Chemistry 2100 Lecture 2 Alkynes and Alkenes alkene

  • Slides: 39
Download presentation
Chemistry 2100 Lecture 2

Chemistry 2100 Lecture 2

Alkynes and Alkenes alkene (olefins): Cn. H 2 n alkyne (acetylenes): Cn. H 2

Alkynes and Alkenes alkene (olefins): Cn. H 2 n alkyne (acetylenes): Cn. H 2 n-2 Ethene Ethylene Acetylene

Naming Alkenes and Alkynes • Parent name is that of the longest chain that

Naming Alkenes and Alkynes • Parent name is that of the longest chain that contains the C=C or C≡C. • Number the chain from the end that gives the lower numbers to the carbons of the C=C or C≡C. • Locate the C=C or C≡C by the number of its first carbon. • Use -ene to show C=C, -yne for C≡C. • For cycloalkenes: – Number ring carbons to give carbon 1 and 2 to the C=C bond. – Because of this convention, no need to specify the number of the C=C.

Alkene Isomerism 3 -methyl-trans-2 -pentene 2 -methyl-2 -pentene 3 -methyl-cis-2 -pentene

Alkene Isomerism 3 -methyl-trans-2 -pentene 2 -methyl-2 -pentene 3 -methyl-cis-2 -pentene

Conjugation

Conjugation

2

2

trans-retinal

trans-retinal

trans-retinal

trans-retinal

trans-retinal

trans-retinal

trans-retinal 11 -cis-retinal

trans-retinal 11 -cis-retinal

opsin

opsin

opsin

opsin

opsin

opsin

opsin rhodopsin

opsin rhodopsin

rhodopsin metarhodopsin

rhodopsin metarhodopsin

rhodopsin metarhodopsin

rhodopsin metarhodopsin

rhodopsin metarhodopsin

rhodopsin metarhodopsin

rhodopsin neural impulse metarhodopsin

rhodopsin neural impulse metarhodopsin

neural impulse metarhodopsin 11 -cis-retinal trans-retinal

neural impulse metarhodopsin 11 -cis-retinal trans-retinal

neural impulse metarhodopsin 11 -cis-retinal trans-retinal

neural impulse metarhodopsin 11 -cis-retinal trans-retinal

neural impulse metarhodopsin 11 -cis-retinal trans-retinal

neural impulse metarhodopsin 11 -cis-retinal trans-retinal

neural impulse metarhodopsin 11 -cis-retinal trans-retinal opsin

neural impulse metarhodopsin 11 -cis-retinal trans-retinal opsin

neural impulse metarhodopsin 11 -cis-retinal trans-retinal opsin

neural impulse metarhodopsin 11 -cis-retinal trans-retinal opsin

Terpenes – natural polyenes myrcene (bay) zingiberene (ginger) geraniol (rose) limonene (orange, dill) -selinene

Terpenes – natural polyenes myrcene (bay) zingiberene (ginger) geraniol (rose) limonene (orange, dill) -selinene (celery) menthol (mint) carvone (spearmint, dill) caryophyllene (cloves)

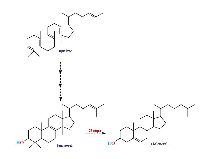
squalene

squalene

squalene ~25 steps lanosterol cholesterol

squalene ~25 steps lanosterol cholesterol

Making Alkenes tetra tri di mono

Making Alkenes tetra tri di mono

Reactions of Alkenes Hydrogenation (cis or trans)

Reactions of Alkenes Hydrogenation (cis or trans)

Partially Hydrogenated Vegetable Oil • • "partially hydrogenated vegetable oil"

Partially Hydrogenated Vegetable Oil • • "partially hydrogenated vegetable oil"

Halogenation CH 2 Cl 2 RT ∆ / h Cl 2 CH 2 Cl

Halogenation CH 2 Cl 2 RT ∆ / h Cl 2 CH 2 Cl 2

Acid Addition CH 2 Cl 2 minor H 2 SO 4 major

Acid Addition CH 2 Cl 2 minor H 2 SO 4 major

Polymerization Z Z = = CH 3 Cl CN OH polypropylene PVC polyacrylonitrile polyvinylalcohol

Polymerization Z Z = = CH 3 Cl CN OH polypropylene PVC polyacrylonitrile polyvinylalcohol

Polymers & Health Bisphenol A = hard shell plastic Pthalate, plasticizer

Polymers & Health Bisphenol A = hard shell plastic Pthalate, plasticizer