Mecnica Fundamental Conceitos Fundamentais espao tempo sistema de







![Definições Formais e Regras [Ax, Ay, Az] = [Bx, By, Bz] Ax = Bx Definições Formais e Regras [Ax, Ay, Az] = [Bx, By, Bz] Ax = Bx](https://slidetodoc.com/presentation_image/92ceb7187715ae9c0d7f7ad940b37596/image-8.jpg)
![Adição = [soma 1º, soma 2º, soma 3º] Adição = [soma 1º, soma 2º, soma 3º]](https://slidetodoc.com/presentation_image/92ceb7187715ae9c0d7f7ad940b37596/image-9.jpg)





![A Lei Distributiva = c[Ax + Bx, Ay + By, Az + Bz] = A Lei Distributiva = c[Ax + Bx, Ay + By, Az + Bz] =](https://slidetodoc.com/presentation_image/92ceb7187715ae9c0d7f7ad940b37596/image-15.jpg)

![Vetores Unitários = [Ax, Ay, Az] = [Ax, 0, 0] + [0, Ay, 0] Vetores Unitários = [Ax, Ay, Az] = [Ax, 0, 0] + [0, Ay, 0]](https://slidetodoc.com/presentation_image/92ceb7187715ae9c0d7f7ad940b37596/image-17.jpg)














































- Slides: 63
Mecânica Fundamental
Conceitos Fundamentais • espaço. • tempo. § sistema de coordenadas. Øx, y, z. Ør, θ, φ. z θ r y φ x
Partícula ou ponto de massa • tem massa mas não extensão espacial.
Grandezas Físicas e Unidades A unidade padrão de comprimento é o metro. m A unidade padrão de massa é o quilograma. kg 0. 00 1. 00 A unidade padrão de tempo é o segundo. s
Grandezas Escalares e Vetoriais • Escalar. (densidade, volume e temperatura. ) • Vetores. (deslocamento espacial)
Vetores
Se A é o deslocamento de P 1(x 1, y 1, z 1) a P 2(x 2, y 2, z 2) então Ax = x 2 - x 1 Ay = y 2 - y 1 Az = z 2 - z 2
Definições Formais e Regras [Ax, Ay, Az] = [Bx, By, Bz] Ax = Bx Ay = By Az = Bz
Adição = [soma 1º, soma 2º, soma 3º]
Multiplicação por um Escalar
Subtração de Vetores
O Vetor Nulo
A Lei Comutativa da Adição Exemplo:
A Lei Associativa = [Ax + (Bx + Cx), Ay + (By + Cy), Az + (Bz + Cz)] = [(Ax + Bx) + Cx, (Ay + By) + Cy, (Az + Bz) + Cz ]
A Lei Distributiva = c[Ax + Bx, Ay + By, Az + Bz] = [c(Ax + Bx), c(Ay + By), c(Az + Bz)] = [c. Ax + c. Bx, c. Ay + c. By, c. Az + c. Bz]
Módulo de um Vetor
Vetores Unitários = [Ax, Ay, Az] = [Ax, 0, 0] + [0, Ay, 0] + [0, 0, Az] = Ax [1, 0, 0] + Ay [0, 1, 0] + Az [0, 0, 1]
Significado Geométrico das Operações Vetoriais Igualdade de Vetores y By Ay B A A=B Bx Ax O x
y C = A+B = B+A A By B Ay C A B Bx Ax O x
O negativo de um vetor. A -A
A A A 3 A
O Produto Escalar Assim: = Ax(Bx + Cx) + Ay(By + Cy) + Az (Bz + Cz) = A x B x + A y B y + A z. B z + A x C x + A y C y + A z. C z
Definição alternativa do produto escalar.
Exemplos do Produto Escalar Módulo: Ortonormalidade de uma base: Trabalho: F θ ΔS
Lei dos Cossenos
O Produto Vetorial i j k i j Ax Ay Az Ax Ay Bx By Bz Bx By
Pode-se mostrar que:
Pode-se mostrar que: i j k 1 0 0 0 1 0 i j k
Interpretação Geométrica do Produto Vetorial
Ortogonalidade do produto vetorial = A x C x + A y C y + A z. C z = Ax (Ay. Bz - Az. By) + Ay (Az. Bx - Ax. Bz) + Az (Ax. By - Ay. Bx) = A x A y B z - A z. B y A x + A y A z. B x - A x B z A y + A z. A x B y - A y B x A z =0
ngulo entre A e B
Torque ou Momento da Força O r F P θ
Cossenos diretores Ex: seja n unitario de A
Ex: encontrar o unitário perpendicular aos vetores
Produtos Triplos Comutando duas linhas Prove que:
Aula 2 Derivada de vetores Integral de vetores Transformações de sistemas de coordenadas Velocidade relativa Aceleração normal e tangencial
Derivada de um Vetor
Vetor Posição de uma Partícula y r O z ix jy x kz
O Vetor Velocidade P’ P’’ r+Δr P’’’ P (4) Δr P(5) O v r P
Vetor Aceleração
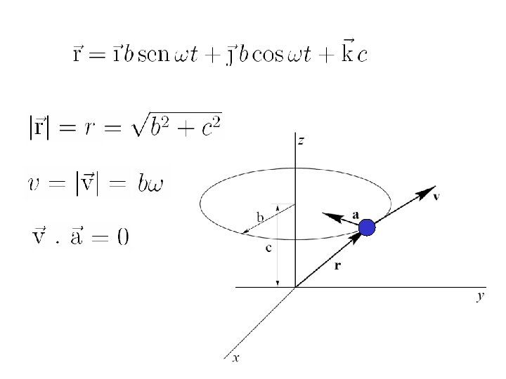
Exemplo:
Exemplo:
Integração Vetorial
Exemplo:
Velocidade Relativa v 2 v 1 r 12 r 1 O v 12
y P r C v 0 ϕ s s O P x
vrel v = 2 v 0 vvrel 0 v vrel v 0 v 0 v 0 vrel v =0 v v 0
y P v 0 b C vrel v 0 x O
y t=0 P v 0 C v vrel v 0 x O
Derivadas de Produtos de Vetores
Componentes Normal e Tangencial da Aceleração τ’ n’ C r Δφ P’ ΔS Δφ n τ τ P Δτ Δτ Δφ Δφ
Esta apresentação foi desenvolvida pelo Prof. Gustavo de Almeida Magalhães Sáfar e corrigida, conferida e ampliada pelo Prof. João Francisco C. Santos Jr. no Departamento de Física do Instituto de Ciências Exatas da Universidade Federal de Minas Gerais.