Multiplication with Vectors Scalar Multiplication Dot Product Cross





























































- Slides: 61
Multiplication with Vectors Scalar Multiplication Dot Product Cross Product
Objectives • TSW use the dot product to fin the relationship between two vectors. • TSWBAT determine if two vectors are perpendicular
A bit of review • A vector is a _________ • The sum of two or more vectors is called the __________ • The length of a vector is the _______
Find the sum • Vector a = < 3, 9 > and vector b = < -1, 6 > • Find • What is the magnitude of the resultant. • Hint* remember use the distance formula.
Multiplication with Vectors Scalar Multiplication Dot Product Cross Product
Scalar Multiplication: returns a vector answer Distributive Property:
Multiplication with Vectors Scalar Multiplication Dot Product Cross Product
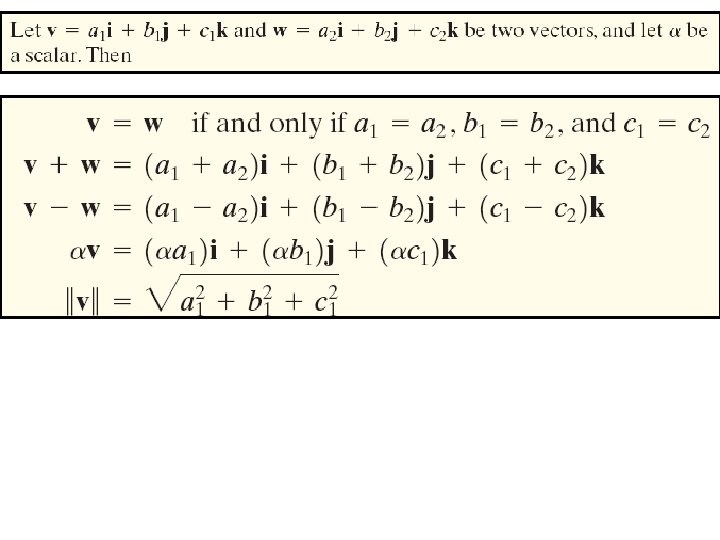
Dot Product • Given and • The Dot Product ( inner product )of as • A scalar quantity are two vectors, and is defined
Finding the angle between two Vectors a a-b θ b
Example • Find the angle between the vectors:
1:
2:
3:
Classify the angle between two vectors: Acute : _______________________ Obtuse: _______________________ Right: (Perpendicular , Orthogonal) ____________
example THEOREM: Two vectors are perpendicular iff their Dot (inner) product is zero. • Given three vectors determine if any pair is perpendicular
Ex 1:
Ex 2:
Ex 3: Find the unit vector in the same direction as v = 2 i-3 j-6 k
Ex 4: Find: If v = 2 i - 3 j + 6 k and w = 5 i + 3 j – k
Ex 5: (c) 3 v (d) 2 v – 3 w (e)
Ex 6: Find the angle between u = 2 i -3 j + 6 k and v = 2 i + 5 j - k
Ex 7: Find the direction angles of v = -3 i + 2 j - 6 k
Any nonzero vector v in space can be written in terms of its magnitude and direction cosines as: Ex 9: Find the direction angles of the vector below. Write the answer in the form of an equation. v = 3 i – 5 j + 2 k
• We can also find the Dot Product of two vectors in 3 -d space. • Two vectors in space are perpendicular iff their inner product is zero.
Example • Find the Dot Product of vector v and w. • Classify the angle between the vectors.
Projection of Vector a onto Vector b a b Written :
Example: Find the projection of vector a onto vector b :
Decompose a vector into orthogonal components… Find the projection of a onto b Subtract the projection from a The projection, and a - b are orthogonal a b a-b
Multiplication with Vectors Scalar Multiplication Dot Product Cross Product
OBJECTIVE 1
OBJECTIVE 2
OBJECTIVE 3
OBJECTIVE 4
OBJECTIVE 5
Cross product • Another important product for vectors in space is the cross product. • The cross product of two vectors is a vector. This vector does not lie in the plane of the given vectors, but is perpendicular to each of them.
• If Then the cross product of vector a and vector b is defined as follows:
The determinant of a 2 x 2 matrix
• An easy way to remember the coefficients of vectors I, j, and k is to set up a determinant as shown and expand by minors using the first row. You can check your answer by using the dot product.
Example • Find the cross product of vector a and vector b if: Verify that your answer is correct.
Assignment