SSMK PROSPEKSYON DERS8 PROF DR HSEYN TUR Sismik















































- Slides: 47
SİSMİK PROSPEKSİYON DERS-8 PROF. DR. HÜSEYİN TUR
Sismik Yansıma • Çok yaygın bir tekniktir. • Petrol aramacılığı, • Kara ve denizde, • 10 m ‘den kabuk ve manto derinlikleri gibi farklı derinliklerden bilgi alınabilir. AMAÇLAR • Tabaka ara yüzeylerinden yansıma geometrisi ve sismik dalga enerjisi • Yapı ve stratigrafi • Kaya ve sedimanların fiziksel özellikleri • Sismik Hız
Sismik Yansıma
SİSMİK YANSIMA YÖNTEMİ Giriş: Bir sismik kaynaktan (karalarda veya denizlerde) çıkan sismik dalgalar yerin tabakalı ortamlarında yayılırken akustik empedans farklılığı olan ara yüzeylerden yansıyarak yüzeydeki alıcılarda kaydedilirler. Sismik dalgaların yansıma ilkelerine göre ve fizik yasalara bağlı olarak yeraltını görüntülemek için kullanıldığı bu yönteme sismik yansıma yöntemi (seismic reflectiom method) denir. Yansıma yönteminde yansımaya neden olan yer altı unsuruna (arayüzeye, süreksizliğe, saçıcılara) en genel olarak yansıtıcı (reflector) denilir. Kaydedilen sismik yansıma dalgaları kayıtçıda sismik izler olarak görülürler. Yüzey boyunca belirli düzenlerde yerleştirilmiş alıcılarda kaydedilen sismik izlerin oluşturdukları sismik izler topluluğuna sismik kesit (seismic section) denir. Sismik yansıma yöntemi yeraltının araştırılmasında en kesin sonuçlu yöntemlerden biridir. Bu özelliğinden dolayı, hidrokarbon (petrol, doğal gaz, kömür) araştırmaları, sığ tektonik (0 -10 km) yapıların ve tortul havzalardaki tabakalı ortamların (çökeller, istiflenmeler, …) belirlenmesinde vazgeçilmez bir yöntemdir ve özellikle hidrokarbon araştırmaları ile özdeşmiş bir yöntem haline gelmiştir. Bununla birlikte, son 40 yıldır, ekipman (kaynak, alıcı, kayıtçı, vd. ) ve veri işlem tekniklerindeki yeni gelişmelere ve azalan maliyetlere bağlı olarak mühendislik ve çevre problemlerine uygulamalarda yaygınlaşmış ve etkin bir yöntem olmuştur.
Yansıma yönteminde sismik kırılmadan farklı olarak her bir arayüzeyin yansıma üretmesi için mutlaka hızın derinlikle artması zorunlu değildir. Mümkün olan her ara yüzeyden (akustik empedans farklılığı olan tabakaların ara yüzeylerinden) yansıma gerçekleşir. Bununla birlikte, sismik kırılma yönteminin aksine, sismik yansıma verilerinin yorumlanabilmesi için elde edilen veriler çok fazla veri işleme tabi tutulur. Çünkü, yansıma verisi çok fazla gürültü içerir. Bu nedenle sismik yansıma yönteminde birincil yansımalar dışında kaydedilen tüm olaylar «gürültü» olarak tanımlanır ve veri işlem teknikleri veriden indirgenmeye çalışılırlar. Gürültülerin bir kısmı yansıma spektral içeriği ile uyumlu (yüzey dalgası, tekrarlılar, saçılmalar, ilk varışlar, kırılma tekrarlıları (guided waves)) ve spektral içeriğin dışında genellikle yüksek frekanslı olan uyumsuz (çevresel gürültüler) gürültülerdir. Dolayısıyla, yansıma yönteminde yansıma dalgacıklarının frekans içeri önem taşır. Çoğunlukla yeraltının ayrımlı bir şekilde görüntülenebilmesi için geniş bant frekans bilgisine ihtiyaç vardır ve yansıma yönteminde önemli bir iş zamanı verilerin işlenme sürecinde harcanır. Sismik kırılma verilerinde ilk varış zamanlarından elde edilen X-T grafikleri, sismik yansıma verilerinde yansıma hiperbollerinin X 2 -T 2 grafikleri yorumlanarak tabaka hızları ve kalınlıkları elde edilmeye çalışılır. Kırılma sismiği ile ara hızlar, yansıma sismiği ile kök ortalama kare (root mean sqaure-RMS) hızlar hesaplanır. Hesaplanan RMS hızları daha sonra Dix (1955) denklemi ile ara hızlara dönüştürülür. Bununla birlikte, sismik yansıma yönteminde hız hesaplamaları daha ileri aşamalarda hız spektrumları, sabit hız panelleri ve sabit hız yığma panelleri hesaplanarak daha doğru ve güvenli bir şekilde hesaplanır ve sonraki aşamalarda bu hızlar kullanılır.
Yansıma ölçümleri genel olarak sığ tortul (sedimenter) sahalarda gerçekleştirilmektedir. Bu tür sahalarda tabaka hızları derinliğin fonksiyonu olarak çok sık değişirler. Çünkü her bir tabaka farklı fiziksel özelliğe sahiptir. Düşey yöndeki bu değişim her bir tabakanın kendi içindeki yanal değişimlerden dolayı olan hız değişimlerinden daha fazladır. Bu nedenle yansıma ölçümlerinde yanal değişimleri ihmal edilebilir. Sismik kırılma için kullanılan tüm kaynak ve alıcılar sismik yansıma için kullanılabilir. Bununla birlikte alıcıların frekans bant aralıkları çalışmada öngörülen ayrımlılığı göre seçilen örnekleme zamanına bağlı olarak kaydedilen kullanışlı frekans bant aralığı değişmektedir. Mesela bant genişliği 4 ms örnekleme zamanı için bu aralık 10 -80 Hz aralığında iken, 2 ms için 20 -250 Hz arasındadır. Sismik yansıma yöntemi için çok ileri teknolojilere sahip kaynak ve alıcı sistemleri geliştirilmiştir ve geliştirilmektedir. Sismik yansıma yöntemi araziden veri toplama, işleme, işçilik gibi bir çok bakımdan sismik kırılmaya göre çok maliyetlidir. Çalışmaların boyutlarına göre değişmekle birlikte bugün bir hidrokarbon araştırması için denizlerde yapılan sismik çalışmaların maliyeti karalardaki yapılan sismik yansıma çalışmalarının maliyetinden en az 1. 5 kat daha fazladır.
Sismik Yansıma
KONVOLÜSYONEL MODEL Kaynak Dalgacığı * * Yansıma katsayıları serisi = Sismik kesit(sismogram) = girişim
KONVOLÜSYON (CONVOLUTION) Doğrusal bir sistemin girişi ile çıkışı arasındaki matematiksel işlemdir. =0 f(0)=x 0 y 0 =1 f(1)=y 1 x 0+x 1 y 0 =2 f(2)=y 2 x 0+x 1 y 1+x 2 y 0 =3 f(3)=y 3 x 0+y 2 x 1+y 1 x 2+y 0 x 3 =4 f(4)=y 3 x 1+y 2 x 2+y 1 x 3 =5 f(5)=y 3 x 2+y 2 x 3 =6 f(6)=x 3 y 3
KONVOLÜSYON (CONVOLUTION)
KONVOLÜSYON (CONVOLUTION) Giriş Dalgacıkları Genlik Spektrumları Faz Spektrumları
ÇOK KANALLI SİSMİK (Yansıma hiperbolleri) FFID: Field File ID Number (Shot Gather No) Do ğru da n g ele n d alg a Den iz ta ban ı ya nsım ası Baş da lgası Tabanal tı yansım ası Zaman-uzaklık grafiği
(SHOT GATHERS, COMMON SHOT GATHERS) Bir hat boyunca ardışık olarak elde edilen atış gruplarının (shot gathers, common shot gathers) yanyana çizimi
Farklı kişiler tarafından veri işlemi yapılmış sismik kesitler
Yatay Düzlem Arayüzey Modeli Bir kaynaktan çıkan sismik enerji akustik empedans farklılığı olan bir arayüzeyden yansıyarak yüzeydeki alıcılarda kaydedilir. Yatay yansıtıcı durumunda yansıma kaynakalıcı mesafesinin orta noktasından gerçekleşir. Bu derinlik noktasına “ortak derinlik noktası” (common depth/reflection point-CDP veya CRP) veya yüzeydeki iz düşümüne “ortak orta nokta” (common mid point-CMP) denir. Bununla birlikte, bir yansıma verisinde yansıma zamanı ve genliği yansıtıcının derinliği ve yansıtıcıya kadar olan hız hakkında bilgi verir. Buna göre Şekil 8. 1’de gösterilen yatay düzlem bir yansıtıcı modeli için S kaynağından G 1 (veya simetrik uzaklıktaki G 2 alıcısına) alıcısına olan seyahat zamanı SBG 1 yolu için hesaplanabilir. Buna göre denklem (8. 1) basitçe tek tabaklı bir ortamda bir X mesafesinde alıcıya kadar olan yansıma zamanını gösterir. Bu denklem hiperbolik bir eğriyi temsil eder.
Yansıma hiperbolleri YATAY TEK TABAKALI ORTAMLARDA YANSIMA HİPERBOLLERİ X=0 m jeofonuna yansıma varış zamanı Yatay tek tabakalı ortamlarda seyehat zamanı ifadesi
Yansıma hiperbolleri EĞİMLİ TEK TABAKALI ORTAMLARDA YANSIMA HİPERBOLLERİ X=0 m jeofonuna yansıma varış zamanı Eğimli tek tabakalı ortamlarda seyehat zamanı ifadesi (Levin denklemi) f: tabaka eğim açısı
Şekil 8. 1. Yatay tek tabakalı bir ortamda yansıma ışın yolları ve yansıma hiperbolü.
(8. 1) Burada, t(0) “sıfır açılım (ofset) zamanı” olarak isimlendirilir ve yansımanın arayüzeye dik gidişgeliş yolunda (MB yolu) harcanan zamanını ifade eder. Yer ortamları ve özellikle sedimanter ortamlar çok tabakalıdır. Bu durumda n. tabakanın tabanından olan yansıma zamanı denklemi, (8. 2) şeklinde verilir. Normal olarak sismik dalga n. tabakaya kadar her bir tabakanın ara hızı ile yayılır ve yansıyarak tekrar geri döner. Dolayısıyla bu yol Şekil (8. 2)’de ince sürekli çizgiyle gösterilen eğrisel yoldur. Bu yol şekildeki kalın çizgi ile gösterilen doğrusal bir yola, n. tabakaya kadar olan tüm ara hızların tek bir hız ile temsil edilmesi ile dönüştürülebilir. Bu durumda kullanılan hız RMS hızıdır.
YANSIMA İZLERİ GEOMETRİSİ Yatay Düzlem Arayüzey Modeli
Şekil 7. 2. Çok tabakalı ortamda ara hızlarla ve RMS hızı ile gidilen yansıma ışın yolları.
Eğimli Düzlem Arayüzey Modeli Ara yüzeyin eğimli olması durumunda yansıma kaynak-alıcı orta noktasında olmaz ve yansımalar eğim yukarı noktalardan gerçekleşir. Bu durumda yansıma hiperbolünün minimum noktası eğim yukarı kayar. Şekil 8. 3. Eğimli ara yüzey için yansıma seyahat zamanı.
Şekil 7. 3’de verilen geometriye göre eğimli arayüzeyden yansıma seyahat zamanı SOR üçgeni için yazılan kosinüs teoreminden kolaylıkla elde edilebilir. (8. 3) Eğer SOR açısı (90 - ) yazılır ise arayüzey ters tarafa eğimli olur. Bu durumda seyahat zamanı, (8. 4) şeklinde elde edilir.
Eğim Hesabı
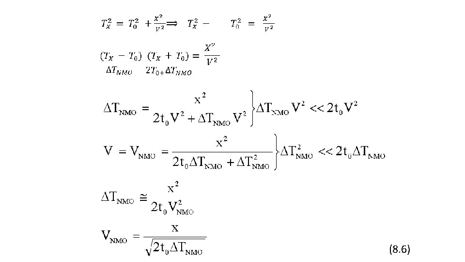
• Sıfır uzaklık zamanından olan zaman farklarına kayma zamanı (normal moveout) denir. Bu durumda bu kayma zamanının giderilmesi (veya düzeltilmesi) işlemine “normal kayma zamanı düzeltmesi-NKZ (normal moveout correction-NMO)” denir. Bu kayma zamanı aynı yansıtıcıdan kaynaklanan yansımanın sıfır uzaklığındaki kayıt zamanı, t(0), ile bir x uzaklığındaki yansıma zamanı, t(x) arasında oluşur. Bu düzeltme yüzeydeki kaynak-alıcı arası orta noktasına göre yapılır. Eğer arayüzey yatay ise CMP=CDP, eğimli ise CMP CDP dir. Arayüzeyin eğimli olmasından dolayı yapılan düzeltme “Eğimli Kayma Zamanı Düzeltmesi (Dip Moveout-DMO)” olarak isimlendirilir. Ancak arayüzey eğimli de olsa tüm düzeltme işlemleri CMP noktasına göre yapılır. İzleyen Şekil 8. 4 ve denklemler yatay ve eğimli arayüzeyde NMO kavramını açıklamaktadır.
Şekil 8. 4. Yatay ve eğimli arayüzey durumunda NMO ve DMO kavramları. Her iki durumda da sıfır ofset zamanı, CMP noktasından yansıtıcıya dik uzaklık (kalınlık) boyunca gidiş-geliş zamanıdır.
Şekil 8. 4. Yatay ve eğimli tabakada CDP ve CMP kavramları. CDP (common depth point) ve CMP (common mid point) kavramı, yeraltı yatay tabakalardan oluşuyorsa ve yanal yönde hız değişimi yoksa birbirine eşdeğerdir.
NMO düzeltmesi aşağıdaki gibi verilir. (8. 5) Bu denklemler NMO uygulaması için çok önemlidir. Derinliğin ofsetten (z>>x) çok büyük olduğu durumlarda NMO düzeltmesinde kullanılır. Bu nedenle, NMO hızı kısa açılımlardaki hiperbolik yansımalar için geçerlidir. Bu ilişkiler, denklem (8. 2)’ye Binom açılımı uygulanır ve yüksek terimler ihmal edildiğinde de elde edilebilir. Şekil 8. 5, denklem (8. 2) ve denklem (8. 6) arasındaki uyumun açılıma göre değişimini göstermektedir.
Denklem (7. 6)’daki VNMO hızı, NMO etkisini gidermek için kullanılan hız olup, ortak derinlik noktası (ODN) yansıma izlerinin birleştirilmesi (farklı kaynaktan ve farklı derinliklerde aynı noktadan yansıyan izler arasındaki NMO etkisi giderilen izler üste toplanır) için kullanılan yığma hızı olarak da bilinir. Yorum açısından çok önem arz etmeyen bu hız bilgisi daha ziyade işlem aşamasında kullanılır. NMO hızı kaynak ve alıcılar arası mesafelerden ve yeraltındaki eğimli yansıtıcı yüzeylerden etkilendiğinden bazen yanıltıcı ara hız değerlerine neden olur. Tablo 7. 1’de yer modeline göre NMO hızının anlamları verilmektedir. Görüldüğü üzere, NMO hızı kısa açılımlardaki hiperbolik yansımalar için geçerli iken, yığma hızı tüm açılım boyunca en uyumu sağlar. RMS hızı tabakalı ortamda NMO düzeltmesi için kullanılmaktadır.
Yatay Tek Tabaka Durumu ve Normal Kayma Zamanı ((NMO )
NMO – Normal Moveout Düzeltmesi X T NMO zamanı T = tx-t 0 Olur. tx = x mesafesi için çift yol zamanı t 0 tx t 0= düşey gidiş geliş zamanı ( x=0 için)
Velocity Analysis T = tx-t 0 T ~ x 2/2 V 2 t 0
NMO – Normal Moveout Düzeltmesi
Stacking - Summing