Symmetry and Symmetry Violation in Particle Physics Lecture





































































- Slides: 69
Symmetry and Symmetry Violation 对称 in Particle Physics 违反 Lecture 3 March 21, 2008
Summary Lecture 2 • Antimatter predicted by Dirac & discovered by Chao & Anderson – 1933 Nobel prize Dirac – 1936 Nobel prize Anderson (but not Chao) • Electron & positron have opposite parity • Charge “reversal” Charge “conjugation” – Particle Antiparticle (not just charge) • C=+1 even # of g’s; C=-1 odd # of g’s • p and K mesons = qq with L=0, S=0 & P=-1
Summary Lecture 2 (pg 2) • t+ = p+p+p- & q+ p+p 0 puzzle led Lee & Yang to question L-R symmetry of nature • C. S. Wu discovered P viol. in Co 60 Ni 60 e-n – 1957 Nobel Prize to Lee & Yang (but not Wu) • t+ and q+ are the same particle, the K+ meson • C & P violation differences seen in m-/m+ decay – But CP seems okay • Large matter vs antimatter asymmetry in the present-day Universe implies CP is violated. • K 0 transitions possible @ 2 nd-order W. I.
C, P Reminder & CP for p and K mesons Particle P C CP |p+ |p 0 -1 -1 +|p- +|p 0 -|p- -|p 0 |p- -1 +|p+ -|p+ |K+ |K 0 -1 -1 -1 +|K- -|K 0 +|K+ -|K- +|K 0 |K- -1 +|K 0 -|K+
My tentative plan for this class is as follows: Lecture 1. Definition of symmetry, why they are important in physics. Symmetries of the laws of nature. Relation of symmetry and conservation laws. Discrete symmetries C, P & T. Violation of parity (P) in beta-decay Lecture 2. Antimatter, and matter-antimatter symmetry. Quark content of hadrons & discrete symmetries of hadrons. Violation of parity (P) and charge conjugation (C ) symmetry in beta-decay Particleantiparticle mixing. Lecture 3. K 0 mixing. CP violation in K decay. Difficulties with incorporating CP violation into a physics theory. KM 6 -quark mo CP violation. Role of B mesons in theory Lecture 4. Studying CP violation in the B meson system. Experimental techniques and results. What is left for the future. Lecture 5. Exam
Discovery of CP violation in the neutral K meson system outline • Neutral K meson decay mechanisms • K 0 – K 0 mixing KS and KL mesons • Discovery of KL p+p • CP violation in KL p+e-n/p-e+n decays • “Direct” CP violation in KL pp decays
K 0 p+p- decays via weak interaction - p d K 0 d s u DS=-1 W. I. W+ d u p+
K 0 also decays to p+p+ p d K 0 d S u DS=1 W. I. W- u d p-
K 0 possible as a 2 nd order weak interaction process |DS|=2 K 0 p+ d u d S W+ W. I. W- s u p- d d K 0 This is a so-called “long-range” process. It occurs on a size scale determined by the p mesons: ~ 10 -15 m 1 fermi
K 0 in short-range quark |DS|=2 W. I. S u c WK 0 d t W. I. d W+ W. I. u c K 0 s t This is a so-called “short-range” process. It occurs on a size scale determined by the t-quark: ~ 10 -18 m 10 -3 fermi
What happens when two identical systems are coupled? Energy transfers back-and-forth between the two oscillators
Steady-state “normal modes”
. . Shrodinger Equation: H Y = EY H Y Y If CP symmetry holds:
Eigenvalues and Eigenstates 特征值 Find the eigenvalues and eigenvectors for: Answer Homework: Please check that these answers are correct
In standard (textbook) notation
If CP symmetry is good:
CP of K 1 and K 2 Recall: 1 + = P C CP = -1
K 1 decays CP= +1 K 1 + p p ? OK CP= (-1)x(-1) = +1 CP +1 K 1 p + p - p 0? CP = (-1)x(-1) = -1 NG
K 2 decays CP= -1 K 2 + p p ? NG CP= (-1)x(-1) = +1 CP -1 K 2 p + p - p 0? CP = (-1)x(-1) = -1 OK
K 1 & K 2 lifetimes K 2 + p 相空� 0 p p has little phase space QK 2 = MK – 3 Mp 80 Me. V K 1 p + p - has more phase space QK 1 = MK – 2 Mp 215 Me. V Easier for K 1 to decay t. K 1<<t. K 2
1956: Search for long-lived K 0 Brookhaven-Columbia Expt
Can you see it?
KS & KL mesons Two neutral K mesons were discovered: K S p +p - t. KS 0. 1 nanosecs ( 10 -10 s) 500 x bigger K L p +p -p 0 t. KS 50 nanosecs ( 5 x 10 -8 s) (Are they the CP eigenstates K 1 and K 2? )
KL & KS mesons in e+e- annihilation p. S = 110 Me. V <l> = 6 mm e+ p+ 510 Me. V p. L = 110 Me. V <l> = 3. 4 m p 0 p- KL = K-long KS = K-short p+ p- f 510 Me. V e- f = ss M(f) = 1020 Me. V
KLOE Experiment in Italy KL 2 m KS In this event the KL only travels ~1 m before it decays
Usually, the KL traverses to entire 2 m radius of the drift chamber “crash” KKL L“crash” b= 0. 22 (TOF) 2 m K S p -e +n KS
Neutral K mesons “Basis” sets These have a well defined quark structure K 1 -K 2 K 0 -K 0 Flavor States CP eigenstates These are the Particles that exist in Nature KS-KL Mass eigenstsate are these the same?
Does KS=K 1 & KL=K 2? (i. e. is CP conserved? ) These are the particles that are observed in nature express them in terms of K 1 and K 2:
inv er t
e If CV is conserved: e=0, KS=K 1 & KL=K 2
Does KL + p p ? Remember, p+p- has CP=+1 Forbidden(? ) |e|2 =0 if CP is conserved
Christenson-Cronin-Fitch-Turlay Experiment (1964) p+ KL p-
p+p- “invariant mass” M(p+p-)<M(KL) M(p+p-)=M(KL) KL p+ |e|2 = 4 x 10 -6 small, but not 0 q p- p+ M(p+p-)>M(KL) cosq
CP is violated!! James Cronin Val Fitch 1980 Nobel Prize for Physics No prizes for Christenson or Turlay
特定 Flavor-non specific K 0 (K 0) decays Decays that are equally likely for K 0 and K 0 0 K + p p K 0 p + p 0 K + p 0 pp K 0 p + p - p 0 çIf you see p+p-, you don’t know if it was from a K 0 or a K 0 çSame for p+p-p 0, (& p 0 p 0 p 0)
特定 Flavor specific 0 K 0 (K ) decays Decays that can only come from a K 0 or K 0, but not both d + d p p u d K 0 W. I. s W+ DS=-1 DQ=-1 0 K p + e n If you see p-e+n, you know it must be from a K 0, not K 0 n K 0 s W. I. W- e+ Rule: only DS=DQ DS=+1 DQ=+1 n e- K 0 p + e - n If you see p+e-n, you know it must be from a K 0, not K 0
K 0 & K 0 in terms of KS & KL inv er t
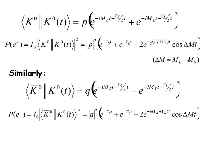
Start with a K 0 at t=0 KS & KL have different t-dependence using and
Similarly:
0 0 K K Expt NA 48 (CERN) Oscillations GS>>GL (GS 500 x. GL) K 0 CP is violated in KL p+e-n/p-e+n decays t=t/g (“proper time”)
Search for direct CPV in KL pp In 2002, after 20 yr searches, NA 48 (CERN) & KTe. V (Fermilab) found direct |DS|=1 CPV in K 2 pp Is this true? Can there be a “direct” CP violation in |DS|=1 K 2 pp? Forbidden(? ) CP violation from |DS|=2 transition Mass Matrix = e’ 1. 6 x 10 -3 Small, but establishes existence of “direct” |DS|=1 CP violation. x e
CPV in neutral K meson system summary • Neutral K mesons mix: K 0 • CP is violated in the K 0 -K 0 mass-mixing matrix – scale e 2 x 10 -3 • CPV is seen in flavor non-specific & flavor specific modes – KL pp (CPV e 2 4 x 10 -6) – K L p + e -n / p-e+n (CPV e = 2 x 10 -3) • Direct CP is seen in KL pp decays – scale = e’ = 1. 6 x 10 -3 e
CP is violated in the Weak Interactions Observation of both Mass-Matrix CPV (|DS|=2) & direct CPV (|DS|=1) rule out theories where CPV comes from a previously unknown “fifth” force characterized by |DS|=2
C P and the forces of Nature Slide from last weak Force Gravity Electro-magnetic Strong-nuclear Weak-Interaction C P CP √ √ √ ╳ √ √ √ OK? ╳
Next: • How are CP-violating asymmetries generated in QM? • How does CP violation fit into the Standard Model for particle physics? – Brief review of flavor mixing/GIM-mechanism – Kobayashi 6 -quark model
Generating CPV asymmetries in QM
CP: matter antimatter “charge” CP operator: CP( q g q W )= some basic process q’ g* q W† mirror For CPV: g g* (charge has to be complex)
QM: processes go as |A|2 • Phases tend to cancel out in rate calculations g*g gg* 2 2 q’ g* = q q J J† mirror even for g* = g (i. e with CPV) matter- antimatter symmetry is ~“automatic”
Phase measurements in QM: need interference 干� • need a process with 2 competing mechanisms: e s a e h p gl an A & Beif: |A+B|2=|A|2+|B|2+2|A|B|cosf • Amplitudes should have similar magnitudes: 2|A|B|cosf |A|2+|B|2 Relative size of the interference effect if |A|>>|B| 2|B| |A| cosf Small number
Even this doesn’t work for CPV!! A+B f B A A+B A |A+B| = f B |A+B| l! l i t s matter antimatter symmetric
need a “common phase” d between A & B 合用 same sign eg A=real: B = |B|eid+if A+B B A & B = |B|eid-if f A+B d f d A |A+B| = |A+B| matter antimatter difference B
CP violating asymmetries in QM • Even if CP is violated, generating matter-antimatter differences is hard – need a CP-violating phase (f) – need 2 (or more) interfering amplitudes – + a non-zero “common” phase (d) (often called a “strong” phase)
Common and weak phases “Common” (strong) phase (d): same sign for matter & antimatter CP conserving Weak phase (f): opposite sign for matter & antimatter CP violating B = |B|eid-if |B|eid+if A+B B f d A+B A f d B
How does CPV fit into the Standard model? Clue: CPV is seen in strangeness-changing weak decays. It must have something to do with flavor-changing Weak Interactions
Flavor mixing & CP Violation
Brief review of weak int’s in the 3 -quark era 1964 --1974 3 quarks: q=+2/3 |DS|=1 q=-1/3 s 4 leptons: Weak interactions
Problems Problem 1: Different weak interaction “charges” for leptons & hadrons: Fermi Constant d u Gd 0. 98 GF d n m- Gd u GF Kp nm s s u Gs 0. 21 GF Gs u p 0
Cabibbo’s sol’n: flavor mixing Weak Int flavor state Flavor mass eigenstates d = a d + b s GF d’ u = W- a=cosqc=0. 98 a. GF d b=sinqc=0. 21 u + W- b. GF s u W- Unitarity: |a|2 + |b|2 = 1 a=cos qc; b = sin qc qc=“Cabibbo angle”
Missing neutral currents Problem 2: no flavor-changing Discovered “neutral currents” seen. At CERN GN d, u s d, u K- flavor-preserving neutral currents (e. g. n. N n. X) are allowed d pflavor-changing neutral currents (e. g. K p l+l-) are strongly supressed
GIM sol’n: Introduce 4 th quark 2 quark doublets: charmed quark Weak eigenstates Mass eigenstates
d’ & s’ are mixed d & s 4 -quark flavor-mixing matrix Weak eigenstates Mass eigenstates
Mixing matrix must be Unitary UU† = 1 |a|2 + |b|2 = 1 & a*b - ab* =0
Charged currents (u-quark) |DS|=1 a. GF d(s) GF u(c) W- modified by b. GF s(d) a GF u(c) W- modified by b
Charged currents (c-quark) |DC|=1 |DS|=1 |DC|=1 |DS|=0 -b. GF d GF c W- modified by s b a. GF GF c W- modified by a
Flavor preserving Neutral Current 1 = |a|2+|b| 2 G d, (s) =1 OK d, (S) N Z 0 =0 =0 =1 =1 From Unitarity
Flavor changing Neutral Current =0 G (a*b+ba*) N d(s) s(d) Z 0 =0 =1 =0 From FCNC forbidden by Unitarity GIMMechanism
GIM Mechanism FCNC forbidden by Unitarity if quarks come in pairs of 2 GIM: Glashow Iliopoulis Maiani Glashow won 1979 Physics Nobel prize No prize for Iliopoulis & Maiani
Next Friday: Incorporating CPV into flavor mixing
Summary Lecture 3 • CP is violated Weak-Interactions – Mass-matrix induced; scale e 2 x 10 -3 – Direct CPV; scale = e’ = 1. 6 x 10 -3 e • Observing CPV requires: – Two interfering amplitudes – One with a CP-violating weak phase – Another “common” or “strong” phase • In the W. I. , the d and s quark mix d’ & s’ – d’ =cosqcd +sinq s; s’ =-sinqcd +cosqcs – qc 120 is the “Cabibbo angle • If all quarks are in pairs, FCNC = 0 by Unitarity – (GIM Mechanism)