui alus on 1 -st väiksem < x 2 3 3, 5 5 > Ühisosa puudub, st lahendid puuduvad. > Seega jääb lahendiks