Funktsiooni piirvrtus Heldena Taperson www welovemath ee Funktsiooni

  • Slides: 16
Download presentation
Funktsiooni piirväärtus Heldena Taperson www. welovemath. ee

Funktsiooni piirväärtus Heldena Taperson www. welovemath. ee

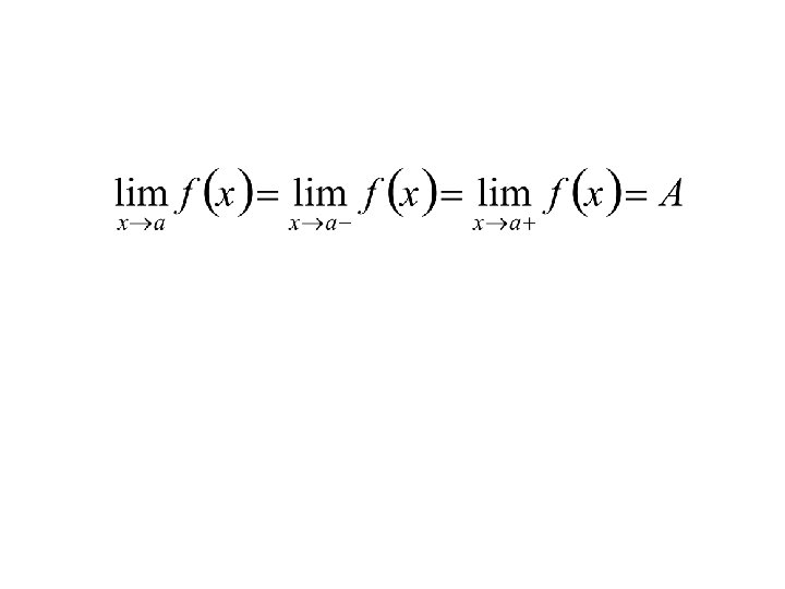
Funktsiooni f(x) piirväärtuseks kohal a on arv A st kui argumendi x väärtused lähenevad

Funktsiooni f(x) piirväärtuseks kohal a on arv A st kui argumendi x väärtused lähenevad kohale a, siis funktsiooni väärtused lähenevad arvule A kuitahes lähedale.

Piirväärtuse mõiste John Wallis 1655. a. Born November 23, 1616 Died October 28, 1703

Piirväärtuse mõiste John Wallis 1655. a. Born November 23, 1616 Died October 28, 1703 Residence England Nationality English Fields Mathematics Institutions Queens' College, Cambridge University of Oxford Alma mater Emmanuel College, Cambridge Known for Wallis product Inventing the symbol

Piirväärtuse teooria Born 21 August 1789 Paris, France Augustin-Louis Cauchy Died 23 May 1857

Piirväärtuse teooria Born 21 August 1789 Paris, France Augustin-Louis Cauchy Died 23 May 1857 (aged 67) Sceaux, France Nationality French Fields Mathematics Institutions Ecole Centrale du Pantheon Ecole Nationale des Ponts et Chaussees Ecole Polytechnique Alma mater Ecole Nationale des Ponts et Chaussees Known for Cauchy integral theorem Cauchy-Schwarz inequality

Piirväärtuse teooria kaasaegne kuju Karl Weierstrass Born October 31, 1815 Kingdom of Prussia Died

Piirväärtuse teooria kaasaegne kuju Karl Weierstrass Born October 31, 1815 Kingdom of Prussia Died February 19, 1897 (aged 81) Berlin, German Empire Residence Germany Nationality German Fields Mathematics Institutions Gewerbeinstitut Alma mater University of Bonn Münster Academy Known for Weierstrass function

Ühepoolsed piirväärtused

Ühepoolsed piirväärtused

Lõpmatu piirväärtus

Lõpmatu piirväärtus

Piirväärtus lõpmatuse kohal Funktsiooni piirväärtus kohal lõpmatus on A , kui x väärtuse lõpmatul

Piirväärtus lõpmatuse kohal Funktsiooni piirväärtus kohal lõpmatus on A , kui x väärtuse lõpmatul kasvamisel f(x) väärtused lähenevad arvule A.

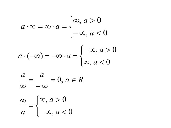
Pea meeles! • Määramatus on juhul, kui

Pea meeles! • Määramatus on juhul, kui

JADA PIIRVÄÄRTUS Et jada võib vaadelda kui funktsiooni, mille määramispiirkonnaks on naturaalarvude hulk, siis

JADA PIIRVÄÄRTUS Et jada võib vaadelda kui funktsiooni, mille määramispiirkonnaks on naturaalarvude hulk, siis jada piirväärtus on funktsiooni piirväärtuse, kus x läheneb lõpmatusele erijuhtum.

 Jada, millel on lõplik piirväärtus, nimetatakse koonduvaks jadaks ja jada, millel ei ole

Jada, millel on lõplik piirväärtus, nimetatakse koonduvaks jadaks ja jada, millel ei ole lõplikku piirväärtust, nimetatakse hajuvaks jadaks. Jada piirväärtuse arvutamisel kasutatakse samu arvutusreegleid, mis lõpmatu piirväärtuse korral.