4 Zakoni odranja n n 4 1 Zakon
































- Slides: 32
4. Zakoni održanja n n 4. 1 Zakon održanja mase Ako se u izolovanom sistemu odigrava bilo koja fizička ili hemijska promena, onda zbir svih masa (i energija) pre i posle promene ostaje nepromenjen.
4. 2 Zakon održanja impulsa
Primer 4. 1. 1 Kolica mase 40 kg na kojima stoji čovek mase 70 kg miruju na podlozi. Čovek krene po kolicima brzinom 1 m/s (u odnosu na podlogu). Kolikom brzinom će poći kolica?
n Primer 4. 1. 2 Vagon mase 25 t kreće se brzinom 2 m/s i spaja se sa platformom mase 15 t koja miruje na podlozi. Kolikom brzinom će se kretati vagon i platforma posle spajanja? Trenje je zanemarljivo.
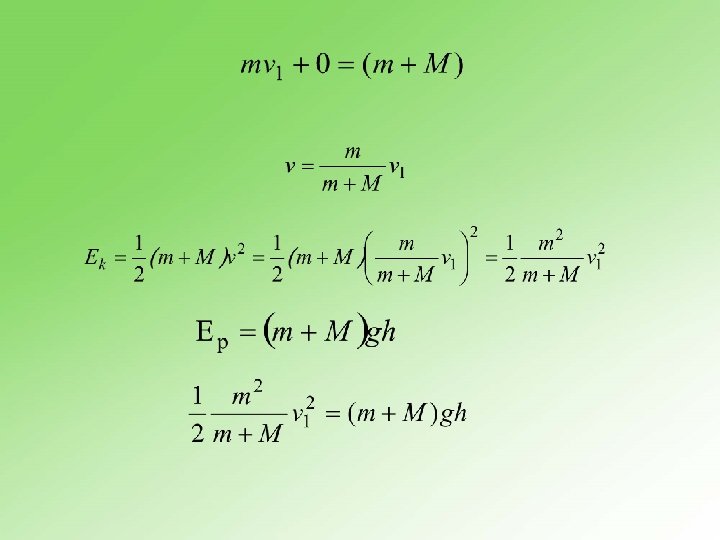
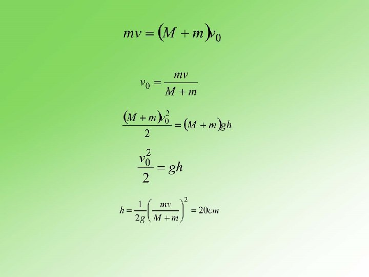
4. 3 Zakon održanja energije n n Ukupna mehanička energija izolovanog sistema je stalna. Primer balističkog klatna
n U telo mase 1990 g, obešeno za laku neistegljivu nit, uleće metak mase 10 g brzinom 400 m/s. Do koje maksimalne visine će se nakon toga podići telo ako metak ostaje u njemu (slika)?
Primer 3. 4. 1 Telo mase 2 kg slobodno pada sa visine 10 m. Kolika je kinetička energija tela na sredini puta, a kolika pri padu na zemlju?
Na visini h n Na visini n Pri padu n Primer 3. 4. 2 Kamen je bačen sa zemlje vertikalno naviše brzinom 20 m/s. Na kojoj visini će kinetička energija kamena biti jednaka potencijalnoj?
4. 4 Sudari n n Proučavanje sudara može da posluži kao dobar primene zakona održanja impulsa i zakona održanja energije. Rezultati dobijeni proučavanjem ovog problema koriste se u raznim oblastima fizike: u molekulsko kinetičkoj teoriji, proučavanju atomskih i nuklearnih sudara, proučavanju radioaktivnog raspada i dr. Zbog jednostavnosti ćemo se ograničiti samo na centralne sudare, i to dva bitna idealizovana slučaja: elastične i neelastične (plastične) sudare.
4. 5 Elastični centralni sudari
Primer Telo mase 1 kg kreće se brzinom 4 m/s i sudara se sa telom mase 2 kg koje miruje. Smatrajući sudar centralnim i elastičnim, naći brzine tela posle sudara.
n Primer Kugla, mase m 1 = 0, 05 kg, naleće brzinom v 1 = 10 m/s na nepokretnu kuglu, mase m 2 = 0, 11 kg. Sudar je centralan i elastičan. Kolike su brzine kugli posle sudara?
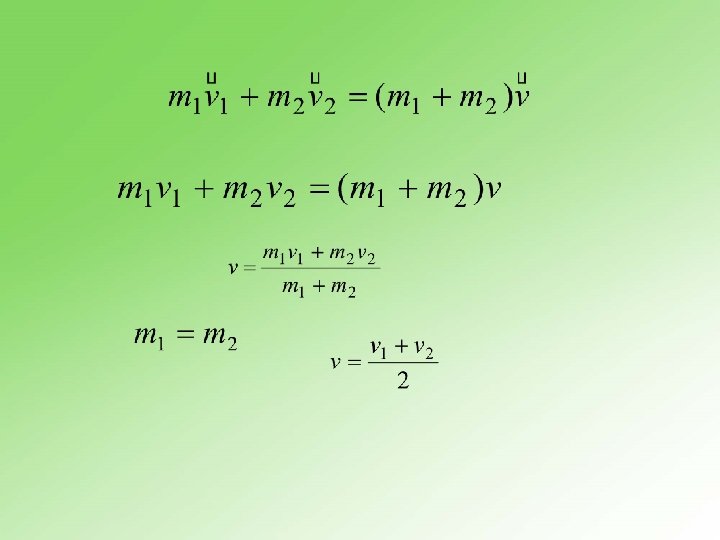
4. 6 Neelasitični centralni sudari
Primer Telo mase 3 kg kreće se brzinom 2 m/s i sudara se apsolutno neelastično sa telom mase 2 kg koje miruje. Kolika je brzina tela posle sudara? Koliki je gubitak kinetičke energije pri ovom sudaru?
4. 7 Zakon održanja momenta impulsa
4. 8 Primena zakona održanja momenta impulsa
Primer U centru horizontalne platforme mase 120 kg, koja rotira oko svoje ose ugaonom brzinom 2 rad/s, stoji čovek mase 60 kg. Kolika će biti ugaona brzina platforme ako čovek pređe na njen kraj? Platforma ima oblik diska.