Chapter 2 SecondOrder Differential Equations 2 1 Preliminary
















































- Slides: 48
Chapter 2: Second-Order Differential Equations 2. 1. Preliminary Concepts ○ Second-order differential equation e. g. , Solution: A function satisfies , (I : an interval) 1
○ Linear second-order differential equation Nonlinear: e. g. , 2. 2. Theory of Solution ○ Consider y contains two parameters c and d 2
The graph of Given the initial condition The graph of 3
Given another initial condition The graph of ◎ The initial value problem: ○ Theorem 2. 1: : continuous on I, has a unique solution 4
2. 2. 1. Homogeous Equation ○ Theorem 2. 2: : solutions of Eq. (2. 2) solution of Eq. (2. 2) : real numbers Proof: 5
※ Two solutions are linearly independent. Their linear combination provides an infinity of new solutions ○ Definition 2. 1: f , g : linearly dependent If s. t. or ; otherwise f , g : linearly independent In other words, f and g are linearly dependent only if for 6
○ Wronskian test -- Test whether two solutions of a homogeneous differential equation are linearly independent Define: Wronskian of solutions to be the 2 by 2 determinant 7
○ Let If : linear dep. , then or Assume 8
○ Theorem 2. 3: 1) Either 2) or : linearly independent iff Proof (2): (i) (if : linear indep. (P), then (Q) then if : linear dep. ( ( Q) , P) ) : linear dep. 9
(ii) (if if ( P)) (P), then : linear indep. (Q) : linear dep. ( Q), then : linear dep. , ※ Test at just one point of I to determine linear dependency of the solutions 10
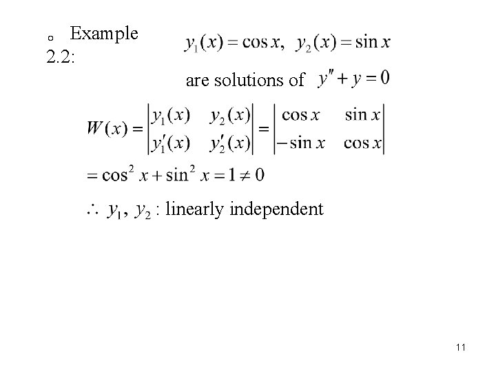
。 Example 2. 2: are solutions of : linearly independent 11
。 Example 2. 3: Solve by a power series method The Wronskian of at nonzero x would be difficult to evaluate, but at x = 0 are linearly independent 12
◎ Find all solutions ○ Definition 2. 2: 1. : linearly independent : fundamental set of solutions 2. : general solution : constant ○ Theorem 2. 4: : linearly independent solutions on I Any solution is a linear combination of 13
Proof: Let be a solution. Show Let Then, s. t. and is the unique solution on I of the initial value problem 14
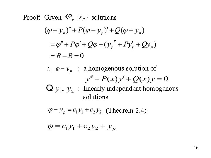
2. 2. 2. Nonhomogeneous Equation ○ Theorem 2. 5: : linearly independent homogeneous solutions of : a nonhomogeneous solution of any solution has the form 15
Proof: Given , solutions : a homogenous solution of : linearly independent homogenous solutions (Theorem 2. 4) 16
○ Steps: 1. Find the general homogeneous solutions of 2. Find any nonhomogeneous solution of 3. The general solution of is 2. 3. Reduction of Order -- A method for finding the second independent homogeneous solution when given the first one 17
○ Let Substituting into ( Let : a homogeneous solution ) (separable) 18
For symlicity, let c = 1, : independent solutions 。 Example 2. 4: : a solution Let 19
Substituting into (A), For simplicity, take c = 1, d = 0 : independent The general solution: 20
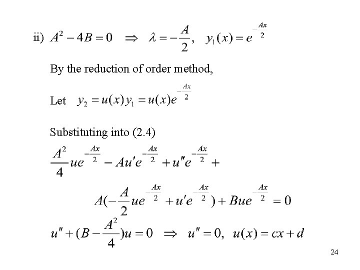
2. 4. Constant Coefficient Homogeneous A, B : numbers ----- (2. 4) The derivative of is a constant (i. e. , ) multiple of Constant multiples of derivatives of y , which has form , must sum to 0 for (2, 4) ○ Let Substituting into (2, 4), (characteristic equation) 21
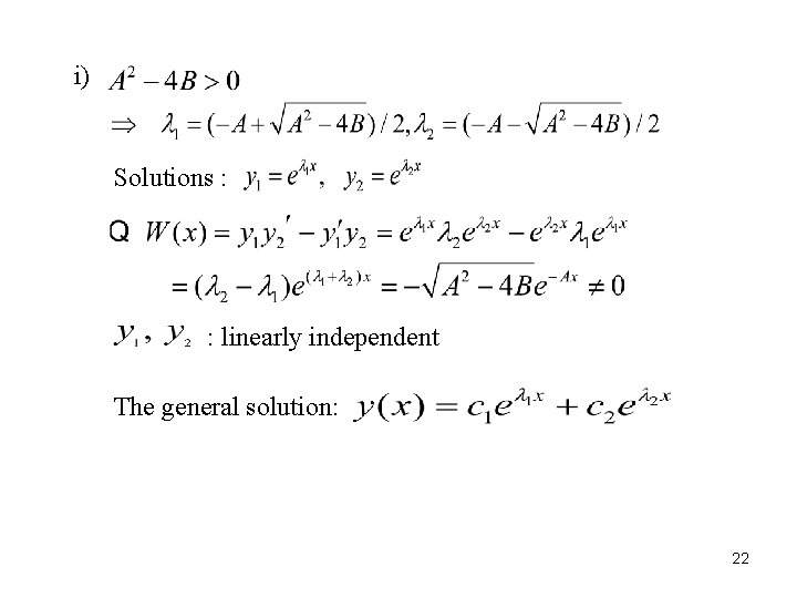
i) Solutions : : linearly independent The general solution: 22
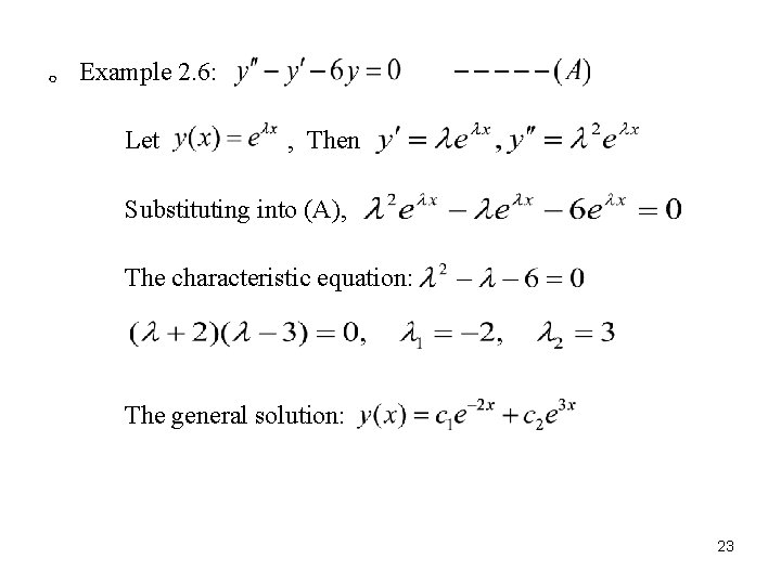
。 Example 2. 6: Let , Then Substituting into (A), The characteristic equation: The general solution: 23
ii) By the reduction of order method, Let Substituting into (2. 4) 24
Choose : linearly independent The general sol. : 。 Example 2. 7: Characteristic eq. : The repeated root: The general solution: 25
iii) Let The general sol. : 26
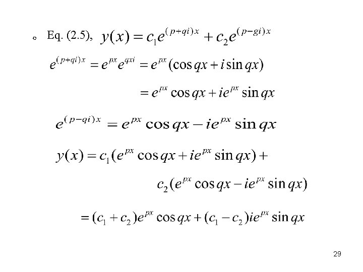
。 Example 2. 8: Characteristic equation: Roots: The general solution: ○ Find the real-valued general solution 。 Euler’s formula: 27
Maclaurin expansions: 28
。 Eq. (2. 5), 29
Find any two independent solutions Take The general sol. : 30
2. 5. Euler’s Equation , A , B : constants -----(2. 7) Transform (2. 7) to a constant coefficient equation by letting 31
Substituting into Eq. (2. 7), i. e. , ----(2. 8) Steps: (1) Solve (2) Substitute (3) Obtain 32
。 Example 2. 11: ------(A) -------(B) (i) Let Substituting into (A) Characteristic equation: Roots: General solution: 33
○ Solutions of constant coefficient linear equation have the forms: Solutions of Euler’s equation have the forms: 34
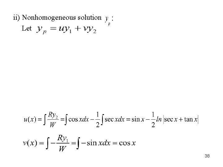
2. 6. Nonhomogeneous Linear Equation ------(2. 9) The general solution: ◎ Two methods for finding (1) Variation of parameters -- Replace with homogeneous solution in the general Let Assume ------(2. 10) Compute 35
Substituting into (2. 9), ------(2. 11) Solve (2. 10) and (2. 11) for . Likewise, 36
。 Example 2. 15: ------(A) i) General homogeneous solution : Let. Substitute into (A) The characteristic equation: Complex solutions: Real solutions: : independent 37
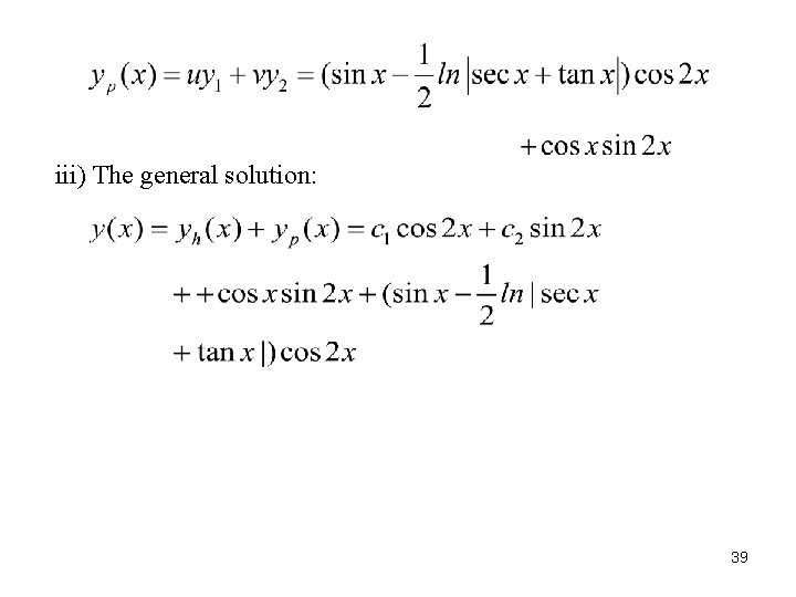
ii) Nonhomogeneous solution Let 38
iii) The general solution: 39
(2) Undetermined coefficients Apply to A, B: constants Guess the form of e. g. from that of R : a polynomial Try a polynomial for : an exponential for Try an exponential for 40
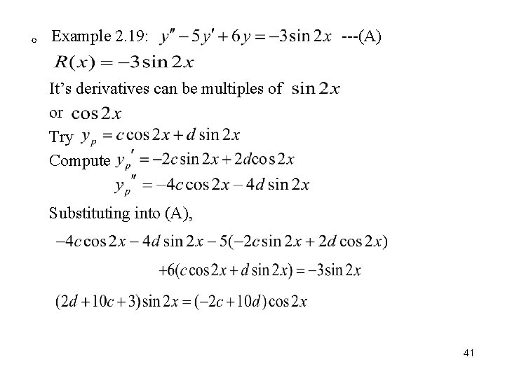
。 Example 2. 19: ---(A) It’s derivatives can be multiples of or Try Compute Substituting into (A), 41
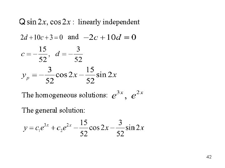
: linearly independent and The homogeneous solutions: The general solution: 42
。 Example 2. 20: ------(A) , try Substituting into (A), * This is because the guessed contains a homogeneous solution Strategy: If a homogeneous solution appears in any term of , multiply this term by x. If the modified term still occurs in a homogeneous solution, multiply by x again 43
Try Substituting into (A), 44
○ Steps of undetermined coefficients: (1) Find homogeneous solutions (2) From R(x), guess the form of If a homogeneous solution appears in any term of , multiply this term by x. If the modified term still occurs in a homogeneous solution, multiply by x again (3) Substitute the resultant into and solve for its coefficients 45
○ Guess Let from : a given polynomial , : polynomials with unknown coefficients Guessed 46
2. 6. 3. Superposition Let be a solution of is a solution of (A) 47
。 Example 2. 25: The general solution: where homogeneous solutions 48