Supernova Lightcurves From Arnett Supernovae and nucleosynthesis 1996

















































































- Slides: 81
Supernova Lightcurves From Arnett: Supernovae and nucleosynthesis (1996)
Orders of magnitude (I) • Energy from core collapse: (3/5) G Mch 2/R ' 160 foe (but most disappears as neutrinos) • Thermonuclear burning 12 C ! 56 Ni: (M¯/56 mu) Q( 56 Ni) = 1. 8 foe
Orders of magnitude (II) • Release 1 foe as heat by initial explosion (nuclear or neutrino heating after core collapse) • Convert into kinetic energy: v ' 109 cm s-1 [(Esn/1 foe) (M/M¯)-1]1/2 • Cooling by conversion, expansion means lack of thermal energy for radiation • Hence need for radioactive sources
Orders of magnitude (III) • Radioactive decays – 56 Ni ! 56 Co 1/2 = 6. 1 days Q = 2. 1 Me. V – 56 Co ! 56 Fe 1/2 = 78 days Q = 4. 6 Me. V • Available energy – 56 Ni: 0. 07 (M 56/M¯) foe – 56 Co: 0. 16 (M 56/M¯) foe
Orders of magnitude (IV) • Initial star: L ' 105 L¯, Teff > 4000 K ! R 0 < 1014 cm • Explosion: L ' 1010 L¯ Teff ' 2 Teff, ¯ ! R ' 0. 25 £ 105 R¯ ' 2 £ 1015 cm • Erad ' 0. 1 foe • Eke ' 1 foe
Orders of magnitude (V) Hydrodynamical time scale: h = 105 s (R 0, 14/v 9) v 9 = v/(109 cm/s) For SN 1987 a, R 0 ' 2 £ 1012 cm, h = 50 min
Orders of magnitude (VI) |Egrav| ' GM 2/R ' M P/ ' 10 -6 foe (M/M¯)2 /R 14 = R/(1014 cm) |Egrav| << Esn ! v >> s Supersonic, shocked expansion Clearly plenty of energy to blow the star apart
Orders of magnitude (VII) ' 3 M/4 R 3 ' 0. 5 £ 10 -12 m / R 153 m = M/M¯ (1 - )/ = a T 3 / 3 R Y = Pg / P Esn ' (1/2) a T 4 4 R 3/3 T ' 6. 3 £ 104 K (Esn/R 153)1/4 Esn in foe (1 - )/ ' 1. 6 £ 104 (R 15 Esn)1/4/m Radiation dominates thermodynamics A supernova is a ball of light
Different types of supernovae.
Observeret hyppighed 2, 3 ~1 5, 0
- Type II, Ib og Ic are Population I stars – new massive stars - Type Ia are Population II stars – white dwarfs that explode above Mch
Explosive nucleosynthesis • T > 5 £ 109 K for r < 3700 km: NSE on dynamical timescale and hence iron-group elements • T < 4 £ 109 K for r = 5000 km • T < 2 £ 109 K for r = 13 000 km: no reactions beyond helium
Initial phases • Immediate emission of neutrinos (and gravitational waves? • First optical detection at shock breakout (after hours) • Subsequent energy from radiative diffusion of initial thermal energy and energy released from radioactive decay • Initial thermal energy is converted to kinetic energy
Shock breakout
Structure after breakout Photosphere
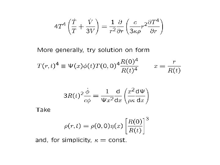
More detailed analysis From Arnett (1996), Chapter 13 (and Appendix D) Early stages of math anxiety
Expansion model Homologous expansion: d V/d t ' 3 va V/R va = d R/d t ' const R ' R 0 + va t
Thermal energy is converted into kinetic energy
Luminosity
• Increasing luminosity with • Increasing Esn • Increasing R 0 • Decreasing M
Reactions e- + 56 Ni ! 56 Co + e 56 Co ! 56 Fe + e+ + e Note that radioactive heating is released mainly as gamma rays, which are later thermalized. Hence heating becomes less efficient in the optical etc. when the mean free path of the gamma rays is comparable with the size of the ejecta.
Recombination reduces opacity and sets radiation free (just as after Big Bang). Also (but generally of lesser significance) releases ionization energy. Opacity dominated by electron scattering, / ne
Opacity
Ionization energy
Recombination wave Concentrate on fast wave
Note: recombination only significant after recombination front is near or below photosphere: Teff 4 < 2 Ti 4
Overall energy equation
Overall energy equation Together, these can be solved for evolution of supernova and hence luminosity
Final state • • Recombination involves all ejecta Ejecta are optically thin From superstar to supernebula Still powered by radioactive decay
Lightcurves for SN type II and fits to Arnett model
Model examples
Mej/M¯ =15 E = 1. 5 foe R 0 = 3 £ 1012 cm
1987 A, extended lightcurve Suntzeff et al. (1992; Ap. J 384, L 33)
1987 A, late stages M(56 Co)=0. 07 M ¯, M(57 Co)=3. 3× 10− 3 M ¯, and M(44 Ti)=1× 10− 4 M¯. 1/2 = 278 d 1/2 = 60 yr Fransson & Kozma (2002; New Astron. Rev. 46, 487)
R 0 cm R 0 = Mej/M¯ =15 R 0 = E = 1. 5 foe
E = 1. 5 foe R 0 = 3 £ 1013 cm
Mej/M¯ =17 E = 1. 5 foe R 0 = 15 £ 1012 cm
Mej/M¯ =2. 2 E = 1. 0 foe R 0 = 22 £ 1012 cm
Mej/M¯ =3. 3 E = 1. 7 foe R 0 = 0. 7 £ 1012 cm (excluding thin H layer)
• Discovered 2005/09/27. 44 by Lick Observatory Supernova Search – Found in IC 307 – Mag 18. 0, Type unknown
Pause…
Supernovae Light Curves
Supernovae Light Curves • SN type II – L & P – SN 1987 A – SN 1993 J • SN type I – Ib & Ic – Ia • Archaeology
Type II • • Iron core collapse Rapid rise in luminosity Maximum light about Mbol = -18 Decreases about 6 -8 magnitudes / year
Light curves • Radioactive decay – 56 Ni ½ = 6. 1 – 57 Co ½ = 271 – 22 Na ½ = 2. 6 – 44 Ti ½ = 47 – This can cause the slope curve to change. days yr yr of the light
Type II-L • L - Linear Doggett and Branch, Astron. J. , 90, 2303, 1985
Type II-P • P - Plateau – A plateau - 30 – 80 days after maximum light – Decay energy is deposited in an optical thick shell Doggett and Branch, Astron. J. , 90, 2303, 1985
SN 1987 A
SN 1987 A
SN 1987 A • Sanduleak -69202 • Unusual – Slow rise - 80 days to maximum light – Maximum Mbol = -15. 5 – Blue supergiant - B 3 I
SN 1987 A • Deeper potential – More energy to lift the envelope – Time scale for the energy to radiate away >>6. 1 days • Bump in the light curve
Suntzeff et al. , 1992, Ap. J, 384, L 33
Suntzeff et al. , 1992, Ap. J, 384, L 33
SN 1987 A • Red supergiant to Blue supergiant – Stellar mass (can`t be much more than 20 Msun) – Composition (low Z) – Mass loss (low)
SN 1987 A Arnett et al. , Annu. Rev. Astron. Astrophys. , 27, 629, 1989
SN 1987 A Hubble Space Telescope`s WF/PC 2
SN 1987 A Arnett et al. , Annu. Rev. Astron. Astrophys. , 27, 629, 1989
SN 1993 J • SN type II in M 81 – Weak hydrogen lines • But the H-lines weakened and SN 1993 J turned in to a type Ib • MHS = 15 Msun • Mass loss: All but 0. 1 -0. 6 Msun of the H – By Roche lobe overflow
SN type I Doggett and Branch, Astron. J. , 90, 2303, 1985
SN type Ib & Ic • In spiral galaxies only – HII regions • Fainter then II & Ia by 1. 5 -2 m. B – More massive stars produce less 56 Ni • Light curve decline 0. 065± 0. 007 mag / day at 20 days after max • Decline 0. 010 mag / day after 50 days (the half-life of 56 Co – 77. 7 days)
SN type Ia • Nuclear energy generation (white dwarf) • Seen in all types of galaxies • Light curve decline 0. 065± 0. 007 mag / day at 20 days after max • Decline 0. 015 mag / day after 50 days – 50% faster than type Ib & Ic • At maximum light MB = -19. 6 ± 0. 2
SN type Ia • Spectra of Type Ia supernovae at the time of B-band maximum (taken from a paper on SN 1999 aa, astro-ph/0404393, by Garavini et al. )
SN type Ia Cadonau 1987
SN type Ia Phillips, AJ, 413, L 105, 1993
SN type Ia Krisciunas et al, AJ, 125 , 166, 2003
SN type Ia
SN type Ia Goldhaber et al. Ap. J 558, 359, 2001
SN type Ia Perlmutter et al. Ap. J 517, 565, 1999
SN type Ia Perlmutter et al. Ap. J 517, 565, 1999
Archaeology Doggett and Branch, Astron. J. , 90, 2303, 1985
Summary • Energy production • Optical thickness • Radioactive decay