QUMICA ORGNICA I REPRESENTACIN GRUPOS FUNCIONALES Y NOMENCLATURA
































- Slides: 32
QUÍMICA ORGÁNICA I: REPRESENTACIÓN, GRUPOS FUNCIONALES Y NOMENCLATURA GENERAL DE COMPUESTOS ORGÁNICOS MDQ. , Juan Gabriel Perilla Jiménez MDCN - DOCENTE LFMN
CADENAS DE CARBONO Cadenas abiertas o alifáticas Cadenas lineales Cadenas ramificadas Cadenas cíclicas Alicíclicas Aromáticas Heterocíclicas
CLASIFICACIÓN DE CARBONOS
REPRESENTACIONES DE LAS MOLÉCULAS EN QUÍMICA ORGÁNICA Tipos de fórmulas Fórmula Molecular C 2 H 6 O C 4 H 10 Fórmula Estructural Desarrollada Condensada H H H – C – C – H CH 3 – CH OH – CH 2 – CH 3 H OH H H Esqueleto
COMPUESTOS ORGÁNICOS
GRUPOS FUNCIONALES
GRUPOS FUNCIONALES Y NOMENCLATURA
PRIORIDAD DE GRUPOS FUNCIONALES Función Nom. grupo Grupo Nom. (princ. ) Nom. (secund) Ácido carboxílico Éster carboxilo R–COOH éster R–COOR’ Amida amido R–CONR’R amida amido Nitrilo nitrilo ciano (incluye C) Aldehído carbonilo R–C N R–CH=O …al formil (incluye C) Cetona carbonilo R–CO–R’ …ona oxo Alcohol hidroxilo R–OH …ol hidroxi Fenol fenol –C 6 H 5 OH …fenol hidroxifenil ácido carboxi (incluye C) …oico …ato de …oxicarbonil …ilo
PRIORIDAD DE GRUPOS FUNCIONALES Función Nom. grupo Grupo Nom. (princ. ) Nom (sec) Amina (primaria) Amino (secundaria) “ (terciaria) “ R–NH 2 …ilamina amino R–NHR’ …il…ilamina R–NR’R’’ …il…il…ilamina Éter Oxi Hidr. etilénico alqueno Hidr. acetilénico alquino R–O–R’ C=C C C …il…iléter …eno …ino oxi…il …en Nitrocompuestro Nitro Haluro halógeno Radical alquilo R–NO 2 R–X R– nitro… X… …il nitro X …il Ino (sufijo)
NOMENCLATURA DE COMPUESTOS ORGÁNICOS PREFIJOS SEGÚN EL NÚMERO DE CARBONOS Ejemplos
GRUPOS ALQUÍLICOS O RADICALES
Reglas IUPAC para nombrar (alcanos) 1. Encuentre y nombre la cadena continua más larga de carbonos. 2. Identifique y nombre los grupos unidos a esta cadena. 3. Numere la cadena empezando por el extremo más próximo a un sustituyente. 4. Designe la localización de cada grupo sustituyente por el apropiado número y nombre. 5. Construya el nombre, listando los grupos en orden alfabético. Los prefijos di, tri, tetra etc. , usados para designar varios grupos iguales, no se consideran en la ordenación alfabética.
EJEMPLOS Compuesto: Nombre: 3 -metilhexano Compuesto: Fórmula: 3, 4 -dicloro-4 -etil-5 -metilheptano
Reglas IUPAC para la nomenclatura de Alquenos 1. El sufijo -eno indica un alqueno o cicloalqueno. 2. La cadena principal debe incluir los dos átomos de carbono unidos por el doble enlace. 3. La cadena principal debe ser numerada por el extremo más próximo al doble enlace. Si la insaturación está en el centro de la cadena se empieza a numerar por el extremo que tenga más próximo un sustituyente. 4. El más pequeño de los números asignados a los átomos del doble enlace se utiliza para indicar la posición de la insaturación. Si hay más de un doble enlace el compuesto es denominado dieno, trieno, . . 5. En los cicloalquenos a los carbonos del doble enlace se les asigna los números 1 y 2. El número 1 puede ser determinado por la regla de los sustituyentes.
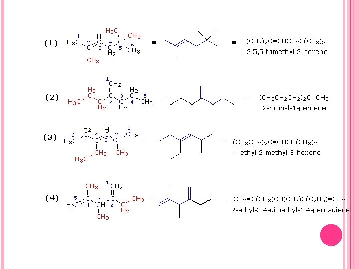
¿Cuál es el nombre de los siguientes alquenos? 1. - (CH 3)2 C=CHCH 2 C(CH 3)3 3. - (C 2 H 5)2 C=CHCH(CH 3)2 4. - 2. - (CH 3 CH 2)2 C=CH 2=C(CH 3)CH(CH 3)C(C 2 H 5)=CH 2
Reglas IUPAC para la Nomenclatura de Alquinos 1. El sufijo -ino indica alquino o cicloalquino. 2. La cadena principal debe contener a los dos carbonos unidos por el triple enlace. 3. La cadena principal debe ser numerada desde el extremo más próximo al triple enlace. Si el triple enlace está situado en el centro de la cadena se aplica la regla de los sustituyentes. 4. El menor número de los carbonos unidos por triple enlace debe ser usado como localizador de la insaturación. 5. Si están presentes varios enlaces múltiples, cada uno debe tener su localizador. Los dobles enlaces preceden a los triples en los nombres IUPAC, pero la cadena debe ser numerada a partir del extremo que tenga más próximo un enlace múltiple sea cual sea su naturaleza. 6. A causa de su carácter linear, los anillos que pueden acomodar un triple enlace deben tener al menos diez carbonos. En los cicloalquinos simples los carbonos unidos por el triple enlace son numerados con el 1 y el 2. El número 1 se determina por la proximidad de los sustituyentes.
Ejemplos alquenos y alquinos
ISOMERÍA Los isómeros son compuestos que tienen la misma fórmula molecular, pero diferente estructura o ubicación de sus átomos, por ello existen varios tipos.
ISOMERÍA ESTRUCTURAL Son isómeros que difieren entre sí en que sus átomos están unidos de diferente forma Isomería de cadena Isomería de posición Isomería de función - No todos los grupos están unidos a los mismos centros -Son moléculas muy diferentes tanto en sus propiedades físicas como químicas
ISOMERÍA DE CADENA Los isómeros de cadena difieren en la forma en que están unidos los átomos de carbono entre sí para formar una cadena ¿Cuántos isómeros tiene el butano? ¿Cuántos isómeros tiene el pentano?
ISOMERÍA DE POSICIÓN Los isómeros de posición difieren en las posiciones que ocupan sus grupos en la estructura carbonada Hay dos isómeros estructurales con la fórmula molecular C 3 H 7 Br Del alcohol con fórmula molecular C 4 H 9 OH se obtienen: Dos isómeros de posición Dos isómeros de cadena
En los derivados del benceno se dan casos muy importantes de isomería de posición Fórmula molecular C 7 H 8 Cl
ISOMERÍA DE FUNCIÓN Los isómeros de función difieren en sus grupos funcionales - La forma en que están unidos los átomos da lugar a grupos funcionales distintos Fórmula molecular C 3 H 6 O 2 -propen-1 -ol Fórmula molecular C 3 H 6 O 2
ESTEREOISOMERÍA
ESTEREOISÓMEROS CONFORMACIONALES La transformación de unos en otros consiste en giros de grupos en el espacio alrededor de enlaces sencillos SON ESTEREOISOMEROS NO AISLABLES POR SEPARADO A TEMPERATURA AMBIENTE O PROXIMA A ELLA La barrera energética a superar para la interconversion es baja
ENANTIOMEROS DOS ESTEREOISÓMEROS SON ENANTIOMEROS CUANDO UNO ES LA IMAGEN EN EL ESPEJO DEL OTRO Son imágenes especulares no superponibles
DIASTEROISOMEROS SON ESTEREOISOMEROS NO ENANTIOMEROS Uno no es la imagen en el espejo del otro
REFERENCIAS Mc. Murry, J. 2008. Química Orgánica. 7° edición. Learning Editores. Mexico. UNAD. 2014. Módulo de química orgánica. ¡GRACIAS!