Integraal Heldena Taperson www welovemath ee muudu jagatise

  • Slides: 33
Download presentation
Integraal Heldena Taperson www. welovemath. ee

Integraal Heldena Taperson www. welovemath. ee

muudu jagatise funktsiooni diferentserimiseks

muudu jagatise funktsiooni diferentserimiseks

0 1 korrutisega

0 1 korrutisega

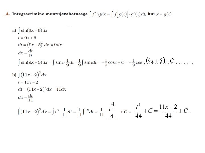
Tuletise leidmise pöördoperatsiooniks on algfunktsiooni leidmine. funktsioon tuletis

Tuletise leidmise pöördoperatsiooniks on algfunktsiooni leidmine. funktsioon tuletis

1. Funktsiooni nimetatakse funktsiooni Piirkonnas X, kui selles piirkonnas. 2. Funktsiooni a) b) c)

1. Funktsiooni nimetatakse funktsiooni Piirkonnas X, kui selles piirkonnas. 2. Funktsiooni a) b) c) algfunktsiooniks. . . . . algfunktsiooniks on näiteks. . . . algfunktsiooniks on näiteks. . . . 3. Funktsiooni algfunktsiooni leidmist nimetatakse integreerimiseks ja see on pöördtehe tuletise leidmise. . .

Gümnaasiumi kitsas matemaatika, Avita

Gümnaasiumi kitsas matemaatika, Avita

konstant Integreerimine on algfunktsioonide üldavaldise ehk määramata integraali leidmine.

konstant Integreerimine on algfunktsioonide üldavaldise ehk määramata integraali leidmine.

C x 2 x+C n+1 x cos x sin x

C x 2 x+C n+1 x cos x sin x

summaga märgi ette

summaga märgi ette

x x=a x=b

x x=a x=b

Gümnaasiumi kitsas matemaatika, Avita

Gümnaasiumi kitsas matemaatika, Avita

Gümnaasiumi kitsas matemaatika, Avita

Gümnaasiumi kitsas matemaatika, Avita

Kui kõvertrapetsi kõverhaar on määratud võrrandiga y=f(x) ja selle kõvertrapetsi pindala on S(x), siis

Kui kõvertrapetsi kõverhaar on määratud võrrandiga y=f(x) ja selle kõvertrapetsi pindala on S(x), siis Gümnaasiumi kitsas matemaatika, Avita

määratud integraaliks ülemiseks rajaks a-st b-ni alumiseks rajaks

määratud integraaliks ülemiseks rajaks a-st b-ni alumiseks rajaks

algfunktsioon ülemise alumise

algfunktsioon ülemise alumise

21

21

9 1 Matemaatika lisamaterjal 12. kl, Avita

9 1 Matemaatika lisamaterjal 12. kl, Avita

summaga märgi ette

summaga märgi ette

integraali märk vastupidiseks

integraali märk vastupidiseks

x=a x=b ristlõike ruumalade

x=a x=b ristlõike ruumalade

0 6 6 6 0 0 6 0

0 6 6 6 0 0 6 0

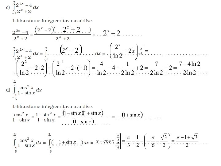
b)

b)

c)

c)

Integraali seos füüsikaga Kui keha liigub mööda sirget kohast a kohani b muutuva jõu

Integraali seos füüsikaga Kui keha liigub mööda sirget kohast a kohani b muutuva jõu P mõjul, mis mõjub piki sirget ja sõltub läbitud tee pikkusest s, st P=f(s), kui a ˂b, siis avaldub tehtud töö

Näide. Venimata olekus vedru on 20 cm pikk. Jõud suurusega 100 N suudab hoida

Näide. Venimata olekus vedru on 20 cm pikk. Jõud suurusega 100 N suudab hoida selle vedru 5 cm pikemana. Kui palju tööd minimaalselt on vaja teha, et venitada vedru pikkuselt 25 cm pikkuseni 35 cm? Hooke’i seaduse põhjal venitusjõud P on vedru tasakaaluasendis võrdeline vedru algpikkuse muuduga st P=ks. Et 100 N suurune jõud hoiab vedru 5 cm = 0, 05 m pikemana 100=k· 0, 05, st k=2000 ja P=2000 s. Meid huvitab töö pärast seda, kui vedru on juba venitatud 0, 05 m võrra ja seda jätkatakse Kuni vedru on pikenenud 15 cm = 0, 15 m võrra. O. Prinits Matemaatika 11. klassile, Valgus 1988

Harjutusülesanne 5, lk. 77. Vastus. Kaarhalli otsa pindala on ligikaudu 0, 2 m².

Harjutusülesanne 5, lk. 77. Vastus. Kaarhalli otsa pindala on ligikaudu 0, 2 m².