EE 16 46816 568 Lecture 1 Class overview













































































































- Slides: 109
EE 16. 468/16. 568 Lecture 1 Class overview: 1. Brief review of physical optics, wave propagation, interference, diffraction, and polarization 2. Introduction to Integrated optics and integrated electrical circuits 3. Guide-wave optics: 2 D and 3 D optical waveguide, optical fiber, mode dispersion, group velocity and group velocity dispersion. 4. Mode-coupling theory, Mach-zehnder interferometer, Directional coupler, taps and WDM coupler. 5. Electro-optics, index tensor, electro-optic effect in crystal, electrooptic coefficient 6. Electro-optical modulators 7. Passive and active optical waveguide devices, Fiber Optical amplifiers and semiconductor optical amplifiers, Photonic switches and all optical switches 8. Opto-electronic integrated circuits (OEIC)
EE 16. 468/16. 568 Lecture 1 Complex numbers or C: amplitude b : angle C a Real numbers do not have phases Complex numbers have phases is the phase of the complex number
EE 16. 468/16. 568 Lecture 1 Physical meaning of multiplication of two complex numbers Number: times Phase: Phase delay Why 90 i 180 0 -1 1 -i 270
EE 16. 468/16. 568 Lecture 1 90 180 0 -1 1 270 Optical wave, frequency domain Initial phase Phase delay by position Amplitude, I=|A|2, Optical intensity Vertical polarization, k polarization, transwave k, x k vector, to x-direction Horizontal polarization
EE 16. 468/16. 568 Lecture 1 Optical wave propagation in air (free-space) k, Time and frequency domain of optical signal Phase delay
EE 16. 468/16. 568 Lecture 1 Optical wave propagation in air (free-space) k ∆x Wave front Phase is the same on the plane --- plane wave Phase distortion in atmosphere k ∆x Wave front distortion Additional phase delay, non ideal plane wave
EE 16. 468/16. 568 Lecture 1 Optical wave to different directions Phase delay Refractive index n In vacuum, c: speed of light In media, like glass,
EE 16. 468/16. 568 Lecture 1 Optical wave to different directions Phase delay In media with refractive index n n Phase delay nx 1, nx 2, optical path
EE 16. 468/16. 568 Lecture 1 Interference of two optical waves a 2 a 1 A 50% b 1 Upper arm : a 3 Aout b 2 Lower arm : Aout = + Phase delay between the two arms: If phase delay is 2 m , then: If phase delay is 2 m + , then: = = -
EE 16. 468/16. 568 March-Zehnder interferometer n a 2 a 1 A b 1 n 2 b 2 Upper arm : a 3 50% b 3 Lecture 1 Aout Lower arm : Phase delay between the two arms: If phase delay is 2 m , then: If phase delay is 2 m + , then: Electro-optic effect, n 2 changes with E -field = = -
EE 16. 468/16. 568 Lecture 1 Electro-optic modulator based on March-Zehnder interferometer n a 2 a 1 A b 1 a 3 50% n 2 b 3 Aout Electro-optic effect, n 2 changes with E -field Phase delay between the two arms: If phase delay is 2 m , then: If phase delay is 2 m + , then: = = -
EE 16. 468/16. 568 Lecture 1 Reflection, refraction of light reflection 1 1 n 2 > n 1 n 2 2 < 1 2 Refraction reflection 1 1 n 2 n 2 < n 1 2 Refraction 2 > 1
EE 16. 468/16. 568 Lecture 1 Total internal reflection (TIR) reflection 1 1 n 2 n 2 < n 1 2 Refraction When 2 = 900, 1 is critical angle 2 > 1
EE 16. 468/16. 568 Lecture 1 Total internal reflection (TIR) 1 1 Total reflection When 2 = 900, 1 is critical angle n 1 n 2 2 = 900 No refraction Application – optical fiber n 1 Low loss, TIR n 2 Flexible n 1 Communication system Electrical signal Laser EO modulator Detector Optical fiber Electrical signal
EE 16. 468/16. 568 Lecture 1 Reflection percentage Intensity reflection = [(n 1 -n 2)/(n 1+n 2)]2 Example 1: n 1 Refractive index of glass n = 1. 5; n 2 Refractive index of air n = 1; The reflection from glass surface is 4%; Example 2: detector is usually made from Gallium Arsenide (Ga. As), n = 3. 5; Intensity reflection = [(n 1 -n 2)/(n 1+n 2)]2 n 1 N 2 = 3. 5 The reflection from Ga. As surface is 31%; Detector, Ga. As
EE 16. 468/16. 568 Lecture 1 Interference of two optical beams, applications 1, Mach-Zehnder interferometer n a 2 a 1 A b 1 a 3 50% n 2 b 3 Aout Electro-optic effect, n 2 changes with E -field
EE 16. 468/16. 568 Lecture 1 2, Michelson interferometer M 1 Beam splitter n 1 d 1 n 2 d 2 Phase difference: Measuring small moving or displacement Mirror 2 Detector If the detected light changes from bright to dark, Then the distance moved is half wavelength/2 Michelson interferometer measuring speed of light in ether, speed of light not depends on direction M 1 n 2 d 1 Mirror Beam splitter n 1 d 2 Detector Phase difference:
EE 16. 468/16. 568 Lecture 1 3, Measuring surface flatness Accuracy: 0. 1 wavelength = 0. 1*500 nm = 50 nm n 2 4, Measuring refractive index of liquid or gas Gas in
EE 16. 468/16. 568 Wave optics Maxwell equations: Dielectric materials Maxwell equations in dielectric materials: phasor Lecture 1
EE 16. 468/16. 568 Wave optics approach Helmholtz Equation: Free-space solutions k ∆x Wave front Phase is the same on the plane --- plane wave Lecture 1
EE 16. 468/16. 568 Wave optics Lecture 1 Helmholtz Equation: 2 -D Optical waveguide x z y n 2 < n 1 Cladding, n 2 d Core, refractive index n 1 Cladding, n 2 TE mode: TM mode:
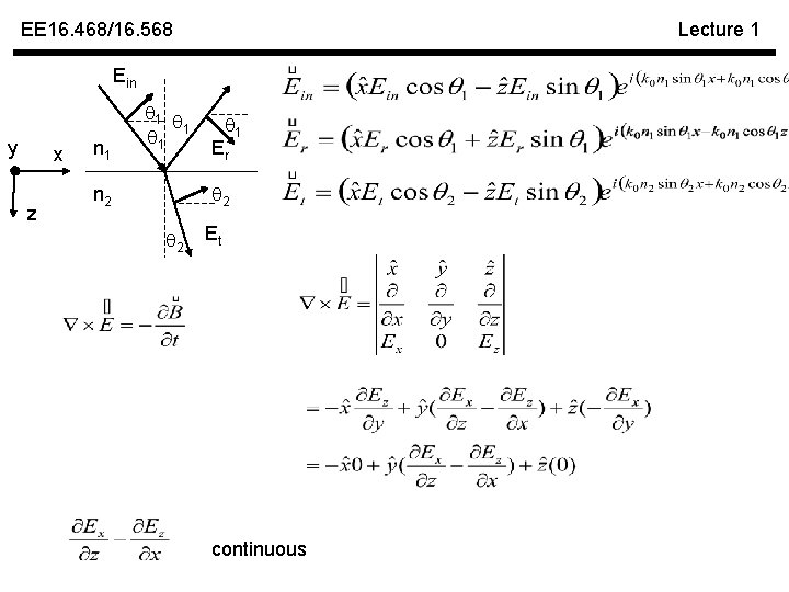
EE 16. 468/16. 568 Normal reflection at material interface Helmholtz Equation: Er Ein n 1 x n 2 z Et Lecture 1
EE 16. 468/16. 568 Normal reflection at material interface Helmholtz Equation: Er Ein n 1 x n 2 z Et Continuous @ z=0 Why? Continuous @ z=0 Lecture 1
EE 16. 468/16. 568 Normal reflection at material interface Lecture 1 Helmholtz Equation: Er x Ein n 1 n 2 Z = 0
EE 16. 468/16. 568 Normal reflection at material interface Helmholtz Equation: Er x Ein n 1 n 2 Lecture 1
EE 16. 468/16. 568 Lecture 1 Reflection, refraction of light Ein 1 1 y x z n 1 Er n 2 2 Et
EE 16. 468/16. 568 Lecture 1 Reflection, refraction of light Ein 1 1 y x z n 1 Er n 2 2 Et Continuous @ z=0 Why? Continuous @ z=0
EE 16. 468/16. 568 Lecture 1 Reflection, refraction of light Ein 1 1 y x z n 1 Er n 2 2 Et Continuous @ z=0
EE 16. 468/16. 568 Lecture 1 Reflection, refraction of light Ein 1 1 y x z n 1 Er n 2 2 Et Continuous @ z=0
EE 16. 468/16. 568 Lecture 1 Reflection, refraction of light Ein 1 1 y x z n 1 Er n 2 2 Et r t 1 1
EE 16. 468/16. 568 Lecture 1 Ein y x z n 1 1 1 Er 2 n 2 2 Et
EE 16. 468/16. 568 Lecture 1 Ein y x z n 1 1 1 Er 2 n 2 2 Et continuous
EE 16. 468/16. 568 Lecture 1 Ein y x z n 1 1 1 1 2 n 2 2 = 1 Er Et continuous
EE 16. 468/16. 568 Lecture 1 Ein y x z n 1 1 1 Er 2 n 2 2 Et
EE 16. 468/16. 568 Lecture 1 Ein y x z n 1 1 1 Er 2 n 2 2 Et
EE 16. 468/16. 568 Lecture 1 Ein y x z n 1 1 1 Er 2 n 2 2 Et Ein Brewster’s angle n 1 1 1 1 Er n 2 2 Et http: //buphy. bu. edu/~duffy/semester 2/c 27_brewster. html
EE 16. 468/16. 568 Lecture 1 Ein y x z n 1 1 1 Er 2 n 2 2 Et
EE 16. 468/16. 568 Normal reflection at material interface Lecture 1 Helmholtz Equation: Er Ein n 1 x n 2 Er n 1 Ein n 1 x n 2 rt r 3 t r 5 t n 2 t t r r t t t r 2 t r 4 t
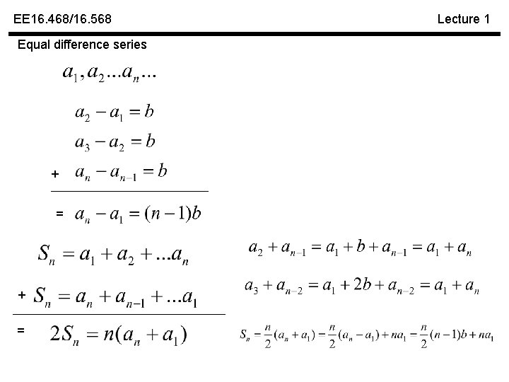
EE 16. 468/16. 568 Equal difference series + = Lecture 1
EE 16. 468/16. 568 Power series … x = Lecture 1
EE 16. 468/16. 568 Lecture 1 Power series When |b|<1 b can be anything, number, variable, complex number or function Optical cavity, multiple reflections n 1 rt r 3 t r 5 t n 2 t t r r t t t r 2 t r 4 t
EE 16. 468/16. 568 Lecture 1 Optical cavity, wavelength dependence, resonant n 1 A 0=1 t n 2 t r r r t t L R, intensity reflection
EE 16. 468/16. 568 Lecture 1 Optical cavity, wavelength dependence, resonant R, intensity reflection Intensity Example: n 2 = 1. 5, R=0. 04, L = 0. 05 mm, =0. 55µm Wavelength (um)
EE 16. 468/16. 568 Lecture 1 Optical cavity, wavelength dependence, resonant Resonant condition Destructively Interference Constructively Interference Resonant condition, m = 1, 2, 3, … m=1, half- cavity m=2, cavity
EE 16. 468/16. 568 Optical cavity, Free-spectral range (FSR) Resonant condition, m = 1, 2, 3, … - Example: n 2 = 1. 5, R=0. 04, L = 1 mm, =0. 55µm Lecture 1
EE 16. 468/16. 568 Lecture 1 Optical cavity, Free-spectral range (FSR) L increase, FSR decrease, FSR not dependent on R Example: n 2 = 1. 5, R=0. 04, L = 0. 05 mm, =0. 55µm L = 0. 5 mm FSR
EE 16. 468/16. 568 Lecture 1 Optical cavity, Reflection A 0=1 n 1 n 2 r r r L = 3+2*pi*5; % um lamda = 1. 555: 0. 00001: 1. 59; % n 2 = [2 2. 2]; n 2 = n 2'; T = 0. 05; R = 0. 95; for m = 1: 2 k(: , m) = 2*pi. /lamda; I(: , m) = abs(T. /(1 -R*exp(i*2*k(: , m)*n 2(m)*L))); I(: , m) = I(: , m). ^2; IR(: , m) = R*abs((1 -exp(i*2*k(: , m)*n 2(m)*L)). /(1 -R*exp(i*2*k(: , m)*n 2(m)*L end plot(lamda, I(: , 1), 'b'); hold on; plot(lamda, I(: , 2), '-. '); plot(lamda, IR(: , 1)); plot(lamda, IR(: , 2), '--'); hold off
EE 16. 468/16. 568 Lecture 1 Transmission and reflection relationship A 0=1 n 1 n 2 r r r L T = 0. 25 R = 0. 75
EE 16. 468/16. 568 Lecture 1 Loss, and photon lifetime of an resonant cavity Intensity left after two mirror reflection: r 1 r 2
EE 16. 468/16. 568 Lecture 1 Quality factor Q of an resonant cavity Intensity left after two mirror reflection: r 1 r 2 Time domain Frequency domain
EE 16. 468/16. 568 Transmission matrix analysis of resonant cavity L n 1 A 2 n 2 B 1 B 2 At this interface Lecture 1
EE 16. 468/16. 568 Transmission matrix analysis of resonant cavity L n 1 A 2 n 2 B 1 B 2 In Matrix form: Lecture 1
EE 16. 468/16. 568 Transmission matrix analysis of resonant cavity L n 1 A 2 A 3 n 2 B 1 B 2 B 3 In Matrix form: Lecture 1
EE 16. 468/16. 568 Transmission matrix analysis of resonant cavity L n 1 A 2 n 2 B 1 B 2 In Matrix form: A 3 A 4 B 3 B 4 Lecture 1
EE 16. 468/16. 568 Transmission matrix analysis of resonant cavity L n 1 A 2 n 2 B 1 B 2 In Matrix form: A 3 A 4 B 3 B 4 Lecture 1
EE 16. 468/16. 568 Transmission matrix analysis of resonant cavity L n 1 A 2 n 2 B 1 B 2 In Matrix form: A 3 A 4 B 3 B 4 Lecture 1
EE 16. 468/16. 568 E-field profile inside the resonant cavity L n 1 A 2 n 2 B 1 B 2 A 3 A 4 B 3 B 4 Lecture 1
EE 16. 468/16. 568 E-field profile inside the resonant cavity L n 1 A 2 n 2 B 1 B 2 A 3 A 4 B 3 B 4 Lecture 1
EE 16. 468/16. 568 E-field profile inside the resonant cavity L n 1 A 2 n 2 B 1 B 2 Lecture 1 d A 3 A 4 B 3 B 4 n 1 L A 5 A 6 n 2 B 5 B 6 A 7 A 8 B 7 B 8
EE 16. 468/16. 568 lamda = 0. 55: 0. 00001: 0. 7; %wavelength in um L = 5; % cavity length in um n 1 = 1. 0; n 2 = 1. 5; r 12 = (n 1 -n 2)/(n 1+n 2); t 12 = (2*n 1)/(n 1+n 2); r 21 = (n 2 -n 1)/(n 1+n 2); t 21 = (2*n 2)/(n 1+n 2); M 1(1, 1) = 1; M 1(1, 2) = -r 21; M 1(2, 1) = r 12; M 1(2, 2) = t 12*t 21 -r 12*r 21; M 1 = M 1. /t 12; M 2(1, 1) = 1; M 2(1, 2) = -r 12; M 2(2, 1) = r 21; M 2(2, 2) = t 12*t 21 -r 12*r 21; M 2 = M 2. /t 21; k = 2*pi. /lamda; for m = 1: length(lamda) tm(1, 1) = exp(-i*n 2*k(m)*L); tm(1, 2) = 0; tm(2, 1) = 0; tm(2, 2) = exp(i*n 2*k(m)*L); M = M 1*tm*M 2; %M = r; tt(m) = 1. /(M(1, 1)); rr(m) = (M(2, 1)). /(M(1, 1)); t 2(m) = t 12*t 21. /(1 -r 21*exp(2*i*n 2. *k(m)*L)); end T = abs(tt). ^2; T 2 = abs(t 2). ^2; R = abs(rr). ^2; plot(lamda, T); hold on; plot(lamda, T 2, 'r--'); hold off; figure(2) plot(lamda, T 2, 'r--'); Project 1. m m = 10; a 1 = 1; b 1 = rr(m); A 1=[a 1; b 1]; A 2 = inv(M 1)*A 1; a 2 = A 2(1); b 2 = A 2(2); tm(1, 1) = exp(-i*n 2*k(m)*L); tm(1, 2) = 0; tm(2, 1) = 0; tm(2, 2) = exp(i*n 2*k(m)*L); A 3 = inv(M 1*tm*M 2)*A 1; a 3 = A 3(1); b 3 = A 3(2); z 1 = -2: 0. 001: 0; %um E 1 = a 1. *exp(i*k(m)*n 1. *z 1)+b 1. *exp(-i*k(m)*n 1. *z 1); I 1 = abs(E 1). ^2; figure(3) plot(z 1, E 1); hold on; z 2 = 0: 0. 001: 5; %um E 2 = a 2. *exp(i*k(m)*n 2. *z 2)+b 2. *exp(-i*k(m)*n 2. *z 2); I 2 = abs(E 2). ^2; plot(z 2, E 2, 'r'); z 3 = 5: 0. 001: 7; %um E 3 = a 3. *exp(i*k(m)*n 1. *(z 3 -5))+b 3. *exp(-i*k(m)*n 1. *(z 3 -5)); I 3 = abs(E 3). ^2; plot(z 3, E 3); hold off; zoom on; Lecture 1
EE 16. 468/16. 568 Lecture 1
EE 16. 468/16. 568 Lecture 1
EE 16. 468/16. 568 Lecture 1
EE 16. 468/16. 568 Bragg gratings /4 n 1 n 2 d 1 d 2 Lecture 1
EE 16. 468/16. 568 clear; clf; Lc = 0. 6; % designed wavelength lamda = 0. 3: 0. 00001: 0. 9; %wavelength in um n 1 = 1. 0; n 2 = 1. 5; L 1 = Lc/4/n 1; % um L 2 = Lc/4/n 2; % um r 12 = (n 1 -n 2)/(n 1+n 2); t 12 = (2*n 1)/(n 1+n 2); r 21 = (n 2 -n 1)/(n 1+n 2); t 21 = (2*n 2)/(n 1+n 2); M 1(1, 1) = 1; M 1(1, 2) = -r 21; M 1(2, 1) = r 12; M 1(2, 2) = t 12*t 21 -r 12*r 21; M 1 = M 1. /t 12; M 2(1, 1) = 1; M 2(1, 2) = -r 12; M 2(2, 1) = r 21; M 2(2, 2) = t 12*t 21 -r 12*r 21; M 2 = M 2. /t 21; k = 2*pi. /lamda; for m = 1: length(lamda) tm 2(1, 1) = exp(-i*n 2*k(m)*L 2); tm 2(1, 2) = 0; tm 2(2, 1) = 0; tm 2(2, 2) = exp(i*n 2*k(m)*L 2); tm 1(1, 1) = exp(-i*n 1*k(m)*L 1); tm 1(1, 2) = 0; tm 1(2, 1) = 0; tm 1(2, 2) = exp(i*n 1*k(m)*L 1); M = (M 1*tm 2*M 2*tm 1)^3*M 1*tm 2*M 2; %M = r; tt(m) = 1. /(M(1, 1)); rr(m) = (M(2, 1)). /(M(1, 1)); end T = abs(tt). ^2; R = abs(rr). ^2; Project 2. m Lecture 1
EE 16. 468/16. 568 Lecture 1 Ring cavity, Ring resonator 5%, t 2 95%, r 2 R 0 L = 2 R 0
EE 16. 468/16. 568 Ring cavity, Ring resonator filter Lecture 1 L = 2 R 0 Loss less waveguide
EE 16. 468/16. 568 Lecture 1 Lens and optical path Focal length Focal plane Same optical path f f lens focus
EE 16. 468/16. 568 Lecture 1 Lens and optical path Focal length f Focal plane Same optical path f f focus lens Same optical path f f lens focus
EE 16. 468/16. 568 Lens and optical path Lecture 1 Focal length f Focal plane Same optical path
EE 16. 468/16. 568 Lecture 1 Interference of multiple Waves, gratings Near field pattern x 1 x 2 Screen
EE 16. 468/16. 568 Lecture 1 Diffraction of Waves Far field pattern When ∆ = 2 m , bright When ∆ = 2 m + , dark 2 m = (2 / ) d*sin( ) x 1 d m = d*sin( ) ∆L m = d* ∆L /f ∆L = f*sin( ) x 2 ∆L= m *f/d, bright spots f ∆x Focal plane ∆x = d*sin( ) ∆ = k*∆x =(2 / ) d*sin( ) Screen
EE 16. 468/16. 568 Lecture 1 Multiple slots, grating d d Far field pattern When ∆ = 2 m , bright Focal plane When ∆ = 2 m + , dark 2 m = (2 / ) d*sin( ) ∆x 1 m = d*sin( ) ∆x 2 ∆L tan( ) = ∆L /f ~ tan( ) ~ sin( ), when is small ∆L = f*sin( ) f m = d* ∆L /f ∆L= m *f/d, bright spots Bright spot still at small position ∆xm = md*sin( ) ∆ m = k*∆xm =(2 / ) md*sin( ) Screen
EE 16. 468/16. 568 Lecture 1 Multiple slots, grating d d Focal plane ∆x 1 ∆x 2 ∆ L ∆L = f*sin( ) f ∆xm = md*sin( ) Screen ∆ m = k*∆xm =(2 / ) md*sin( )
EE 16. 468/16. 568 Lecture 1
EE 16. 468/16. 568 Lecture 1 Optical wave, photon Photon energy: is the frequency of the photon, momentum of the photon, For photon:
EE 16. 468/16. 568 Lecture 1 More on grating, Grating period, Phase matching condition k vector, k = (2 / ), along the beam propagation direction d d d is called grating period, often use symbol: , Grating vector = 2 / , ∆x 1 Phase-matching condition ∆x 2 kgrating = 2 / 2 = t / k ou ∆xm = md*sin( ) ∆ m = k*∆xm =(2 / ) md*sin( ) kout *sin( ) = kgrating = 2 / d*sin( ) =
EE 16. 468/16. 568 Lecture 1 Distributed feedback grating (DFB grating) Effective reflection kin k k kout = kin – k Phase-matching condition 2 nout / out = 2 nin / in – 2 / kout = kin – k = - kin Phase-matching condition 2 / = 2*2 / = /2
EE 16. 468/16. 568 Diffraction: Multiple beam interference Lecture 1
EE 16. 468/16. 568 Diffraction: Lecture 1
EE 16. 468/16. 568 Single slot diffraction: Lecture 1
EE 16. 468/16. 568 Lecture 1 Single slot diffraction: When bright dark
EE 16. 468/16. 568 Lecture 1 Single slot diffraction: When bright dark
EE 16. 468/16. 568 Lecture 1 Angular width : first dark: Half angular width
EE 16. 468/16. 568 Lecture 1 Diffraction of a lens d Focus size
EE 16. 468/16. 568 Lecture 1 Resolution of optical instrument d Focus size ∆ ’ d = 16 mm. eye
EE 16. 468/16. 568 Polarization of light: Linear polarization Lecture 1
EE 16. 468/16. 568 Lecture 1 Polarization of light: linear polarization Any linear polarization can be decomposed into two primary polarization with the same phase Why decompose into two primary polarization directions? In crystal, the refractive index is different along different polarizations no z x z y no x ne Refractive index ellipsoid y ne
EE 16. 468/16. 568 Polarization of light: circular polarization Lag /2 Lecture 1
EE 16. 468/16. 568 Polarization of light: circular polarization Clockwise Lecture 1
EE 16. 468/16. 568 Polarization of light: circular polarization Count-clockwise elliptical polarization Lecture 1
EE 16. 468/16. 568 Lecture 1 Delays along different directions: z d y x no d no no z x y ne ne Refractive index ellipsoid no lag Phase difference: ne ne when Right (clockwise) circular polarization Quarter-wavelength /4 plate
EE 16. 468/16. 568 Lecture 1 Right (clockwise) circular polarization /4 plate 45º d no no lag Phase difference: ne ne when Change the direction of the polarization half-wavelength /2 plate
EE 16. 468/16. 568 Lecture 1 Change the direction of the polarization by 2 /2 plate EO modulator polarizer analyzer dark no no Bright ne
EE 16. 468/16. 568 Lecture 1 EO modulator dark polarizer analyzer no ne Bright
EE 16. 468/16. 568 Circular polarizations and linear polarizations Lecture 1
EE 16. 468/16. 568 Lecture 1 Circular polarizations and linear polarizations + Linear polarization
EE 16. 468/16. 568 Lecture 1 Circular polarizations and linear polarizations + Linear polarization
EE 16. 468/16. 568 Lecture 1 Faraday rotation Apply B field generate delay for left or right polarization
EE 16. 468/16. 568 Jones Matrix Lecture 1
EE 16. 468/16. 568 Jones Matrix Lecture 1
EE 16. 468/16. 568 Jones Matrix Lecture 1 Linear +
EE 16. 468/16. 568 Jones Matrix /4 plate /2 phase delay Lecture 1
EE 16. 468/16. 568 y’ y Jones Matrix x’ x Lecture 1
EE 16. 468/16. 568 y’ y Jones Matrix x’ x Lecture 1
EE 16. 468/16. 568 Jones Matrix Lecture 1
EE 16. 468/16. 568 Jones Matrix Lecture 1
EE 16. 468/16. 568 Jones Matrix Lecture 1 Linear +
EE 16. 468/16. 568 Lecture 1 Faraday rotation Apply B field generate delay for left or right polarization