Pengolahan Sinyal Digital Lecture 02 Ikhwannul Kholis S






































![Contoh Soal 1. 3 [Ujian Tengah Semester, 8 Oktober 2002] Diketahui sebuah sinyal analog Contoh Soal 1. 3 [Ujian Tengah Semester, 8 Oktober 2002] Diketahui sebuah sinyal analog](https://slidetodoc.com/presentation_image/23aa8a9609e6802ad4ae502f053fb876/image-39.jpg)


![Contoh Soal No. 1. 3 : [UTS 4 Oktober 2003] Suatu perangkat komunikasi digital Contoh Soal No. 1. 3 : [UTS 4 Oktober 2003] Suatu perangkat komunikasi digital](https://slidetodoc.com/presentation_image/23aa8a9609e6802ad4ae502f053fb876/image-42.jpg)
















- Slides: 58
Pengolahan Sinyal Digital Lecture 02 Ikhwannul Kholis, S. T. , M. T.
BAB 3 PEMROSESAN SINYAL DIGITAL Sejarah Perkembangan DSP Sinyal, Sistem dan Pemrosesan sinyal Elemen-Elemen Dasar DSP Klasifikasi Sinyal Konsep Frekuensi Analog to Digital Conversion (A/D C) Digital to Analog Conversion (D/A C)
SEJARAH PERKEMBANGAN Ø Kemajuan-kemajuan pesat di bidang : § Teknologi komputer digital § Pabrikasi rangkaian terintegrasi Ø Komputer digital + perangkat kerasnya (30 tahun yang lalu) § Besar dan mahal § Aplikasi bisnis § General purpose scientific computation Ø Teknologi rangkaian terintegrasi : § Medium-scale integration (MSI) § Large-scale integration (LSI) § Very-large-scale integration (VLSI)
Ø Komputer digital + perangkat kerasnya (sekarang) § Lebih kecil, lebih cepat dan lebih murah § Special purpose scientific computation Ø Kelebihan pemrosesan sinyal digital § Lebih presisi § Lebih fleksibel dalam perancangan sistem § Perangkat lunak dapat mengendalikan perangkat keras § Operasi-operasi terprogram (algoritma) Ø Kekurangan pemrosesan sinyal digital § Untuk sinyal dengan bandwidth sangat lebar § Real-time processing (Analog) § Optical signal processing § Terjadi distorsi § Proses pencuplikan (sampling) § Proses kuantisasi (quantization)
SINYAL, SISTEM DAN PEMROSESAN SINYAL Ø Sinyal § Besaran-besaran yang tergantung pada waktu dan ruang § Besaran fisis/non fisis (variabel tak bebas) § Waktu dan ruang (variabel bebas) Sinyal-sinyal dengan hubungan matematis yang jelas
§ Suara pembicaraan (speech signals) Sinyal –sinyal dengan hubungan matematis yang tidak jelas
§ Suatu segmen dari suara pembicaraan dapat direpresentasikan sebagai : § Sejumlah sinyal sinusoidal dengan amplituda, frekuensi dan fasa yang berbeda § Informasi yang terkandung di dalam suatu sinyal ditentukan dengan mengukur : § Amplituda(A) § Frekuensi(F) § Fasa( )
§ Sinyal electrocardiogram (ECG) § Sinyal elektronik yang berasal dari aktivitas jantung § Informasi mengenai kondisi dari jantung pasien § Sinyal electroencephalogram (EEG) § Sinyal elektronik yang berasal dar aktivitas otak § Sinyal-sinyal , , dan § Sinyal-sinyal dengan satu variabel bebas (waktu) § Suara pembicaraan, ECG dan EEG § Sinyal dengan dua variabel bebas (ruang) § Gambar (image signal)
Ø Sistem § Alat fisik yang melakukan suatu operasi pada suatu sinyal § Filter § Mereduksi (mengurangi) derau (noise) § Alat non fisik § Software (perangkat lunak) § Melakukan sejumlah operasi-operasi matematik § Algoritma Ø Pemrosesan sinyal (Signal processing) § Operasi-operasi yang dilakukan pada suatu sinyal
ELEMEN-ELEMEN DASAR DARI DSP Ø Sistem pemrosesan sinyal analog Sinyal input analog Pemroses sinyal analog Sinyal output analog Ø Sistem pemrosesan sinyal digital Sinyal input analog A/D Converter Sinyal input digital Pemroses sinyal digital D/A Converter Sinyal output analog Sinyal output digital
KLASIFIKASI SINYAL Ø Single-channel signal § Hanya terdiri dari satu sinyal (variabel tak bebas) § Nilainya bisa real atau kompleks Ø Multi-channel signal § Lebih dari satu sinyal (variabel tak bebas) § Gelombang gempa (3 channels) § ECG (3 channels/12 channels)
Gelombang gempa : § Primary wave (Longitudinal) § Secondary wave (Transversal) § Surface wave (Permukaan) Vektor
Ø Sinyal satu dimensi § Hanya fungsi dari satu variabel bebas Ø Multi-dimensional signal § Fungsi lebih dari satu variabel bebas Sinyal dua dimensi
Ø Sinyal tiga dimensi § Gambar televisi hitam-putih Ø Multichannel multidimensional signal § Gambar televisi berwarna
Ø Sinyal waktu kontinu § Speech signal Ø Sinyal waktu diskrit § Hanya ada pada waktu-waktu tertentu saja 0, 8 0, 64
Ø Sinyal berharga kontinu (Continuous-valued signal) § Dapat berharga berapa saja Sinyal berharga kontinu dan waktu diskrit
Ø Sinyal berharga diskrit (Discrete-valued signal) § Berharga pada beberapa kemungkinan saja Ø Sinyal digital § Waktu diskrit § Harga diskrit
Ø Sinyal deterministik § Harganya dapat diprediksi Ø Sinyal acak (random signal) § Harganya tidak dapat diprediksi
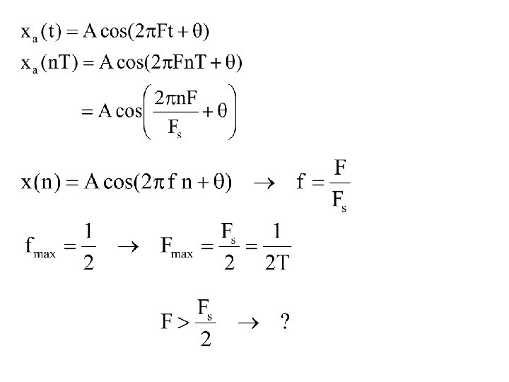
KONSEP FREKUENSI Ø Sinyal sinusoidal waktu kontinu t = waktu A = amplituda W = frekuensi sudut[radian/detik] = fasa [radian] F = frekuensi [siklus/detik, hertz (Hz)]
§ Untuk setiap frekuensi F xa(t) periodik § Sinyal-sinyal sinusoidal waktu kontinu dengan frekuensi berbeda dapat dibedakan § Frekuensi diperbesar Untuk suatu waktu tertentu jumlah perioda bertambah
Ø Sinyal sinusoidal waktu diskrit n = bilangan bulat (integer) A = amplituda = frekuensi [radian/sampel] = fasa [radian] f = frekuensi [siklus/sampel]
§ x (n) periodik hanya bila frekuensi f merupakan bilangan rasional Harga terkecil dari N disebut perioda dasar
§ Sinyal-sinyal sinusoidal waktu diskrit dengan frekuensi yang berbeda sebanyak 2 k adalah identik (tidak dapat dibedakan) § Frekuensi diperbesar harga maksimum f = 1/2
2 adalah alias dari 1
ANALOG TO DIGITAL CONVERSION Ø Sampling (pencuplikan) Ø Quantization (kuantisasi) Ø Coding (pengkodean) Xa(t) Sampler X(n) Quantizer Digital signal Xq(n) Coder Analog signal Discrete-time signal Quantized signal 01011
Ø Sampling (pencuplikan) § Sinyal waktu kontinu sinyal waktu diskrit § T = sampling interval § Fs = sampling rate (sampel/detik)
x 2(n) identik dengan x 1(n) 90 Hz, 130 Hz, …. juga alias 10 Hz F 2 (50 Hz) = alias dari F 1(10 Hz)
Alias dari Fo
Hubungan antara f dan F Fs/2 folding frequency
Contoh Soal 1. 1 Diketahui sebuah sinyal analog xa(t) = 3 cos 100 t a) Tentukan Fs minimum b) Bila Fs = 200 Hz, tentukan x(n) c) Bila Fs = 75 Hz, tentukan x(n) d) Berapa 0 < Fs/2 yang menghasilkan x(n) sama dengan c) Jawab: a) b) F = 50 Hz Fs minimum = 100 Hz
c) d)
Ø Teori Sampling § § Suara pembicaraan fi < 3 k. Hz Sinyal televisi fi < 5 MHz Fmaks = B Fs = sampling rate = ? Frekuensi Nyquist
Contoh Soal 1. 2 Diketahui sebuah sinyal analog xa(t) = 3 cos (2000 t) + 5 sin(6000 t) + 10 cos (12000 t) a) Tentukan frekuensi Nyquistnya b) Bila Fs = 5000 Hz, tentukan x(n) c) Tentukan xa(t) dari x(n) pada b) bila proses D/A Cnya sempurna Jawab: a)
b)
c)
Contoh Soal 1. 3 [Ujian Tengah Semester, 8 Oktober 2002] Diketahui sebuah sinyal analog xa(t) = 3 cos (50 t) + 10 sin(300 t) - cos (100 t) a) Tentukan laju pencuplikan minimum yang dibutuhkan untuk menghindari pengaliasan b) Bila sinyal tersebut dicuplik dengan laju 100 pencuplikan/sekon, berapa sinyal waktu diskrit yang diperoleh sesudah pencuplikan c) Bila sinyal tersebut dicuplik dengan laju 200 pencuplikan/sekon, berapa sinyal waktu diskrit yang diperoleh sesudah pencuplikan Jawab: a)
b)
c)
Contoh Soal No. 1. 3 : [UTS 4 Oktober 2003] Suatu perangkat komunikasi digital yang menggunakan 9 -bit A/D Converter beroperasi dengan kecepatan pengiriman data sebesar 10, 8 kbps. Sinyal analog yang akan dikirimkan adalah : xa(t) = - 2, 07 cos (960 t) + 1, 09 sin (1920 t) – 4, 25 cos (2880 t) 1, 84 sin (3360 t) + a). Hitung resolusinya b). Tentukan sinyal analog yang akan diterima ya(t) bila perangkat komunikasi digital ini menggunakan D/A Converter ideal
DIGITAL TONALOG TO CONVERSION Ø Kuantisasi sinyal amplituda kontinu Q = proses kuantisasi (rounding, truncation) xq(n) = sinyal hasil kuantisasi eq(n) = error kuantisasi
n x(n) 0 1 xq(n) (Truncation) 1, 0 1 2 3 4 5 6 7 8 9 0. 81 0, 729 0, 6561 0, 59049 0, 5311441 0, 4782969 0, 43046721 0, 387420489 0, 8 0, 7 0, 6 0, 5 0, 4 0, 3 xq(n) eq(n) (Rounding) 1, 0 0, 9 0, 8 0, 7 0, 6 0, 5 0, 4 0, 0 - 0, 01 - 0, 029 0, 0439 0, 00951 - 0, 031441 0, 0217071 - 0, 03046721 0, 012579511
L = level kuantisasi L = 11 = Quantization step = 0, 1
Ø Kuantisasi sinyal sinusoidal
xa(t) dianggap linier diantara level-level kuantisasi = waktu selama xa(t) berada di dalam level kuantisasi Error power (rms)
b = jumlah bit L = 2 b + 1 Xmaks-xmin = 2 A Signal-to-quantization ratio
§ Word length (jumlah bit) ditambah satu § Level kuantisasi menjadi dua kali lipat § SQNR bertambah 6 d. B Contoh : § Compact disk player § Sampling frequency 44, 1 k. Hz § 16 -bit sample resolution § SQNR =96 d. B
Ø Coding of Quantized Samples § Level kuantisasi L L bilangan biner yang berbeda § Word lengh b § 2 b L b 2 log L § L = 11 b = 4 bits 2 b bilangan biner berbeda
Contoh Soal 1. 4 : Diketahui sinyal waktu diskrit : Tentukan jumlah bit yang diperlukan oleh A/D converter agar resolusinya : a) = 0, 1 b) = 0, 02 Jawab: a) x(n) maksimum pada saat : x(n) minimum pada saat :
b)
Contoh Soal 1. 5 : Diketahui sinyal seismik analog dengan dynamic range sebesar 1 Volt. Bila sinyal analog ini dicuplik dengan frekuensi sebesar 20 sample/s menggunakan 8 -bit A/D converter, Tentukan : a) Bit rate (bps) b) Resolusi c) Frekuensi sinyal maksimum yang ada pada digital seismic signal Jawab: a)
Dynamic range = xmaks - xmin b) c)
Contoh Soal 1. 5 : Suatu jaringan komunikasi digital akan digunakan untuk mentransmisikan sinyal analog : Jaringan ini beroperasi pada 10000 bit/s dan setiap sampel dikuantisasi menjadi 1024 level tegangan yang berbeda. a) Tentukan frekuensi pencuplikan dan frekuensi folding b) Tentukan frekuensi Nyquist dari sinyal analog xa(t) c) Tentukan frekuensi-frekuensi pada sinyal waktu diskrit x(n) d) Hitung resolusinya
Jawab: a) b)
c)