Fsica I Dr Rogerio Enrquez Caldera Graficas Dr











![Los vectores son segmentos de recta dirigidos en [el plano o] el espacio representados Los vectores son segmentos de recta dirigidos en [el plano o] el espacio representados](https://slidetodoc.com/presentation_image_h/252b0bbe94b74aa2bdf05e7466e5e313/image-12.jpg)















































- Slides: 59
Física I Dr. Rogerio Enríquez Caldera (Graficas: Dr. Gustavo Rodríquez)
Vectores • • Definiciones Operaciones Básicas Componentes Vectores en 2 D y 3 D Magnitud Unidades Marcos de referencia
Notación • Se empleará la siguiente notación: – La recta de los números reales es denotada por ℝ – El conjunto de los pares ordenados (x, y) es denotado por ℝ² – El conjunto de las ternas ordenadas (x, y, z) es denotado por ℝ³
Vectores en 2 D y 3 D • Los puntos P en el plano se representan por pares ordenados de números reales – (a 1, a 2) • Los números a 1 y a 2 se llaman coordenadas cartesianas de P y P = (a 1, a 2) a 2 x a 1
Vectores en 2 D y 3 D • Los puntos P en el espacio se representan por ternas ordenadas de números reales z P = (a 1, a 2, a 3) a 3 – (a 1, a 2, a 3) • Los números a 1, a 2 y a 3 se llaman coordenadas cartesianas de P a 2 a 1 x y
Representación geométrica del punto (2, 4, 4)
Vectores • Vectores: segmentos de rectas dirigidos en el plano o el espacio con un inicio y un final • Los segmentos de recta que se obtienen uno de otro por traslación representan el mismo vector
Suma Vectorial y Multiplicación por un Escalar • Dadas dos ternas (a 1, a 2, a 3) y (b 1, b 2, b 3) definimos la suma vectorial como • Dadas un escalar y un vector (a 1, a 2, a 3) definimos el producto escalar por medio de
Propiedades de los Vectores • Elemento cero • Inverso aditivo
Propiedades de la Suma y Multiplicación Escalar
• Geométricamente los vectores son flechas que salen del origen
Los vectores son segmentos de recta dirigidos en [el plano o] el espacio representados por segmentos de recta dirigidos con un inicio (cola) y un final (punta). Los segmentos de recta que se obtienen uno de otro por traslación paralela (pero no rotación) representan el mismo vector. Las componentes (a 1, a 2, a 3) de a son las longitudes (dirigidas) de las proyecciones de a a lo largo de los tres ejes coordenados. La suma de dos vectores se obtiene colocándolos final con inicio y trazando el vector que va del inicio al final del segundo.
Vector Que Une Dos Puntos
El Vector Que Une Dos Puntos • Si el punto P tiene coordenadas (x, y, z) y P’ tiene coordenadas (x’, y’, z’) entonces el vector PP’ de la punta de P a las punta de P’ tiene componentes
Distancia • Dados vectores a = a 1 i+a 2 j+a 3 k y b = b 1 i+b 2 j+b 3 k, la distancia entre los puntos finales de a y b se define como z b a x
Suma de vectores (a) b a a+b b
Suma de Velocidades • Una ave volando con velocidad v 1, velocidad el viento v 2. Velocidad resultante v 1 + v 2
Suma de Vectores (b)
Equivalencia Geométrica con Algebraica • Equivalencia de la definición de suma vectorial en forma geométrica y algebraica.
Interpretación Geométrica Multiplicación Escalar por un Vector
Interpretación Geométrica de la Resta de Dos Vectores
Distancia • Dados vectores a = a 1 i+a 2 j+a 3 k y b = b 1 i+b 2 j+b 3 k, la distancia entre los puntos finales de a y b se define como z b a x
Suma de los Vectores u + v y 2 u
Multiplicación de (-1, 1, 2) por -2
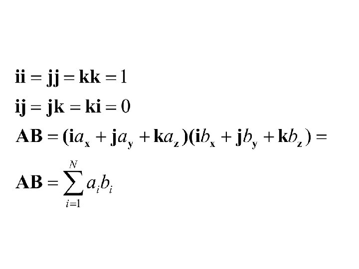
Base Canónica • Existen tres vectores especiales a lo largo z de los ejes x, y, z: – i: (1, 0, 0) – J: (0, 1, 0) – k: (0, 0, 1) • Sea (a 1, a 2, a 3) entonces a = a 1 i+ a 2 j+ a 3 k k i x y j
Base Canónica • Representación del vector (2, 3, 2) en términos de la base canónica
Los Tres Planos Coordenados
Producto Interno • Dados vectores a = a 1 i+a 2 j+a 3 k y b = b 1 i+b 2 j+b 3 k, el producto interno de a y b se define como Nótese que el producto interno es un escalar.
Producto Interno • Propiedades del producto interno. Sean a, b, c vectores en ℝ³ y números reales, entonces
Longitud • Dado un vector a = a 1 i+a 2 j+a 3 k en ℝ³ definimos su longitud como z P = (a 1, a 2, a 3) a 3 a 2 a 1 x y
Vectores Normalizados • Dado el vector a = a 1 i + a 2 j + a 3 k diferente de cero, para normalizarlo forme el vector
Ejemplos • Normalizar el vector v = 15 i – 2 j + 4 k. Solución La normalización del vector v está dada por
Ejemplos • Defina en el plano el vector Observe que es un vector Unitario.
Vectores Ortogonales • Si a y b son vectores diferentes de cero y es el ángulo entre ellos. Entonces si y sólo si los vectores son ortogonales. • Ejemplo – Los vectores de la base canónica i, j, k, son ortogonales entre si. – Los vectores y son ortogonales.
Vectores Ortonormales
A a B
A c. B B
C A a KB Por tanto A=k. B+C B
C A a KB Por tanto A=k. B+C B ¿Cómo despejar o reslover para k?
Usemos lo que conocemos: i) Ortogonalidad o perpendicularidad ii) Producto punto
Por otro lado:
A a B
A a KB B cos (180 – a ) = cos 180 cos a + sen 180 sen a = cos a
a A B
u u A x a A B
Por tanto si A es unitario u B = || u || || B || cos a = Bu Y por tanto si || B || solo escribimos B Bx = B cos a By = B sen a porqué? Y asi B = ux B cos a + uy B sen a = B ( ux cos a + uy sen a )
Ejemplos • Calcule el angulo entre los vectores A = 2 i + 3 j – k y B = - i + j + 2 k Solución: Usando
Reflexiones • Ángulo en grados o en radianes • Se mide con respecto a que? • Ejemplo en el Planeta Tierra
Ejemplos • Encuentre los angulos que forma el vector A = 2 i + 3 j + 2 k con los ejes x & z Solución
Base Canónica • Representación del vector (2, 2, 2) en términos de la base canónica
Ax. B No es conmutativa A x B = - B x A Es asociativa? Es distributiva ? | A x B | = A B sen q
Significado Físico?