Kap 02 03 Posisjon Hastighet Akselerasjon Derivasjon r





















































- Slides: 53
Kap 02, 03 Posisjon – Hastighet – Akselerasjon Derivasjon r v a Integrasjon
Kap 04, 05 Newtons lover
Kap 06 Arbeid – Kinetisk Energi Def av arbeid W ved å flytte et objekt med en konstant kraft F en rettlinjet strekning s når F og s peker samme vei Def av arbeid W ved å flytte et objekt med en konstant kraft F en rettlinjet strekning s Def av arbeid W ved å flytte et objekt med en varierende kraft F fra punktet P 1 til punktet P 2 langs en kurve l Endring av kinetisk energi K = Det arbeidet som må utføres på et objekt med masse m for å endre objektets hastighet fra v 1 til v 2 Arbeid – Energi teorem
Kap 06 Arbeid – Kinetisk Energi Arbeid W ved strekk av en elastisk fjær Gjennomsnitts-effekt Pa Energi (arbeid) pr tidsenhet Måle-enhet Watt W = J/s Momentan-effekt P Energi (arbeid) pr tidsenhet Måle-enhet Watt W = J/s
Kap 07 Potensiell energi og energi-bevaring Arbeid utført i tyngdefeltet ved å løfte en strekning y med en konstant kraft F = mg (gir ingen fartsendring) Dette arbeidet er uavhengig av veien Arbeid som tyngden utfører ved et fall fra y 1 til y 2 Definisjon av gravitasjons-potensiell energi Ugrav
Kap 07 Potensiell energi og energi-bevaring Sammenheng mellom arbeid Wgrav utført av tyngden og endring i gravitasjons-potensiell energi Ugrav Bevaring av mekanisk energi (kinetisk energi + potensiell energi) i tyngdefeltet Bevaring av mekanisk energi (kinetisk energi + potensiell energi) for en elastisk fjær Ikke bevaring av mekanisk energi (kinetisk energi + potensiell energi) Total energi-bevaring Kraft og potensiell energi Hvis i tillegg rotasjon, må tilføyes rotasjons-energi (se kap 10)
Kap 08 Moment (bevegelsesmengde) – Impuls Moment (bevegelsesmengde) Newtons 2. lov Hvis massen m endrer seg Impuls Bevaring av moment Kollisjoner (bevaring av moment) Ingen ytre krefter virker på system bestående av m 1 og m 2 Totalt moment før kollisjon = Totalt moment etter kollisjon Elastisk kollisjon: Da gjelder i tillegg bevaring av mekanisk energi (her kinetisk energi) Fullstendig uelastisk: Henger sammen etter kollisjonen Masse-senter Newtons 2. lov for et utstrakt legeme Hvis endring (energitap, dvs ikke-elastisk) Etter (2) – Før (1)
Kap 09 Rotasjon Benevning Analogi mellom hastighet / akselerasjon og vinkelhastighet / vinkelakselerasjon
Kap 09 Rotasjon
Kap 09 Rotasjon Vinkelhastighet og vinkelakselerasjon som vektor Vinkelhastighet alltid normal på rotasjonsplanet Hastighet alltid tangentiell til banen Tangentiell-akselerasjon alltid tangentiell til banen. Radiell-akselerasjon alltid rettet inn mot sentrum.
Kap 09 Rotasjon Benevning
Kap 09 Rotasjon Treghets-moment for noen spesielle legemer med akse gjennom sentrum
Kap 10 Rotasjonsdynamikk Kraftmoment / Angulært moment
Kap 10 Rotasjonsdynamikk Kraftmoment
Kap 10 Rotasjonsdynamikk Sammenheng mellom kraftmoment og vinkel-akselerasjon 1 2 3
Kap 10 Rotasjonsdynamikk
Kap 10 Rotasjonsdynamikk
Kap 11 Likevekt og elastisitet Betingelse for likevekt
Kap 11 Likevekt og elastisitet Hookes lov: Den ytre kraften (Stress) på et system er proporsjonal med deformasjonen (Strain) av systemet. Proporsjonalitets-konstanten kalles elastisitetsmodulen. Strekk-stress og strekk-strain: Elastisitetsmodulen kalles for Youngs modulus. Bulk-stress og bulk-strain: Elastisitetsmodulen kalles for Bulke modulus. Share-stress og share-strain: Elastisitetsmodulen kalles for Share modulus.
Kap 12 Fluid mekanikk
Kap 12 Fluid mekanikk
Kap 12 Fluid mekanikk
Kap 13 Gravitasjon
Kap 13 Gravitasjon - Satelitt
Kap 13 Gravitasjon - Sort hull
Kap 14 Periodisk bevegelse
Kap 14 Periodisk bevegelse
Kap 15 Mekaniske bølger
Kap 15 Mekaniske bølger
Kap 15 Mekaniske bølger
Kap 15 Mekaniske bølger
Kap 16 Lyd
Kap 21 Elektrisk ladning og elektrisk felt Elektrisk kraft mellom punktformede / kuleformede ladninger + -
Kap 22 Gauss lov
Kap 23 Elektrisk potensial
Kap 24 Kondensator (Kapasitans)
Kap 25 Strøm
Kap 26 Elektrisk krets i er den deriverte av q Tiden det tar for strømmen å synke til 1/e –del av sin opprinnelige verdi.
Kap 27 Magnetisk kraft x x x x x x x x x x x x x x x x x x
Kap 28 Magnetisk feltkilde
Kap 28 Magnetisk feltkilde (forts. ) x x a a x x . x
Kap 29 Induksjon
Kap 30 Induktans
Kap 30 Induktans (forts. )
Kap 30 Induktans (forts. )
Kap 30 Induktans (forts. )
Kap 30 Induktans (forts. )
Kap 30 Induktans (forts. ) 1 2
Kap 31 Vekselstrøm
Kap 31 Vekselstrøm 1 2
Kap 32 Elektromagnetiske bølger
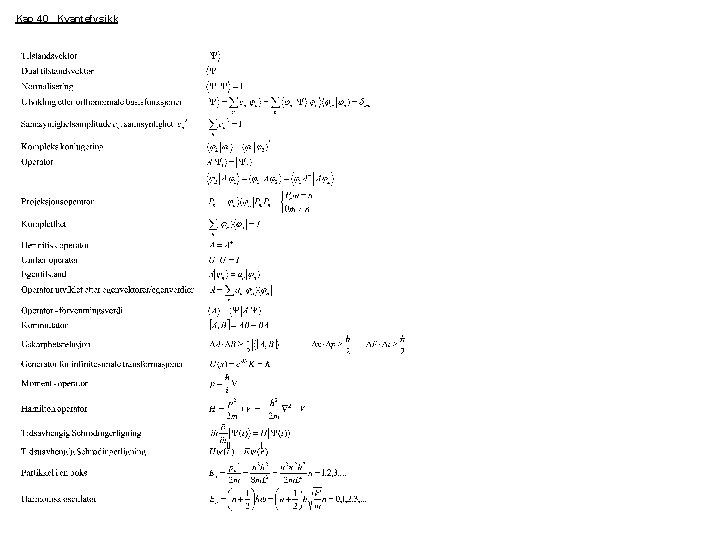
Kap 40 Kvantefysikk
Kap 42 Halvlederfysikk