3 A HIDROGNATOM SZERKEZETE 1 3 1 A






























































- Slides: 62
3. A HIDROGÉNATOM SZERKEZETE 1
3. 1. A hidrogénatom Schrödinger -egyenlete 2
A hidrogénatom klasszikus mechanikai modellje + Pozitív töltésű részecske, amely körül egy negatív töltésű részecske mozog („kering”). 3
A kvantummechanika Schrödinger-egyenlete általános formában 4
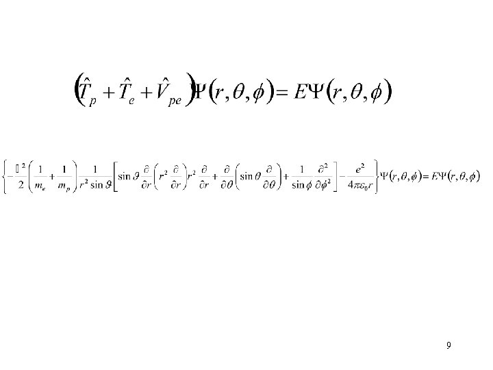
A hidrogénatom Schrödinger-egyenlete Megj. : alsó indexben e és p elektronra, ill. protonra utal, e elemi töltés (1, 602 x 10 -19 C), elektron töltése -e r az elektron protontól való távolsága, vákuum permittivitás (8, 854 10 -12 Fm-1). 5
A hidrogénatom Schrödingeregyenlete megoldható! A megoldás trükkje: polár-koordináta rendszert alkalmazunk. 6
r : vezérsugár : hajlásszög : azimut 7
Polár-koordináták transzformációja Descartes-koordinátákba 8
9
A Schrödinger-egyenlet megoldása Sajátérték n: főkvantumszám 1, 2, 3. . . 10
A hidrogénatom energiaszintjei 11
A Schrödinger-egyenlet megoldása Sajátfüggvények („atompályák”) Három egész számot tartalmaznak 12
A Schrödinger-egyenlet megoldása Degenerált állapotok Azonos az energia (sajátérték), de különféle sajátfüggvények tartoznak hozzá. Ha n megegyezik, de és/vagy m nem, azok a H-atom degenerált állapotai 13
A hidrogénatom energiaszintjei, az szerinti degeneráció feltüntetésével 14
A sajátfüggvények alakja radiális rész anguláris (szögtől függő) rész 15
A hidrogénatom hullámfüggvényei 16
A hidrogénatom komplex hullámfüggvényei 17
Lineár-kombinációk (ábrázolhatóság miatt) 18
A hidrogénatom valós hullámfüggvényei 19
A hidrogénatom Rn, radiális hullámfüggvényei 20
A hidrogénatom hullámfüggvényei (90%-os tartózkodási valószínűség burkológörbéje) 21
3. 2 A hidrogénatom színképe 22
Kiválasztási szabályok: az elektromágneses sugárzás elnyelésének/kibocsátásának feltételei (Levezethető kvantummechanika axiómából) 23
1. szabály Energia-megmaradás 24
Átmeneti momentum és állapotfüggvény 1 -es index: kiindulási állapotban dipólus-momentum operátor 2 -es index: végállapotban P 2 , az átmeneti momentum négyzete arányos az átmenet valószínűségével – azaz a spektrumvonal intenzitásával 25
Dipólus momentum d - + egy pozitív és egy negatív töltés q : a töltés d: a távolság; a negatív töltéstől a pozitív töltés irányába mutat 26
Több töltés esetén q : a töltés 27
Hidrogénatomra vonatkozó kiválasztási szabályok bármennyi 29
A hidrogénatom színképe diszkrét vonalak! 30
Az atomos hidrogén spektruma 31
Az atomos hidrogén spektruma látható tartomány: Balmer-széria 32
A hidrogénatom energiaszintjei 33
A hidrogénatom megengedett átmenetei 34
A hidrogénatom vonalszériái 35
3. 3 -3. 4 A hidrogénatom elektronjának impulzusmomentuma és mágneses momentuma (Előadás alapján) 36
Mikrorendszerek kvantált fizikai mennyiségei • • • E energia L impulzusmomentum absz. értéke (vektorhossz) Lz impulzus-momentum z-irányú vetülete M mágneses momentum abszolút értéke Mz mágneses momentum z-irányú vetülete 37
A klasszikus mechanikában körmozgást végző testre m: tömeg 38
A klasszikus mechanikában körmozgást végző töltésre I : a köráram erőssége A : a körbejárt felület : a felületre merőleges egységvektor 39
Próbáljuk meg összefüggésbe hozni az impulzus-momentummal! 40
41
Az impulzusmomentum képletének átalakítása hasonló módon 42
A két vektor párhuzamos, hosszuk arányos! 43
H-atomra kvantum-mechanikai levezetéssel az operátor sajátérték-egyenletét megoldva , azaz mellék-kvantumszám az operátor sajátérték-egyenletét megoldva m: mágneses kvantumszám 44
H-atomra és összefüggése alapján Bohr-magneton 45
H-atomra és összefüggése alapján m : mágneses kvantumszám 46
Mágneses térben levő részecske potenciális energiája Klasszikus fizika: Kvantummechanika : mágneses indukció 47
Kísérleti bizonyíték az atomok imp. és mágneses momentumára Zeeman-effektus: a spektrumvonalak felhasadása statikus mágneses térben 48
Zeeman-effektus H-atom 2 p energiaszintjeinek várt felhasadása 2 p m = -1, 0, +1 m = +1 m=0 m = -1 1 s tér kikapcsolva tér bekapcsolva 49
3. 5 Az elektronspin 50
Stern-Gerlach-kísérlet 51
Kísérlet ezüst-atom sugárral (hidrogénatommal a kísérlet nehezebb, de az eredmény hasonló. ) Alapáll. : n =1; és m csak 0 lehet! nem térül el Eredmény: két irányba eltérül!! 52
Értelmezés Alapállapotban is van impulzusmomentum, amelyből mágneses momentum adódik. Ez az impulzusmomentum a spin. Jele: abszolút értéke: S z-irányú vetülete: Sz 53
Az elektron spinje : spinre utaló mellék-kvantumszám s spin-kvantumszám (spinre utaló mágneses kvantumszám) 54
Spinből származó mágneses momentum abszolút érték z irányú komponens ge : Lande-faktor hidrogénatomban ge=2, 0023 55
A spinból származó mágneses momentum magyarázza a Stern-Gerlach kísérletet! 56
Spin értelmezése: Paul Dirac (1902 -1984) Relativisztikus kvantummechanika 57
Relativitáselmélet • Olyan mozgások leírása, ahol a sebesség összemérhető a fénysebességgel. • Az elektron sebessége is összemérhető a fénysebességgel. • Dirac-egyenlet: Schrödinger egyenlet módosítva a relativitáselmélettel. 58
A hidrogénatom Diracegyenletének megoldása Újabb kvantumszám: belső kvantumszám : az elektronpálya impulzusmomentumát jell. kvantumszám : a spin impulzusmomentumát jell. kvantumszám ha s pálya p pálya d pálya E függ n-től nagyon és j-től picit 59
Spin-pálya felhasadás p pálya d pálya Ha 0 -től eltér a mellék-kvantumszám, a belső kvantumszám szerint az energiaszintek kétfelé hasadnak. 60
A Dirac-egyenlet sajátfüggvényei „spin-koordináta” 61
Alapkérdések 15. Miből származik a H-atom potenciális energiája? Írja fel a képletét! 16. Rajzolja fel a H-atom energiaszintjeinek sémáját! 17. Mit nevezünk a kvantummechanikában degenerált állapotoknak? 18. Milyen kvantumszámokkal jellemezhető a H-atom állapota? Milyen értékeket vehetnek fel ezek a kvantumszámok? 19. Mit nevezünk a spektroszkópiában kiválasztási szabályoknak? ˙/ . 62
Alapkérdések 20. Írja fel az átmeneti momentum képletét! 21. Írja fel a hidrogénatom pályaimpulzusmomentumvektorának hosszára és z-irányú vetületére vonatkozó sajátértékeket! 22. Írja fel a mágneses momentum képletét! 23. Mit nevezünk Zeeman-effektusnak? 24. Írja fel az elektron spin-impulzusmomentumának hosszára és z-irányú vetületére vonatkozó sajátértékeket! 63