Prototype 2 nd order system Unit step response









































- Slides: 41
Prototype 2 nd order system:
Unit step response: 1) Under damped, 0 < ζ < 1 Interesting case
To find y(t) max:
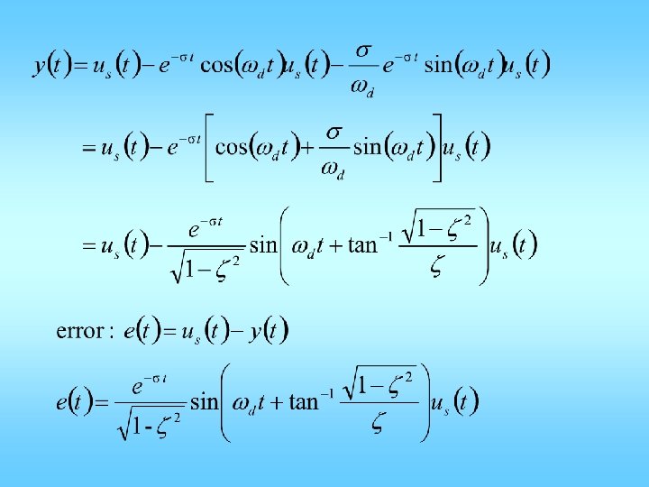
Recall the prototype 2 nd order system is type 1!
• Delay time is not used very much • For delay time, take • Set y(t) = 0. 1 and 0. 9, solve for t • This is very difficult • Based on numerical simulation:
Putting all things together: Settling time: = (3 or 4 or 5)/s
2) When ζ = 1, ωd = 0
The tracking error:
3) Over damped: ζ > 1
Transient Response Recall 1 st order system step response: 2 nd order:
By PFE, all TF = sum of 1 st and 2 nd order parts:
Pole location determines transient
• All closed-loop poles must be strictly in the left half planes Transient dies away • Dominant poles: those which contribute the most to the transient • Typically have dominant pole pair – (complex conjugate) – Closest to jω-axis (i. e. the least negative) – Slowest to die away
Typical design specifications • Steady-state: ess to step ≤ # % ts ≤ · · · • Speed (responsiveness) tr ≤ · · · td ≤ · · · • Relative stability Mp ≤ · · · %
These specs translate into requirements on ζ, ωn or on closed-loop pole location : Find ranges for ζ and ωn so that all 3 are satisfied.
Find conditions on σ and ωd.
In the complex plane :
Constant σ : vertical lines σ > # is half plane
Constant ωd : horizontal line ωd < · · · is a band ωd > · · · is the plane excluding band
Constant ωn : circles ωn < · · · inside of a circle ωn > · · · outside of a circle
Constant ζ : φ = cos-1ζ constant Constant ζ = ray from the origin ζ > · · · is the cone ζ < · · · is the other part
If more than one requirement, get the common (overlapped) area e. g. ζ > 0. 5, σ > 2, ωn > 3 gives Sometimes meeting two will also meet the third, but not always.
Try to remember these:
Example: + - When given unit step input, the output looks like: Q: estimate k and τ.
Effects of additional zeros Suppose we originally have: i. e. step response Now introduce a zero at s = -z The new step response:
Effects: • Increased speed, • Larger overshoot, • Might increase ts
When z < 0, the zero s = -z is > 0, is in the right half plane. Such a zero is called a nonminimum phase zero. A system with nonminimum phase zeros is called a nonminimum phase system. Nonminimum phase zero should be avoided in design. i. e. Do not introduce such a zero in your controller.
Effects of additional pole Suppose, instead of a zero, we introduce a pole at s = -p, i. e.
L. P. F. has smoothing effect, or averaging effect Effects: • Slower, • Reduced overshoot, • May increase or decrease ts