ESTRAZIONE DI METALLI PESANTI DA REFLUI INDUSTRIALI E
































































































- Slides: 96
ESTRAZIONE DI METALLI PESANTI DA REFLUI INDUSTRIALI E SITI INQUINATI Principali inquinanti secondo il rapporto di Greenpeace 2003 • · alchilfenoli, distruttori ormonali, presenti nei cosmetici ed in altri prodotti per la cura della persona; • · ftalati, tossici per il sistema riproduttivo, impiegati principalmente per rendere morbido il PVC (vinile); • · composti organostannici, immunotossici, utilizzati per stabilizzare il PVC o per eliminare gli acari della polvere; • · composti bromurati, che imitano gli ormoni tiroidei, impiegati come ritardanti di fiamma; • · paraffine clorurate, che possono rivelarsi cancerogene, utilizzate in materie plastiche, vernici e gomme.
Metalli pesanti Gli elementi in traccia sono così definiti in contrapposizione agli otto elementi maggiori, O, Si, Al, Fe, Ca, Na, K e Mg che sono presenti nella crosta terrestre in concentrazioni superiori all’ 1% -hanno una densità superiore ai 5, 0 g/cm 3; -in genere sono cationi; -hanno una spiccata attitudine a formare complessi; -hanno una grande affinità per i solfuri, nei quali tendono a concentrarsi; -hanno diversi stati di ossidazione -a seconda delle condizioni di p. H ed E;
Nella sua classificazione geochimica Goldschmidt (Faure G, 1992) distingue gli elementi, compresi i metalli pesanti, in: - siderofili: aventi affinità per i legami metallici tipici delle leghe; calcofili: Pb, Hg, Cd aventi spiccata affinità per i legami semimetallici tipici dei solfuri; -litofili: caratterizzati dall’affinità per i legami ionici tipici dei silicati e degli ossidi; -atmofili: aventi bassa affinità per i precedenti legami e pertanto accumulati nell’atmosfera.
Gli elementi meno elettronegativi si trovano come ossidi, quelli piu’ elettronegativi come solfuri
Sono considerati come metalli pesanti anche alcuni metalloidi, con proprietà simili a quelle dei metalli pesanti, quali l’As, l’Sb, il Bi ed il Se
maggior parte dei metalli pesanti cade nella categoria dei calcofili. In questo contesto si intende con il termine biosfera quel comparto ambientale che contiene il suolo, le acque superficiali e sotterranee, l’atmosfera e la biomassa ed ha solitamente il suolo come "accumulatore" finale dei flussi inquinanti. Negli ultimi decenni i flussi litosfera-biosfera, litosfera-atmosfera, atmosfera-biosfera relativi a diversi metalli pesanti quali Pb, Hg, Cd, è cresciuto superando abbondantemente quello naturale Cio’ e’ imputabile alla crescente domanda di prodotti contenenti metalli pesanti utilizzati nelle attività industriali e nelle moderne tecniche agrarie ad al conseguente incremento dell’attività mineraria, siderurgica e della produzione e dello stoccaggio dei relativi rifiuti.
Suolo: L’improvviso rilascio di un metallo pesante si verifica quando: l’immissione del metallo pesante supera la capacità di ritenzione del suolo; la capacità d’immagazzinamento di un suolo diminuisce in seguito alla variazione delle condizioni ambientali. I parametri fondamentali che regolano la capacità del suolo di immagazzinare i metalli pesanti sono: Øil p. H, ☻il potenziale redox, Øil contenuto di sostanza organica e ☻la capacità di scambio cationico. Da questi fattori dipendono eventuali assorbimenti da parte delle colture agricole, i "flussi" verso le acque superficiali, sotterranee ed oceaniche I potenziali rilasci sono direttamente collegati alla solubilità e alla mobilità dei composti inquinanti
I piu’ pericolosi sono: Cd, Co, Cr, Cu, Mn, Mo, Ni, Pb, Sn, Zn e Se non sono soggetti ad alcun processo di decomposizione Qual’è la metabolizzazione microbica responsabile di decomporre i composti inorganici, e permangono quindi nel suolo fino a che non siano trasportati da qualche meccanismo chimico, fisico o biologico in un altro comparto ambientale. Anche per i metalli pesanti, come per i composti organici, esiste inoltre il rischio di una discesa verticale attraverso il suolo fino a provocare l’inquinamento delle acque sotterranee.
concetto di vulnerabilità dei suoli è direttamente collegato a quello d’impatto ambientale, inteso come risultante del prodotto di due fattori, • la probabilità che occorra un evento indesiderato (rischio) • e la gravità delle conseguenze di tal evento (danno). La gravità degli effetti dipende, a sua volta, da due fattori distinti: ☻l’intensità dell’evento stesso ☻(magnitudine) ☻e la risposta dei comparti ambientali coinvolti ☻(vulnerabilità).
Un suolo contaminato può, infatti, dare luogo due tipi d’impatto ambientale: quello determinato dall’assimilazione dell’inquinante da parte dei vegetali e il conseguente ingresso della sostanza tossica nella catena alimentare, alimentare e quello determinato della migrazione della sostanza tossica nelle acque sotterranee.
I parametri relativi ai due tipi di vulnerabilità non necessariamente coincidono; infatti, un suolo che permetta una rapida discesa dell’inquinante verso la falda idrica può essere considerato poco vulnerabile in termini di contaminazione della biomassa vegetale e molto vulnerabile in termini di potenziale contaminazione delle acque. le sostanze organiche presentano, comportamenti differenti da quelli assunti dai composti inorganici entrambe le classi di composti al loro interno mostrano ulteriori importanti differenze, quali, per esempio, quelle esistenti fra ioni positivi e negativi o fra molecole polari e apolari.
va ricordato un suolo non vulnerabile per un dato inquinante potrebbe comunque diventare vulnerabile rispetto all’improvviso rilascio di inquinante in coincidenza con il superamento della capacità tampone o al mutamento delle condizioni pseudo-ambientali (uso del suolo, composizione dell’acqua piovana e di irrigazione, cambiamento climatico. ) Tra le più rilevanti rientrano le emissioni in atmosfera di sostanze, come ad esempio l’anidride solforosa (SO 2) prodotta durante la combustione del carbone e del petrolio, che acidificano le piogge e provocano di conseguenza, l’abbassamento del p. H del suolo, la concimazione, o l’uso di fertilizzanti ne provoca invece l’aumento.
Il contenuto in sostanza organica può venire incrementato dal riciclo dei residui dei raccolti e dall’aggiunta di concime biologico, mentre pratiche agricole intensive e depauperanti, può causarne un deficit. La capacità di scambio cationico viene indirettamente alterata dalle attività che modificano il p. H, dal contenuto in sostanza organica e dalla salinità della soluzione L’uso di acque irrigue salmastre, tipico delle aree costiere dove le riserve idriche sotterranee sono sovrasfruttate provoca la salinizzazione del suolo che può causare l’alterazione degli equilibri di scambio ionico in favore della solubilizzazione dei metalli pesanti.
Sn E’ l’ elemento chimico di numero atomico 50, simbolo Sn e peso atomico 118, 64. E’ malleabile e dal colore grigio argenteo. Fonde alla temperatura di 231, 9 °C e bolle a 2260 -2270 °C. Si ossida facilmente all’ aria a temperatura ambiente ed è solubile in acido nitrico e solforico. Fin dall’ età del bronzo, lo stagno e le sue leghe hanno sempre avuto un ruolo assai importante nello sviluppo tecnologico dell’ uomo. Utensili in lega di stagno, risalenti al 3000 a. C. sono stati trovati a Ur (Mesopotamia). Attualmente è impiegato come rivestimento protettivo di lamine o fogli di altri metalli e per la produzione di svariate leghe. Lo stagno metallico è considerato un elemento non tossico, così pure i suoi Sali inorganici, mentre i composti organici, in quanto altamente solubili nei lipidi, presentano potenzialmente un’ elevata tossicità.
Lo stagno viene impiegato principalmente nei seguenti settori produttivi: -Industria vetraria (stagno fuso per “float glass”; biossido di stagno) -Preparazione della latta (ferro stagnato) -Preparazione della stagnola -Smalti per ceramiche (biossido di stagno) -Doratura di cornici e oggetti metallici (solfuro stannico) -Pigmenti (“violetto di stagno”: cromato di stagno) -Industria tessile (carica della seta: Sali di stagno) -Biocidi ( composti stannorganici)
Leghe di Sn La piu’ importante e’ il bronzo con una certa % di rame (+Cu) saldature + 5% Sb leghe per i circuiti frigoriferi e scatolame + 5% Ag per i circuiti elettrici (presenta elevata conducibilita’) + 1 -8% Sb e tracce di Cu e’ il peltro + 1 -5% Pb canne d’organo + % Zn circuiti idraulici + % Al cuscinetti antifrizione + % Ni circuiti stampati elettronici
DISTRIBUZIONE AMBIENTALE 1)Aria Nell’ atmosfera le concentrazioni di stagno risultano inferiori a 10 ng/m 3. Viene disperso nell’ ambiente principalmente attraverso le polveri sollevate dal vento e dalle emissioni vulcaniche. Tabella 1: Origini naturali emissioni di Sn nell' atmosfera Flussi (G x 109/anno) Origine Polveri trasportate dal 5, 0 vento Emissioni Vulcaniche 0, 25 Attività biologica naturale 0, 06 Incendio di foreste 0, 08 Aerosol Marino 0, 009 Totale 5, 4
2)Suolo E’ un metallo con caratteristiche semi-metalliche si trova in natura in piccole quantità e raramente allo stato elementare (0, 004% della crosta terrestre). Il minerale più importante è la cassiterite (Sn. O 2) che talvolta può concentrarsi in forma di granuli, noti con il nome di “stagno di fiume”, in sedimenti clastici di origine alluvionale (“placers”). 3)Acqua La concentrazione media di stagno nell’ acqua di mare varia da 0, 2 a 3 μg/l, mentre nell’ acqua dolce le concentrazioni sono di circa 0, 04 μg/l. Gli ossidi e i solfuri di stagno non sono solubili in acqua, pertanto tracce di questo elemento nelle acqua circolanti sono rarissime.
PRODUZIONE E IMPIEGHI CONTAMINANTI Il metallo viene ricavato dalla cassiterite che, dapprima viene arrostita in modo da eliminare le impurezze di zolfo e di arsenico, e quindi subisce riduzione con carbone. Produzione mondiale e ‘ di 200 t per anno Tabella 2: Produzione delle officine metallurgiche Natura dei prodotti Numero delle officine Quantità (t) Leghe di recupero 11 2431 Le concentrazioni nel suolo oscillano tra 1 e 200 mg/kg, con più alti livelli nei suoli in vicinanza di miniere. A 700 m da un impianto industriale In Giappone (3880 -4400 ng/m 3). Le concentrazioni di Sn nelle acque dolci è pari a 1μg/l o meno. A volte valori più elevati si trovano nell’ acqua potabile, a causa dell’ impiego di condotte di bronzo.
I composti organici dello stagno metallico (organostannici), utilizzati come BIOCIDI fungicidi antimuffa diserbanti acaricidi anticrittogamici alghicidi Per eliminare gli acari della polvere; Come conservanti del legno o del marmo Disinfettanti o come stabilizzatori nei prodotti in PVC sia rigido (bottiglie) sia morbido (pellicola), (prevenendo la perdita di HCl)
Addittivi nella vulcanizzazione dei siliconi e schiume poliuretaniche (nelle reaz. di transesterificazione) Sono precursori di film ad alta rifrazione per vetri Per trattamenti antigraffio e antiriflesso Per conferire ai cristalli iridiscenza sono pericolosi per il sistema immunitario di tutti i mammiferi, incluso l’uomo.
BIOACCUMULO 1)Vegetali I livelli di stagno nelle piante terrestri sono trascurabili [inferiori a 0, 3 mg/kg] eccetto che nei licheni e i muschi. 2)Animali E’ presente a concentrazioni variabili a seconda della regione geografica Solitamente il contenuto del metallo è inferiore a 3 mg/kg. 3)Uomo L’ assunzione media giornaliera da parte dell’ uomo in paesi industrializzati è stata stimata in 3 -4 mg, in altre regioni è molto inferiore. Le principali fonti di ingestione dello Sn sono rappresentate ☻dagli alimenti in scatola ☻ e dai dentifrici a base di fluoruro stannoso.
4)Alimenti e bevande Concentrazioni di stagno negli alimenti sono generalmente inferiori a 0, 3 mg/kg Lo stagno può entrare a concentrazioni significative negli alimenti attraverso la banda stagnata per le conserve alimentari ove sono state rilevate quantità sino a circa 500 mg/kg di prodotto. Una ricerca ha rilevato fino a 130 mg/l di stagno nelle bevande alcoliche e una differenza sostanziale per i succhi di frutta conservati in bottiglia o in lattina.
L’ assorbimento gastrointestinale di Sn inorganico è scarso a causa della bassissima solubilità dei Sali di Sn comunemente ingeriti Anche per i Sali solubili, come il tartrato stannoso di sodio, l ‘assorbimento è molto basso: circa il 90 % , infatti , viene espulso. Le piccole quantità di stagno che vengono assorbite si distribuiscono principalmente nel fegato, nelle ossa, nei polmoni e nei reni. Un’ altra via di assunzione dello Sn è per inalazione: polveri molto fini di composti di Sn inalate vengono trattenute nei polmoni e quindi assorbite lentamente nel sangue. L’ organismo adulto ne contiene circa 17 mg , dei quali il 25% è distribuito nella cute e nei tessuti adiposi
TOSSICOLOGIA Intossicazione acuta Poiché lo Sn metallico e i suoi Sali inorganici vengono assorbiti poco, il grado di tossicità è basso per via orale. I composti insolubili come Sn. O, Sn. S 2, Sn. O 2 sono relativamente innocui fino a concentrazioni nella dieta dell’ 1% ; ciò è valido anche per i Sali maggiormente solubili e pertanto più tossici, come il cloruro stannoso.
Cibi e bevande in scatola, contenenti da 250 a 700 ppm di Sn hanno provocato nausea, vomito e dissenteria in soggetti umani. L’ inalazione di polveri o fumi di Sn metallico o dei suoi Sali produce una lieve forma benigna di pneumoconiosi. I Sali stannosi solubili, come il solfato, il cloruro e il tartrato provocano fenomeni tossici già a concentrazioni dello 0, 3 %. Nei ratti, i sintomi più frequenti sono rappresentati da forte ritardo nell’ accrescimento, scarsa efficienza alimentare, anemia, degenerazione epatica con iperplasia dei dotti biliari. Alcuni Sali dello Sn inibiscono l’ emopoiesi, interferendo con l’ assorbimento intestinale del ferro: l’ aggiunta di una certa quantità di ferro nella dieta riesce infatti a prevenire gli effetti tossici dello stagno.
VALUTAZIONE DEL RISCHIO AMBIENTALE In Italia lo Stagno si trova concentrato in granuli di ossidi negli orizzonti di alterazione dei suoli a scambio ionico a moderata lisciviazione sovrastanti i giacimenti di cassiterite. del Piemonte orientale (NO), della Toscana occidentale (LI e Isola d’ Elba) e della Sardegna sud-occidentale (CA), Nonostante nelle sue forme inorganiche sia innocuo costituisce fonte di rischio tossico per le attività umane, dal momento in cui può subire alchilazione biologica negli ambienti acquatici.
A causa del rilascio di composti stannorganici dalle vernici antivegetative usate sugli scafi delle imbarcazioni sui moli e sulle reti da pesca, si ha un gravissimo impatto ambientale sugli ecosistemi acquatici sia d’ acqua dolce che marini costieri: drammatici decrementi di popolazione sono avvenuti negli impianti di molluschicoltura francesi conseguenti danni ecologici ed economici.
VALUTAZIONE DEL RISCHIO PER LA SALUTE UMANA L’ assunzione esente da rischio per lo stagno inorganico non dovrebbe comunque superare i 2 mg/kg di peso corporeo, Mentre le forme organometalliche presentano un notevole grado di tossicità LA SPECIAZIONE DEI COMPOSTI ORGANOSTANNICI CON MAGGIOR IMPATTO AMBIENTALE principalmente il tributilstagno TBT utilizzato come agente antivegetativo, E il trifenilstagno TPh. T utilizzato principalmente nei pesticidi. L’emissione del TBT in ambiente acquoso deriva sia dai scafi delle barche, nonché dalle lavorazioni nei cantieri
La persistenza ambientale e la meta finale del TBT sono correlati alle specifiche caratteristiche dell’ ecosistema come • la temperatura, • la salinità, • il p. H, • la concentrazione dei microbi • e la velocità di flusso. La distribuzione di questo tra i diversi siti ambientali è regolata da meccanismi fisici (adsorbimento), e chimici (reazioni chimiche e fotochimiche). In acqua il TBT può degradarsi (mediante meccanismi biologici, chimici e UV) dando origine ai composti meno tossici dibutilstagno DBT e butilstagno MBT.
TBT può essere facilmente adsorbito dalle fasi lipofiliche degli organismi e nei sedimenti con alti fattori di bioconcentrazione BCF e di accumulo ACF Variabilita’ spaziale Significanti differenze di concentrazione di TBT e MBT possono essere viste nelle colonne di acqua. Infatti il TBT mostra una forte tendenza ad accumularsi nei microstrati superficiali All’ aumentare della profondità dell’ acqua diminuisce la concentrazione di composti organostagno. Alte concentrazioni di tali composti possono essere rilevate all’ interfaccia tra acqua e sedimento. Il primo prodotto di degradazione del TBT e’ il MBT che scorre nella colonna d’acqua velocemente
Figura 1: Stabilità TBT in Cozze a diverse condizioni Variabilita’ stagionale e climatica Si hanno variazione di concentrazione di composti organostagno in dipendenza dalla loro stabilita’ e Dalla temperatura stagionale spesso dovuto all’ incremento delle sorgenti antropogeniche (turismo navale durante l’ estate) Figura 2: Stabilità MBT in Cozze a diverse condizioni
Figura 3: Stabilità TPh. T nelle cozze a diverse condizioni Ci sono due metodi principali di derivatizzazione utilizzati nell’ analisi di composti organostagno: generazione di idruri e alchilazione mediante reattivi di Grignard. La generazione di idruri è di solito utilizzata quando la determinazione finale è eseguita mediante AAS, mentre con detector Fi. D o MS la derivatizzazione con Grignard è preferita. La generazione di idruri è un metodo molto buono per i composti butilstagno, che infine possono Essere rilevati con tecniche GC-Fi. D e GC-MS
Proprieta’ chimiche Come CARATTERISTICA PECULIARE degli organostannici rispetto agli omologhi inferiori (idrocarburi o silani) e’ la straordinaria diversita’ strutturale: • La maggior parte si puo’ considerare derivata da Rn. Sn. IVX 4 -n • anche i composti come Sn. R 2 sono oligomeri ciclici (Sn. IVR 2)x che soggetti di solventi donatori come alcool o acqua formano • Ponti alogenuri stabilizzano le strutture aventi NC>4 sono bipiramidi trigonali od ottaedri distorti ma in alcuni casi possono accomodare fino a sette leganti • i cationi solvatocomplessi di cui i piu’ tossici sono i Me 3 Sn(S)+ Sn-R 3 se R e’ un segmento insaturo come un vinile o un arile sono oltremodo reattivi
Composti di Sn II sono talmente elusivi che esistono solo stabilizzati da leganti ingombrati come lo stannilene con due leganti come [CH(Si. Me 3)2] che dimerizzano dando origine a doppi legami piegati in cui l’orbitale ibrido spxpy doppiamente occupato interagisce con l’orbitale vuoto pz in entrambi i frammenti Come l’Hg, lo Sn forma con sostituenti alchilici composti covalenti Ad es n. Bu 3 Sn-X dove X=anione Il gradiente di tossicita’ • aumenta col grado di alchilazione e • decresce con la lunghezzza della catena
Il piu’ importante perche’ maggiormente impiegato dal pto di vista ecotossicologico e’ l’ossido (n. Bu)3 Sn-O-Sn(n. Bu)3 Che e’ un liquido incolore avente bassa solubilita’ e polarita’ polarita A secondo dei comparti ambientali in cui e’ distribuito varia la speciazione: In ambiente marino esiste prevalentemente • come idrossido n. Bu 3 Sn-OH, • cloruro n. Bu 3 Sn-Cl, (p. H=8) • acquocomplesso n. Bu 3 Sn-OH 2 (p. H=7) • o carbonato [n. Bu 3 Sn]2 CO 32 - a p. H=10
Gli organostannici utilizzati come BIOCIDI sono R 3 Sn. X X=OH Oac fungicidi R=Ph, antimuffa acaricidi anticrittogamici alghicidi n. Bu 3 Sn. X (X=alogenuri), n. Bu 3 Sn)2 O diserbanti =Cy Come conservanti del legno o del marmo (n. Bu 3 Sn)2 O In aggiunta 1 -3% w/w Disinfettanti (n. Bu 3 Sn)2 O Bu 3 Sn. OC(O)Ph Ph 3 Sn. O(O)Me Stabilizzanti nei prodotti in PVC )prevenendo la perdita di HCl RSn. X 3 e R 2 Sn. X 2 R= n-ottile sia rigido (bottiglie) sia morbido (pellicola durante la pirrolisi (180 -200 C) o per fotosensibilizzazione del prodotto
Ed inoltre come Addittivi nella vulcanizzazione dei siliconi e schiume poliuretaniche R 2 Sn. X 2 (nelle reaz. di transesterificazione determina la fine della catena polimerica e previene reazioni radicaliche indesiderate) Sono precursori di film ad alta rifrazione Sn. O 2 per vetri Per trattamenti antigraffio e antiriflesso Per conferire ai cristalli iridiscenza sono pericolosi per il sistema immunitario e riproduttivo di tutti i mammiferi, incluso l’uomo.
La metabolizzazione del TBT causa l’inibizione della proteina P 450 dell’enzima monossigenasi ed e’ molto piu’ rapida nei vertebrati che nei molluschi o nei gastreropodi Bu 3 Sn+ P 450 ossidasi Bu 2 Sn 2+ TBT invece ha anche un’ulteriore azione tossica quale Inibitore della fosforilazione ossidativa nei mitocondri sia vegetali che animali
Studio innovativo dei leganti 4 -ACIL-PIRAZOLONI E β-DIKETONI Come leganti per lo Sn(IV) e loro Attività Fungicida e Insetticida dei derivati Organostagno con 4 -Acil-pirazoloni La dipendenza della bioattività dalla geometria dei composti organostagno è fenomeno di studio. Blunden e Hill mostrarono che i composti organostagno pentacoordinati e chelati intramolecolarmente (L=X-XI) Composto pentacoordinato R 3 Sn. L hanno una bioattività minore degli stessi derivati polimerici (figura 2). Composti polimerici R 3 Sn. L
Inoltre il composto Dibutilbis(4 -benzoilpirazol-5 -ato)stagno(IV) mostra proprietà insetticide contro il Tribolium castaneum e il Trogoderma granarium. Attività fungicida I test fungicidi vengono effettuati determinando la concentrazione (ppm) di composto che causa l’inibizione del 50 % (ED 50) della crescita di sei tipologie di funghi scelti: Trichoderma viridae 5 (funghi del suolo), Colletotrichum gloeospoioides 3 (funghi di banana), Verticillium fungicola 1 (malattia bolle secche nei funghi), Pyricularia oryzae 2 (malattia del riso), Sclerotinia fruticola 6 (albicocche) e Fusarium culmorum 4 (malattia dei cereali). Figura 7: 4 -acil-3 -metil-1 -fenilpirazol-5 -one [R=Me (HPMAP) e R=Ph (HPMBP)]
L’ andamento generale in riguardo all’ attività fungicida è il seguente: L < R 2 Sn. L 2 < trans-R 3 Sn. LLI < cis-R 3 Sn. L in relazione alla geometria possiamo effettuare alcune considerazioni riguardo l’ attività. In primo luogo, composti del tipo Ph 3 Sn. L, Ph 3 Sn. SAL (SAL=aldeide salicilica) (composto chelato cis-pentacoordinato allo stato solido), Ph 3 Sn. IMI (IMI=derivato imidazolico)( trans TBP pentacoordinati polimerici allo stato solido, ma tetracoordinati in soluzione) hanno dimostrato elevate attività dei monomeri tetracoordinati
E’ dimostrato inoltre che la durezza nell’ inibizione della crescita dei funghi è correlata all’ inibizione della fosforilazione ossidativa degli stessi. Le differenze nell’ azione fungicida dipendono da due fattori: • La permeabilità della cellula (che dipende dal coefficiente di ripartizione del composto tra l’ acqua e la doppia membrana fosfolipidica della cellula) • L’ attività intrinseca dei sistemi enzimatici.
Attività Insetticida L’ attività insetticida viene ricavata analizzando il fattore LC 50 che rappresenta la concentrazione in ppm dei composti utilizzata per deprimere il 50 % degli insetti scelti per l’ esperimento. i composti Diorganostagno ( in particolare i dibutilstagno) sono molto tossici per alcuni tipi di insetti LC 50 = ca 30 µg/insetti. I nuovi precursori utilizzati presentano un attività minore che si reputa causata dalla coordinazione dei leganti.
INTOSSICAZIONE Per intossicazione si definisce uno stato anormale essenzialmente un avvelenamento. Contrariamente a quanto si può credere, l’ avvelenamento non è mai istantaneo, ma coinvolge una serie di passaggi Il processo di intossicazione è correlato a diversi fattori: come l’ esposizione chimica, l’ assorbimento da parte dell’ organismo, distribuzione negli organi e nelle cellule, tempi di immagazzinamento, ed eventuali reazioni con sistemi biologici complessi.
In base a queste considerazioni il materiale chimico può essere rimosso meccanicamente, alterato chimicamente ed escreto, o convertito in una sostanza più reattiva e quindi più tossica. L’ intossicazione viene detta anche lesione biochimica ed è caratteristica di tutte le forme di vita. Se l’esposizione al fenomeno chimico si verifica per un periodo da osservare reazione occorre determinare la procedura di Assorbimento
Adsorbimento Il primo e necessario passo per studiareil fenomeno dell’ intossicazione, è l’ assorbimento di sostanze chimiche nell’ organismo. Per l’uomo la sostanza chimica può essere assimilata attraverso la bocca (esposizione orale), la pelle (esposizione dermale), il sistema respiratorio (esposizione inalante), o per iniezione (esposizione parenterale). Negli animali l’ adsorbimento può avvenire attraverso la pelle, gli occhi, il sistema respiratorio, o nel tratto gastrointestinale
Le piante adsorbono attraverso le foglie e le radici, mentre i microrganismi direttamente attraverso la parete cellulare.
Tale parete lipidica è costituita da molecole con una parte polare interna ed una apolare esterna; esterna non c’è quindi da sorprendersi se composti lipofilici penetrano molto più rapidamente di sostanze idrofiliche. Queste membrane costituite da fosfolipidi a lunga catena, svolgono la funzione di fluido bidimensionale, permettendo la rapida diffusione di sostanze lipofiliche attraverso la zona grassa, mentre vengono escluse tutte quelle sostanze idrofiliche.
Tuttavia alcuni ioni come Ca 2+ e altri soluti polari, possono entrare mediante dei canali proteici. Per tale motivo le membrane plasmatiche si dicono semipermeabili. Il doppio strato fosfolipidico della membrana cellulare viene detto micella Le membrane possono contenere trigliceridi (grassi), esteri e steroli. Le membrane delle piante vengono chiamate plasmolemma. Le membrane dei batteri sono molto più complesse e contengono difosfotrigliceridi, fosfatidilglicerolo, ma non sterolo.
L’ introduzione della sostanza tossica nella membrana è misurata mediante il coefficiente di partizione Kp : misura la lipofilicità Coefficiente di partizione Kp = Clipid/Cwater eccetto nei casi di trasporto assistito, alti valori di questa costante ci dicono che la diffusione attraverso la membrana è facile. Una sostanza non polare come il toluene (Kp = 590) ha una grande affinità per i lipidi e viene assorbito molto piu’ rapidamente dalla membrana cellulare, rispetto al cloruro di sodio ( Kp < 1).
Per disposizione si intende cosa accade nell’ organismo, dopo che la sostanza chimica è stata adsorbita. Negli animali, il passo successivo è la circolazione sanguigna e quindi la distribuzione della sostanza nei differenti organi. Il movimento nel sangue è spesso assistito da proteine carrier, carrier che possono legarsi con le sostanze chimiche stesse. Nelle piante questo movimento viene detto traslazione e avviene in soluzione acquosa attraverso appositi condotti biologici. Nei microrganismi, le cellule sono direttamente esposte all’ ambiente , per cui non hanno bisogno di circolazione. I grassi sono costituenti normali di cellule dei tessuti adiposi, ed ivi le sostanze lipofiliche tendono a concentrarsi.
Gli agenti chimici generalmente entrano e lasciano il grasso per semplice dissoluzione o diffusione, e per tale motivo sostanze lipofiliche si immagazzinano e vengono concentrate. Come per l’ adsorbimento, l’ immagazzinamento nel grasso è regolato da un coefficiente di ripartizione.
La disposizione include anche il legame irreversibile con i tessuti, il metabolismo xenobiotico e l’ eliminazione. Molte sostanze, ad esempio i derivati metallici, reagiscono chimicamente con i componenti della cellula come proteine e gli acidi nucleici.
Eliminazione Sostanze chimiche adsorbite, possono poi essere eliminate dalla maggior parte degli organismi automaticamente, rapidamente, e continuamente. Ad esempio, i pesci eliminano alcune sostanze attraverso le branchie. Gli animali eliminano le sostanze tossiche tramite escrezione di urine, bile e feci. Per le piante le uniche vie di uscita sono le foglie e le radici. Il più delle volte le sostanze escono dalle radici mediante dei metaboliti solubili in acqua. Come abbiamo detto queste sostanze circolano per cui non è difficile pensare che vadano a reagire con delle molecole target come dei recettori conseguenze tossiche.
FATTORI CHE GOVERNANO L’ INTOSSICAZIONE Biotrasformazione (Metabolismo) Il metabolismo è uno dei fattori principali che regolano l’ intossicazione. Noi ci riferiamo al metabolismo xenobiotico (esterno), che è differente dal metabolismo intermedio che riguarda la conversione di cibo in energia. Nella maggior parte dei casi, gli effetti tossici di una sostanza chimica, sono inversamente proporzionali al proprio metabolismo di disintossicazione e quindi di eliminazione. Il metabolismo xenofobico consiste in due processi che coinvolgono reazioni di ossidazione, e reazioni di trasformazione di molecole naturali quali gli zuccheri e gli aminoacidi ecc.
Per esempio, il nitrobenzene viene ridotto ad anilina che poi viene acetilata per dare l’ acetanilide. Il metabolismo è capace di incrementare la solubilità della sostanza chimica in acqua grazie a queste trasformazioni. Infatti il nitrobenzene quando viene convertito ad anilina è più solubile in acqua e può essere espulso mediante le urine. Tuttavia quando l’ anilina viene acetilata il gruppo ammino viene mascherato per cui la sostanza è meno reattiva e meno tossica. Può però verificarsi il contrario; molti gruppi funzionali possono essere convertiti da recettori e sistemi enzimatici in sostanze tossiche molto più tossiche.
Biodisponibilità La biodisponibilità è definita come il grado con il quale una sostanza è libera di muoversi all’ interno dell’ organismo. Tale definizione tiene perciò conto dell’ assorbimento della sostanza stessa. Secondo i farmacologisti è invece importante studiare l’ esposizione esterna di tali sostanze. Per esempio, per un pesce che nuota in acqua inquinata, la concentrazione di esposizione al materiale chimico inquinante e’ anche in relazione ad altri fattori quali • la durezza dell’ acqua, • la temperatura dell’ ambiente • e i cicli di metabolismo relativi alla catena alimentare.
EFFETTI TOSSICI Intossicazione Nella maggior parte dei casi di intossicazione è possibile rinvenire dei sintomi comuni a tutti di intensità più o meno accentuata: appannamento della vista, sudorazione eccessiva, mal di testa, crampi muscolari, nausea, vomito. In casi più gravi vengono incluse convulsioni, svenimento e morte. Nel caso di intossicazione acuta la sotanza va direttamente e istantaneamente ad interagire con i siti biologici più a rischio creando gli effetti collaterali appena enunciati. La continua esposizione invece, a quantità basse di incontaminante da luogo ad intossicazione cronica
Il sistema nervoso Molti agenti chimici tossici possono colpire il sistema nervoso in diverse vie. Il sistema nervoso degli organismi vertebrati è costituito di due parti primarie: il sistema nervoso centrale (CNS) che comprende il cervello e il tessuto spinale, e il sistema nervoso periferico (PNS) che include il resto. PNS: nervi sensori, nervi motori; somatico (volontario), Autonomo (involontario), simpatetico (eccitatorio), parasimpatetico (inibitorio).
Delle innumerevoli sostanze conosciute in grado di reprimere l’ attività del CNS, probabilmente la più familiare è l’ etanolo. Circa 100 mg di etanolo per 100 ml di sangue (0. 1%), causato bevendo circa 130 g di whisky, causano perdita di coordinazione e vista offuscata. A circa 0. 2 % si ha indebolimento della vista, barcollamento, e problemi di linguaggio. Tra 0. 3 % e 0. 5 % si possono presentare convulsioni, e sopra i 0. 5 % si ha coma e morte. La differenza tra dose anestetica e fatale è minima. Il principale effetto dovuto alla recezione di un metabolita dell’alcool cioe’ l’etilaldeide è la depressione del sistema nervoso centrale (anestesia riduzione della visuale e percezione sensoriale),
L’ esposizione cronica all’ etanolo risulta nell’ accumulo del grasso nel fegato (cirrosi) che può portare anche a deficienza mentale. Gli effetti sono dovuti in parte ai metaboliti, acetaldeide e acido acetico. Questo è percepibile dai sintomi che abbiamo dopo essere stati ubriachi (postumi di sbornia). Anche gli alcaloidi stimolanti e narcotici come la nicotina agiscono principalmente al sistema nervoso centrale. Un narcotico è una droga che allevia il dolore e stordisce i sensi (repressione del CNS), ma questo termine rappresenta una categoria generale di alcaloidi il cui più famoso è la cocaina.
La cocaina è un narcotico anche se inizialmente funge da stimolante. Viene estratta dall’ Erythroxylon Coca, una painta che nasce in Peru ed Ecuador che viene utilizzata dalla popolazione per aumentare la resistenza al clima e alle interperie. La cocaina produce un altro grado di euforia, tuttavia si degrada nel sangue in meno di un ora, per cui l’ utilizzatore deve assumerne ogni 40 minuti circa per non perdere l’ effetto. Avendo funzioni esteree, la cocaina, viene idrolizzata nello stomaco:
Possiamo fare un ulteriore distinzione: Tossicità non specifica: dove non c’è un target biochimico specifico; Tossicità specifica: nella quale si instaura un vero e proprio processo biochimico. Le specie appartenenti alla prima categoria, non causano rottura o formazione di legami, ma deprimono il metabolismo dell’ essere vivente (narcotizzazione). Un esempio di una sostanza siffatta è il cloroformio, l’ etere dietilico, ovvero sostanze dette anestetiche. In base a quanto detto l’ intossicazione vera e propria si ha quando viene ad essere colpito un target biologico. Molte sostanze chimiche causano tossicità non specifica, e droghe come barbiturici, e narcotizzanti, sono osservate in una grande quantità di organismi.
Tuttavia, al contrario di ciò che si pensa, molte sostanze chimiche possiedono una tossicità specifica che risulta da interazioni recettori biologici. La cocaina come la maggiorparte dei narcotici, causa perdita di peso, insonnia, scarso interessamento per il cibo e dipendenza fisica. Può essere anche allucinogena; E provocare sensazione di formicolii e psicosi. Chiaramente ciò è dovuto all’ intossicazione del sistema nervoso centrale. Altri agenti molto pericolosi sono gli insetticidi a base di composti organofosforici. In alcuni casi l’ esposizione prolungata a queste sostanze porta alla morte immediata.
La pelle può essere considerata come un involucro continuo e flessibile che protegge il gli organi del corpo e i loro componenti, e serve da barriera tra questi e l’ ambiente esterno. Ha anche lo scopo di regolare • la temperatura interna, • sensore del mondo esterno, • e spesso è la prima linea di difesa contro gli agenti tossici. Nei vertebrati lo strato esterno è costituito da cellule impaccata ad alta densità e molto dure che sono continuamente escoriate alla superficie e rimpiazzate dall’ epidermide sottostante La pelle di un uomo adulto è di circa 1. 5 -2 m 2 e rappresenta il 10 % del peso del corpo. Come in altri modi di esposizione, la pelle assorbe le sostanze tossiche in base alla dose e alla Kp.
La probabilità di assorbimento varia a seconda Della disposizione dell’ organo nel corpo (cuoio capelluto > mano …) e in relazione alla specie ( rana > coniglio > ratto > maiale > scimmia > uomo). L’ assorbimento avviene per semplice diffusione dalla membrana iniziale dell’ epidermide o attraverso i peli fino ai follicoli degli stessi nella zona più interna.
I liquidi hanno una maggiore superficie di contatto però c’è da tener conto del fatto che la pelle possiedo un sottile strato di grasso (sebo) generato dalle ghiandole sebacee che lascia passare sostanze apolari mentre repelle quelle polari. Sotto la pelle vi sono molti capillari e vene dalle quali può fluire l’ agente tossico. Molte sostanze come i sali di Nickel, la benzocaina Anestetico per uso topico
e le resine epossidiche causano dermatite da contatto, con arrossamenti della pelle (eritema), o rigonfiamenti (edema), e fioritura di vesciche. Acidi organici come l’ acido acetico e il fenolo danno luogo a dolorose bruciature, perché essendo lipofilici vengono facilmente assorbiti e possono reagire anche all’ interno del tessuto. In base a ciò è molto importante conoscere la natura chimica delle sostanze che hanno causato intossicazione.
Il sistema respiratorio L’ ossigeno respirato dagli organismi viventi viene assorbito dal sangue e poi rilasciato nei tessuti come carburante per il metabolismo ossidativo. Il sistema respiratorio dei mammiferi è composto principalmente dalla trachea, dai condotti bronchiali, di diverse dimensioni, e infine gli alveoli attraverso i quali l’ aria si diffonde nel sangue.
TRATTAMENTO METALLI PESANTI CON AGENTI CHELANTI Molte esperienze cliniche dimostrano che la prognosi di intossicazioni umane croniche e acute causate da vari metalli possono essere considerevolmente migliorate attraverso la somministrazione di adatti agenti chelanti. Naturalmente, i risultati della chelazione in vivo potranno essere differenti sia qualitativamente che quantitativamente da quelli ottenuti attraverso reazioni svolte tra metalli e leganti in laboratorio. Infatti nelle condizioni in vivo abbiamo molti parametri che influenzano la nostra reazioni quali • condizioni biologiche, • competizione tra metalli e leganti, • la dinamica della circolazione sanguigna • ed il metabolismo degli agenti chelanti stessi.
Origini del trattamento con agenti chelanti L’ utilizzo di agenti chelanti comincia circa 100 anni fa attraverso la collaborazione tra Alfred Werner di Zurigo e Paul Ehrlich di Francoforte al fine di trovare composti all’ arsenico a bassa tossicità per il trattamento della sifilide. Il primo diretto uso avvenne nel 1941 con Kety e Latonoff, i quali cercarono di usare citrato come antidoto contro l’ intossicazione acuta da piombo. Nonostante il citrato è instabile metabolicamente parlando, questo tentativo portò allo studio di nuovi trattamenti in riguardo alle intossicazioni da metalli pesanti.
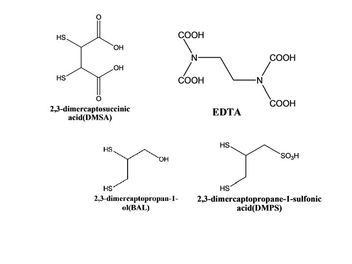
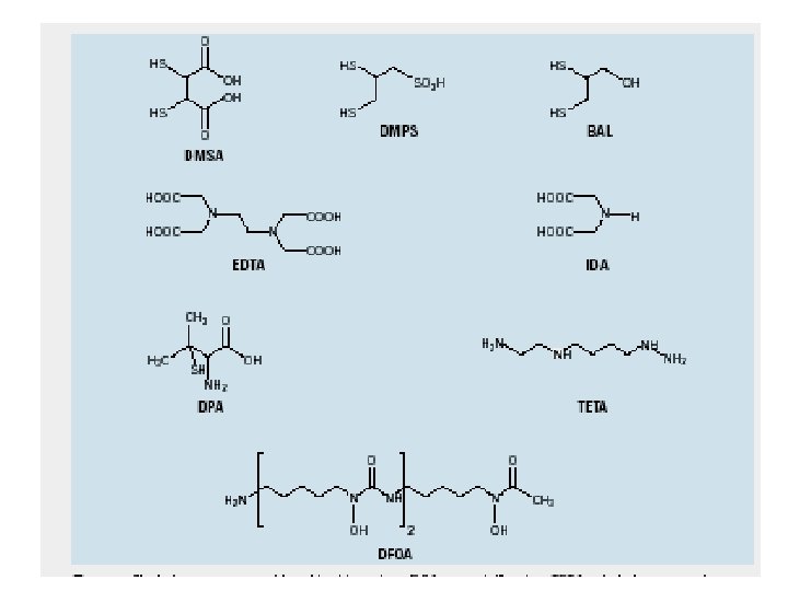
Durante la seconda guerra mondiale il BAL dimercaptolo viene utilizzato come antidoto all’ arsina vinilica utilizzata come gas da guerra. Un altro chelante che venne utilizzato fu l’ EDTA inizialmente utile nelle intossicazioni da piombo e per lo smaltimento di radionuclidi dall’ organismo. In tale utilizzo venne poi sostituito dall’ acido dietilenetriamminopentacetico siglato come DTPA.
Uno svantaggio nell’ utilizzo dell’ EDTA è che risulta poco assorbito dall’ intestino per cui la sua somministrazione deve avvenire in maniera lenta e per via endovenosa. Il vantaggio deriva dall’ azione extracellulare e dalla stabilità dei complessi con i metalli; possono però essere legati metalli fondamentali per l’equilibrio biologico come il calcio per cui dobbiamo stare attenti alle concentrazioni che utilizziamo.
Un altro chelante molto interessante è il TETA Triethylenetetramine che è considerato il primo farmaco utile per la cura delle malattie da Cu, sebbene in Cina un largo numero di persone affette dalla sindrome di Wilson sono state trattate con DMSA, apparentemente con buoni risultati. Un ulteriore passo avanti fu la dimostrazione nel 1962 del fatto che la deferossiammina (DFOA) aumentava la secrezione di ferro attraverso l’ apparato urinario nei pazienti affetti da Talassemia.
Nuovi agenti chelanti Inizialmente il BAL fu considerato un antidoto generico nell’ avvelenamento da metalli dovuto alla sua apparente alta efficacia nelle intossicazioni umane da arsenico e da mercurio inorganico e anche al limitato numero di alternative accettabili. Comunque il BAL è lontano dall’ essere un chelante ideale per via della sua tossicità e dai frequenti effetti collaterali ed inoltre perché nel trattamento da arsenico e mercurio organico si riscontra un elevato deposito di BAL a livello celebrale. DMSA e DMPS risultano essere meno tossici se presi per via orale. Il DMPS non ridistribuisce arsenico, piombo, o mercurio inorganico al cervello e la chelazione del DMSA diminuisce la deposizione celebrale del piombo e del metilmercurio.
Le intossicazioni da metallo che avvengono più frequentemente sono quelle di bambini per ingestione di compresse al ferro, intossicazioni da bismuto, oro e composti al platino dovute a trattamenti medici, intossicazioni da parte di pesticidi a base di tallio e arsenico, intossicazione dovute a varie forme di mercurio, intossicazioni croniche da Cadmio dovute ad inquinamento o esposizione nell’ ambiente di lavoro; infine il maggior numero di intossicazioni sono dovute all’ avvelenamento da parte di piombo di bambini e lavoratori. Il numero di agenti chelanti usati attualmente come potenziali medicinali o medicinali veri e propri è sorprendentemente basso. Per cui è di particolare interesse ricavare nuovi agenti a bassa tossicità che possono essere utilizzati per il trattamento di intossicazioni da metalli pesanti.
Principi chimico-biologici per la chelazione in vivo Per effettuare una chelazione in vivo dobbiamo controllare tre caratteristiche importanti: • La tipologia del metallo da catturare, • La natura dell’ agente chelante • e la risposta dell’ organismo. Un importante effetto del chelante è quello di ridurre la tossicità del metallo, poiché formando un complesso stabile protegge eventuali obiettivi biologici e ciò riduce la tossicità.
Ciò nonostante può anche succedere che ne aumenti la tossicità nel caso in cui riesca a proteggere il metallo dalle difese immunitarie del sistema biologico stesso. Un esempio è quello riguardante la chelazione del ferro in una tossicità acuta: il DFOA ricopre completamente la superficie dello ione Fe 3+ durante la formazione del complesso così da impedire reazioni con radicali liberi ferro-catalizzate. Al contrario l’ EDTA non è in grado di rivestire la superficie dello ione, ma forma un complesso aperto (complesso basket) in grado di aumentare l’ effetto catalitico del metallo.
In base alla lipofilicità del complesso metallo-legante, gli agenti chelanti sono in grado di cambiare la distribuzione dell’ organometallico, così da poterne anche aumentare la tossicità. L’uso orale di agenti chelanti è giustificato nel caso in cui i tempi di assorbimento del chelante sono paragonabili a quelli del metallo. Il tetrethylthiuram disulfide (TTD) viene utilizzato nella cura dell’ alcolismo.
Tale composto viene metabolizzato molto rapidamente già nell’ intestino. Questo agente chelante però favorisce sia l’ assorbimento intestinale che l’ accumulo celebrale Per ovviare a ciò dobbiamo avere degli agenti chelanti in grado di formare complessi metallici idrofilici, idrofilici poiché possono ridurre efficientemente l’ assorbimento intestinale del metallo e la tossicità locale migliorando quindi la prognosi nei primi momenti successivi all’ intossicazione orale, . Ciò è stato dimostrato per i complessi del Cd(II) con DTPA. Inoltre, il DMSA somministrato oralmente riduce l’ assorbimento renale e la tossicità del Cd orale.
Parametri che influenzano la complessazione in vivo E’ chiaro che in laboratorio la reazione tra un legante ed un metallo è governata da cinetica e termodinamica della stessa. In vivo ovvero all’ interno di un organismo dobbiamo tener conto anche di altri parametri. Il nostro organismo possiede leganti adibiti al trasporto di metalli per cui possono esserci delle competizioni con l’ antidoto che andiamo ad utilizzare. Un altro fattore di cui dover tener conto, è la presenza anch’esso come competitore del solvente. L’ eventuale formazione di un nuovo complesso, in seguito alla distruzione di uno preesistente, avverrà molto lentamente.
Per cui quando dobbiamo scegliere un chelante dobbiamo tener presenti diverse caratteristiche quali: • gruppo di donatori con lone pair liberi; • ingombro sterico; sterico • lipofilicità; • stabilità metabolica; • capacità di espulsione dall’ organismo.
I meccanismi che si mettono in moto nell’ organismo consistono principalmente in errori nel trasporto del metallo tossico, in una sorta di reazione passiva o in sequestri del metallo da parte di specifiche proteine quali la trasferrina, la ferritina, la ceruloplasmina, la metallotionina, o addirittura nella sua deposizione; Il piombo nelle ossa, il mercurio assorbito per inalazione o ingestione si deposita a livello celebrale, il cadmio nella corteccia renale. Il metallo libero all’ interno dell’ organismo si trova in concentrazioni minime se si considera l’ alto numero di leganti biologici presenti, cosicché la complessazione in vivo tra metallo e legante “terapeutico” consiste principalmente in uno scambio di leganti.
Possiamo studiare la possibilità di tale scambio e la velocità, velocità mediante le costanti di stabilità in vivo misurate in base alla concentrazione del Ca dei singoli complessi 2+ e quindi attraverso i vari equilibri che vengono a formarsi tenuto conto anche del p. H. Ioni metallici e leganti Hard e Soft Secondo la teoria H/S dettata da Pearson, gli ioni metallici e gruppi donatori (leganti) preferiscono legarsi tra loro se simili. I gruppi nei quali possiamo dividere metalli e leganti sono tre: Hard, Intermedi e Soft. In vivo dobbiamo tener conto anche di altri parametri come il diametro ionico del metallo, metallo il suo numero di coordinazione preferito e anche la sua tendenza a partecipare a reazioni di tipo ossidoriduttivo oltre che dal suo numero di ossidazione
Tutte queste caratteristiche sono in grado do spiegarci, a seconda del metallo che stiamo analizzando, con che tipo di intossicazione abbiamo a che fare. Ad esempio i metalli quali Cu, Fe e Ni catalizzano ossidazioni lipidiche, i Cr. O 42 - svolgono azioni fortemente aggressive localizzate, mentre l’ Hg 2+ ed il Cu 2+ legandosi ai gruppi SH inibiscono gli enzimi.
BAL Il BAL ha un basso valore di LD rispetto agli altri leganti chelanti attualmente disponibili ( LD e’ un indice di tossicità acuta che per il BAL è di 9 -180 mg/Kg mentre per i composti quali DMSA ed DMPS si aggira intorno ai 2, 48 g/Kg e 1, 1 -1, 4 g/Kg rispettivamente). E’ instabile, suscettibile di ossidazione e quindi di difficile mantenimento ai fini di un pronto utilizzo. Ha una bassa efficacia terapeutica nella maggior parte dei casi e per via della sua elevata tossicità il BAL può essere utilizzato solamente per brevi trattamenti di intossicazioni acute
Può essere somministrato esclusivamente per iniezione intramuscolare. Per via della sua lipofilicità viene normalmente iniettato attraverso soluzione di olio di arachidi. Inizialmente bisogna però ricorrere ad un anestesia dal momento che la sua somministrazione è altamente dolorosa. La maggior parte dei soggetti trattati presenta effetti secondari indesiderati, quali nausea, vomito, sudorazione, febbre alta, ipertensione e tachicardia. Da studi di cinetica farmacologica è stato dimostrato che questo viene secreto sotto forma di ditioli e glucoronidi.
DMSA E DMPS Entrambi questi due chelanti sono disponibili sotto forma di tavolette da utilizzare per via orale e sono anche stabili per lungo tempo a temperatura ambiente, ambiente inoltre il DMPS è anche disponibile disidratato per una somministrazione parenterale previa idratazione. Entrambi questi medicinali vengono assorbiti in certa misura nel tratto intestinale e si distribuiscono nel volume intracellulare. La via primaria dell’ escrezione è quella urinaria in secondo luogo attraverso il plasma ed il sangue intero, il tempo di semivita attraverso sangue e plasma del DMSA nell’ uomo è di circa 4 h mentre per il DMPS si parla di tempi maggiori e cioè di circa 9 -10 h.
Dopo una dose di DMSA somministrata ad un uomo, più del 95 % di quella presente nel sangue è legata in modo covalente alle proteine, principalmente all’ albumina. Più del 90 % del DMSA viene escreto attraverso le urine legato alla cisteina con ponti zolfo. Anche il DMPS è legato all’ albumina nel siero, comunque le escrezioni urinarie svelano la presenza di DMSA aciclico o sotto forma di omeopolimeri ciclici con totale assenza di legami DMSA-cisteina. La tossicità acuta di entrambi i composti è bassa.
Fino ad oggi si è riscontrato un solo caso di overdose di DMSA: una bambina di 3 anni ingerì capsule contenenti 2, 4 g di DMSA. Effetti collaterali con l’ utilizzo di questi medicinali sono dolori gastrointestinali, reazioni allergiche a livello cutaneo, lievi emicranie ed elevati valori enzimatici del fegato. Per entrambi i composti i sintomi possono decrescere attraverso una somministrazione costante.
Trattamento di composti Organo. Stannici I composti organostagno sono altamente neurotossici, provocano l’ atrofia del timo e danni al condotto biliare. Il metabolismo coinvolge reazioni di de-alchilazione sottosequenziali; in accordo, l’ esposizione allo stagno tri- o tetra-alchilico risulta nell’ esposizione sistematica anche a composti mono e di-alchilici. Anche se il DMSA non riduce la mortalità nei topi dallo stagno dibutilico, esso riduce i danni al timo ed al condotto biliare in maniera più efficiente di quanto faccia il BAL.
Due donne vennero avvelenate dopo aver bevuto del vino rosso con stagno trimetilico aggiunto a scopo omicida. Una donna morì dopo una settimana a causa di danni a molti organi nonostante chelazione intravenosa di DMSA. L’ altra subì un trattamento di chelazione per via orale con DMSA per parecchie settimane, migliorando apparentemente la sua condizione clinica gradualmente si ristabilì dopo alcuni mesi da gravi sintomi neuropsichiatrici.