mag Tadeja Kraner umenjak STATISTIKA S SPSSom 1






































































- Slides: 70
mag. Tadeja Kraner Šumenjak STATISTIKA S SPSS-om 1. del VAJE
LITERATURA • J. Nemec: Statistika • K. Košmelj, D. Kastelec: Uporabna biostatistika, Načrtovanje in analiza poskusov, Delovno gradivo 2003/2004 za podiplomski študij, • http: //www. bf. uni-lj. si/statistika/studijsko_gradivo. htm. • S. Hadživuković: Statistički metodi s primenom u poljoprivrednim i biološkim istraživanjima, Hrvatsko agronomsko društvo, Novi Sad, 1991. • U. R. Palaniswamy, K. M. Palaniswamy, Handbook of statistics for teaching and research in plant and crop science, New York, Food Products Press, 2006. • Đ. Vasilj, Biometrika i eksperimentiranje u bilinogojstvu, Hrvatsko agronomsko društvo, Zagreb, 2000. • Kwanchai A. Gomez, Arturo A. Gomez, Statistical procedures for agricultural research, . . • Jože Rovan, Tomaž Turk, Analiza podatkov s SPSS za windows
Ponovitev • • • Osnovni pojmi Prikazovanje podatkov Frekvenčne porazdelitve Odvisnost med množičnimi pojavi Časovne vrste Vzorčenje
Osnovni pojmi v statistiki • Ohlapno lahko rečemo, da je statistika veda, ki kvantitativno proučuje množične pojave v naravi in družbi, se ukvarja z zbiranjem in razvrščanjem podatkov, pripravo statističnih eksperimentov, vzorčenjem, statističnim sklepanjem. • Statistiko delimo na opisno in analitično. Opisna statistika obsega področji zbiranja in razvrščanja podatkov npr. zdravstvena statistika (zdravstveno stanje prebivalstva), medtem ko analitična statistika obsega predvsem področji vzorčenja in statističnega sklepanja npr. biostatistika (analiza rezultatov raziskovalnega dela).
Osnovni pojmi v statistiki • V statistiki imamo opravka s končno ali neskončno množico G, ki jo imenujemo statistična populacija, na kateri opazujemo ali merimo neko merljivo količino X, ki jo imenujemo statistični znak. Statistično populacijo G sestavljajo statistične enote. Podmnožici H statistične populacije G rečemo vzorec. Vzorec je torej del populacije, ki je praviloma izbran za obravnavo določenih lastnosti te populacije.
Osnovni pojmi v statistiki • Statistični znak je torej vsaka merljiva lastnost, ki jo imajo enote statistične populacije. Vrednosti posameznih lastnosti se praviloma pri enotah razlikujejo, zato jim pravimo tudi statistične spremenljivke. Statistične spremenljivke se delijo na atributivne ali opisne, katerih vrednosti opisujemo z besedami, in numerične ali številske, katerih vrednosti so realna števila. Glede na lastnost merjenja, ki jo ima statistična spremenljivka, najdemo v literaturi tudi natančnejšo delitev spremenljivk na: 1. Nominalne ali imenske (spol, krvna skupina). 2. Ordinalne ali urejenostne (izobrazba, učni uspeh, sprememba zdravstvenega stanja živali). 3. Intervalne ali razmične (npr. temperatura v °C). 4. Razmernostne (npr. količina padavin).
Spremenljivke A B Atributivne (opisne, kategorične) Numerične (številske) Nominalne (npr. krvne skupine) Zvezne (npr. telesna višina) Ordinalne (“koliko”) Nezvezne (npr. število bolnišničnih dni) Dihotomne (dva možna izida, npr. živ-mrtev) Politomne (več možnih izidov)
PROGRAMSKI PAKETI • • SPSS EXCEL STATISTIX STATGRAPH. .
Vnašanje podatkov v SPSS • Odprite program SPSS. Pojavi se vam začetno okno. V njem kliknite Type in Data ter odkljukajte Don' t show this dialog in the future (tako se vam naslednjič to okno ne bo več odprlo in boste imeli dostop direktno do podatkov).
Ko ste zgornje okno zaprli, se vam prikaže naslednje okno. V njem vnašamo podatke ter delamo izračune (OKNO ZA VNOS PODATKOV)
OKNO ZA VNOS UKAZOV
VKLJUČITEV OKNA Z UKAZI OB ZAGONU PROGRAMA SPSS AKTIVIRAMO Z UKAZOM » Open syntax window at start-up «
AKTIVIRANJE IZPISA UKAZOV V OKNU Z REZULTATI AKTIVIRAMO Z UKAZOM » Display commands in log «
Še preden bomo začeli vnašati podatke v SPSS, bomo pripravili okolje za vnos podatkov. Kliknite na Variable View v levem spodnjem kotu okna. Prikaže se vam naslednje okno:
Vrstica prikazuje vse lastnosti posamezne spremenljivke: Ime spremenljivke (Name) Tip spremenljivke (Type) Število znakov (Width) Število decimalnih mest (Decimals) Daljši opis imena spremenljivke (Labels) Daljši opis vrednosti spremenljivke ( Values) Manjkajoče vrednosti (Missing) Širino stolpca (Columns) Poravnavo vrednosti v stolpcu (Align) Mersko lestvico (Measure)
V polje Name nikoli ne pišite besed s sičniki ali šumniki. Če ne določimo drugače, bo SPSS avtomatično prevzel tudi vrednosti nekaterih drugih lastnosti nove spremenljivke. Če ne predpišemo drugače, so vse nove spremenljivke tipa Numeric. String pomeni zapis podatkov z besedo (denimo ime bika). Več najdete v knjigi (Rovan, Turk).
DEL OKNA S PODATKI
OKNO Z REZULTATI
PRILAGAJANJE PODATKOV IN OBLIKOVANJE NOVIH SPREMENLJIVK Zakaj naj prilagodim podatke in oblikujem nove spremenljivke? Včasih potrebujemo novo spremenljivko, ki jo lahko izračunamo iz danih spremenljivk. V ta namen uporabimo funkcijo Compute. Včasih pa želimo delati analizo le na določenem delu podatkov. Takrat uporabimo funkcijo Select Cases. Pri analizi variance morajo biti vrednosti faktorja cela števila Večkrat se zgodi, da ima spremenljivka faktor (različne sorte) tip string. V tem primeru uporabimo funkcijo Recode.
V NEKATERIH PRIMERIH MORAMO IZ OBSTOJEČIH SPREMENLJIVK TVORITI NOVE SPREMENLJIVKE. TO STORIMO S POMOČJO UKAZA COMPUTE UKAZ COMPUTE SESTAVIMO S POMOČJO OKNA
COMPUTE • V POLJE Target Variable: VPIŠEMO IME NOVE SPREMENLJIVKE. • V POLJU Numeric Expression: PA ZAPIŠEMO NUMERIČNI IZRAZ, KI DOLOČA VREDNOST NOVE SPREMENLJIVKE. • V NUMERIČNEM IZRAZU LAHKO NASTOPAJO SPREMENLJIVKE ZAPISANE V POLJU S SPREMENLJIVKAMI NA LEVI STRANI. • UPORABLJATI SMEMO TUDI VSE SPREMENLJIVKE ZAPISANE V POLJU NA DESNI STRANI. • IZBRANE SPREMENLJIVKE IN FUNKCIJE PRENAŠAMO V POLJE Numeric Expression: S KLIKOM NA USTREZNI PUŠČICI
COMPUTE • V NEKATERIH PRIMERIH ŽELIMO IZRAČUNATI NOVE SPREMENLJIVKE LE ZA DEL POPULACIJE. V TAKIH PRIMERIH LAHKO S KLIKOM NA GUMB IF… PRIKLIČEMO OKNO ZA DOLOČITEV USTREZNEGA POGOJA:
COMPUTE • S VKLJUČITVIJO POLJA Include all cases DOLČIMO, DA VELJA IZRAČUN ZA VSE PRIMERE. • S VKLJUČITVIJO POLJA Include if case satisfies condition: PA DOLOČIMO, ZA KATERE PRIMERE BO RAČUNALNIK OPRAVIL USTREZEN IZRAČUN NOVIH SPREMENLJIVK. • POGOJ ZAPIŠEMO V SVETLEM POLJU NA LEVI ZGORNJI STRANI. • V POGOJU SMEJO NASTOPATI VSE ŽE OBSTOJEĆE SPREMENLJIVKER IN VSE FUNKCIJE IZ POLJA NA LEVI SPODNJI STRANI OKNA. • V ZGORNJEM PRIMERU SE BO IZRAČUN NOVE SPREMENLJIVKE OPRAVIL LE ZA PRIMERE ZA KATERE BO IZPOLNJEN POGOJ, DA JE • PRIDELEK MANJŠI ALI ENAK 500 ENOT.
KADAR ŽELIMO VREDNOSTI NEKE SPREMENLJIVKE TRANSFORMIRATI TAKO, DA ZAVZAMEJO ENAKE ALI DRUGAČNE VREDNOSTI, KOT SO OBSTOJEČE, OPRAVIMO TO Z UKAZOM RECODE UKAZ RECODE SESTAVIMO S POMOČJO OKNA ČE ŽELIMO, DA SPREMENLJIVKE NADOMESTIJO PRVOTNE SPREMENLJIVKE.
ČE ŽELIMO, DA SE VREDNOSTI ŽAPIŠEJO V NOVO SPREMENLJIVKO.
KAKAR ZAPISUJEMO SPREMENJENE VREDNOSTI V NOVO SPREMENLJIVKO, JO MORAMO NAJPREJ V DELU OKNA Z IMENOM Output Variable DEFINIRATI V POLJU Name: IME NOVE SPREMENLJIVKE. ZATEM PA S KLIKOM NA POLJE Old and New Values. . ODPREMO OKNO ZA DOLOČITEV VREDNOSTI NOVE SPREMENLJIVKE:
Z OKNOM, KI GA AKTIVIRAMO S KLIKOM NA POLJE If… PA DOLOČIMO POGOJE, KDAJ IZRAČUNAVAMO VREDNOSTI NOVE SPREMENLJIVKE.
POGOSTO ŽELIMO OBDELATI LE TISTI DEL POPULACIJE, KI USTREZA DOLOČENEMU POGOJU. TO STORIMO TAKO, DA S POMOČJO OKNA Select Cases
VČASIH ŽELIMO PODATKE RAZVRSTITI IN OBDELATI GLEDE NA VREDNOST DOLOČENE SPREMENLJIVKE. TO STORIMO S POMOČJO OKNA Split File.
Z AKTIVIRANJEM UKAZA Organize output by groups RAZDELIMO PODATKE GLEDE NA VREDNOST KONTROLNE SPREMENLJIVKE V GORNJEM PRIMERU JE KONTROLNA SPREMENLJIVKA ZA DELITEV POPULACIJE NA DELE sorta. RAČUNALNIK NAJPREJ SORTIRA PODATKE GLEDE NA VREDNOSTI V POLJU sorta. PRI VSAKEM UKAZU ZA STATISTIČNO OBDELAVA PA IZRAČUNA IN IZPIŠE REZULTATEZA VSAKO SORTO POSEBEJ. V KOLIKOR ŽELIMO PONOVNO OBDELOVATI VSE PODATKE, MORAMO V OKNU Split File AKTIVIRATI UKAZ Analyze all cases, do not create groups.
ILUSTRATIVNO PRIKAZOVANJE PODATKOV Statistične podatke uredimo s pomočjo tabel in grafičnih prikazov. Pri tem uporabljamo ranžirno vrsto, frekvenčno tabelo individualnih vrednosti, frekvenčno tabelo grupiranih vrednosti, kontingenčno tabelo, strukturne stolpce, strukturne kroge, histogram, poligon…
INDEKSI Verižni indeks Indeks s stalno osnovo Indekse s stalno osnovo prikazujemo z linijskim grafikonom, v katerega vrišemo vzporednico z abcisno osjo v višini 100. Verižne indekse prikazujemo s stolpci, ki so obrnjeni navzgor oz. navzdol od vzporednice abcisni osi pri vrednosti 100. Višina stolpca prikazuje relativno spremembo med dvema zaporednima letoma in kaže stopnjo rasti.
PRIMER V tabeli prikazujemo število brezposelnih v Sloveniji po letih v obdobju 1984 -1993. • Izračunajte in grafično prikažite indekse s stalno osnovo 1984 za število brezposelnih. • Izračunajte in grafično prikažite verižne indekse.
leto Število brezposelnih 1984 15, 3 1985 14, 7 1986 14, 2 1987 15, 2 1988 21, 3 1989 28, 2 1990 44, 2 1991 75 1992 102, 6 1993 129, 1 I 84 V k 100 96, 07843 92, 81046 96, 59864 99, 34641 107, 0423 139, 2157 140, 1316 184, 3137 132, 3944 288, 8889 156, 7376 490, 1961 169, 6833 670, 5882 136, 8 843, 7908 125, 8285
PRIKAZ VERIŽNIH INDEKSOV
PRIKAZ INDEKSOV S STALNO OSNOVO
Primer prikaza nominalne spremenljivke FREKVENČNA TABELA genotip f f% *1/*1 118 62, 77 *1/*2 32 17, 02 *1/*3 27 14, 36 *2/*2 2 1, 06 *2/*3 6 3, 19 *3/*3 3 1, 60 SKUPAJ 188 100
KROŽNI IZSEK
STOLPČNI DIAGRAM
Primer prikaza ordinalne spremenljivke f f% F% nezadosten 3 3, 9 zadosten 11 14, 5 18, 4 dober 38 50, 0 68, 4 prav dober 17 22, 4 90, 8 odličen 7 9, 2 100, 0 SKUPAJ 76 100, 0
Rezultati anketnega vprašanja so v datoteki SPSS-naloga 8_1. sav. Odločili ste se za nakup izdelka, ki je bil v trgovskem letaku označen kot visoko kvaliteten z zajamčeno najnižjo ceno. Izdelek se je kasneje izkazal za manj kakovostnega. Na koga najbolj stresate svojo jezo? (možen 1 odgovor) • zagotovilo prodajalca, da gre za visoko kakovosten proizvod. • nase, saj ste sami krivi za svojo naivnost. • na oglase trgovskega podjetja, ki predstavljajo visoko kakovosten proizvod. • na partnerja, prijatelja, družinskega člana, ki se na to kategorijo izdelkov bolje spozna in vam nakupa ni preprečil. SPOL M Ž V tabeli so prikazani rezultati ankete. Prikažite rezultate ankete grafično (strukturni stolpci, strukturni krogi). Izračunajte posamezne deleže.
Prikaz s stolpci
Prikaz s krogom
Prikaz s krogom
FREKVENČNE PORAZDELITVE: -grafično prikazovanje (histogram, poligon) -kvantili (box-plot) -srednje vrednosti (mediana, modus, aritmetična sredina) -mere variacije (varianca, standardni odklon, …)
Na posameznih območjih v Sloveniji izkoriščamo naslednje kmetijske površine (v 1000 ha). Izračunajte naslednje opisne statistike: AVERAGE (aritmetična sredina) MEDIAN (mediana) MODE (modus) COUNT (število podatkov) MAX (maksimalna vrednost) MIN (minimalna vrednost) QUARTILE (prvi kvartil, mediana, tretji kvartil) STDEVP (standardni odklon) VARP (varianca)
Kvantilni diagram (box plot) Q 3 mediana Q 1
OPREDELITEV OKVIRJA Z ROČAJI Osamelci so vrednosti spremenljivke, ki so zunaj intervala (Q 1 -1, 5 Q, Q 3+1, 5 Q), pri tem je Q=Q 3 -Q 1. Spodnji ročaj določata vrednosti Min in Q 1, zgornji ročaj določata vrednosti Q 3 in Max. Min in Max dobimo tako, da poiščemo najmanjšo in največjo od vrednosti spremenljivke, ki niso osamelci. Okvir določata kvartila Q 1 in Q 3, njegovo prečko pa mediana Q 2. Okvir z ročaji zelo nazorno prikaže obliko porazdelitve spremenljivke, njene kvartile, variacijski razmik in kvartilni razmik, ki ga odčitamo v dolžini okvira. Širina okvira nima nobenega pomena.
Okvir z ročaji za nalogo kmet. površine
• V tabeli so prikazani rezultati kolokvija. Izračunajte aritmetično sredino in standardni odklon za grupirane podatke. Narišite še histogram.
Vnos podatkov
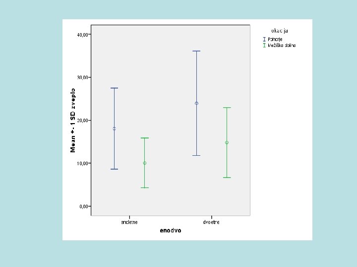
Raziskovalci so na področju Mežiške doline in na področju Pohorja izbrali po 20 smrek, da bi ugotovili vsebnost žvepla v smrekovih iglicah. Za analizo so uporabili potrgane enoletne in dvoletne iglice. Podatki o količini žvepla v iglicah (mg/m 3) so v tabeli.
Grafično prikažite s SPSS-om v istem grafikonu aritmetično sredino in en standardni odklon za enoletne in dvoletne iglice za obe področji.
lokacija = Pohorje lokacija = Mežiška dolina