A Lei dos Grandes Nmeros Por Thiago de























- Slides: 23
A Lei dos Grandes Números Por Thiago de Oliveira Alves (To. Wo) – Rio das Flores – 18/01/2013
Introdução: a desigualdade de Tchebycheff • Quando conhecemos a distribuição de probabilidades de uma variável aleatória X ( quer no caso contínuo ou discreto), podemos calcular E(X) e Var(X), se existirem. • Já a recíproca não é verdadeira. Ou seja, do conhecimento de E(X) e Var(X) não é possível reconstruir a distribuição de probabilidades de X. • Porém, mesmo não podendo calcular estas probabilidades ( a partir do conhecimento de E(X) e Var(X)), pode-se provar que existe um limite superior (ou inferior) para elas. • Isto será expresso na chamada “desigualdade de Tchebycheff”.
Apresentação simples da desigualdade de Tchebycheff • Seja f(x) a função densidade de probabilidade (fdp) de da variável aleatória X. • Pela definição de probabilidade sabemos que • Qualquer outra probabilidade, como • De , temos que
• Daí, se efetuarmos o produto • podemos modificar a primeira desigualdade para • O segundo membro desta desigualdade expressa uma “esperança”. A saber
• Esta é a desigualdade de Tchebycheff • E sua forma complementar é • Cabe ressaltar que c é um número real qualquer, ԑ é qualquer número positivo e E(X-c)2 é finita. • Para o caso discreto, com p(xi) sendo a função de probabilidade de X=xi , o processo é análogo. Basta substituir a integral pelo somatório.
• Agora, para ficar mais interessante e prático, vamos ilustrar este resultado fazendo algumas considerações. • Considere E(X)=μ (média da população), ε=k. σ (um múltiplo do desvio padrão da população) e Var(X)=σ2 (quadrado do desvio padrão). • Podemos utilizar a desigualdade de Tchebycheff para mostrar que existem limites para uma probabilidade, sem ser necessário conhecer a fdp da variável aleatória.
• Façamos o seguinte • Isto significa que a probabilidade da variável aleatória X assumir um valor que distancie da média μ, k vezes o desvio padrão, tanto pra mais quanto pra menos, é no máximo 1/k 2!
Exemplo • Houve um concurso público e nele participaram 2000 candidatos. • A prova era de múltipla escolha e tinha 50 questões. • Sabe-se por experiências anteriores que a média das notas é próxima de 25 e que o desvio padrão é sempre próximo de 6, 0. • Podemos estimar usando a desigualdade de Tchebycheff que a probabilidade de alguém tirar uma nota acima de 37=(25+2 x 6, 0) ou abaixo de 13=(25 -2 x 6, 0) é no máximo 0, 25=(1/22).
• Surge então uma pergunta. • Quando digo que a probabilidade de alguém tirar certa nota numa prova é 0, 25, quer dizer que 25% dos candidatos obterão este resultado? • A resposta depende de um fator: o número de candidatos. Quanto maior o número de candidatos, mais provável que a frequência relativa de pessoas que tiraram uma nota seja igual a probabilidade deste evento. • Matematicamente falando, podemos dizer que a frequência relativa será igual a probabilidade se o número de candidatos for infinito. • Este resultado é expresso na Lei dos Grandes Números.
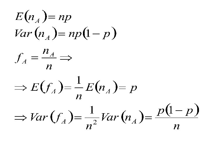
Lei dos Grandes Números • Esta lei possui várias formulações, mas enunciaremos aqui a formulação de Bernouilli. • Seja E um experimento e A um evento associado a E. • Considere n repetições independentes de E, • seja n. A o número de vezes em que A ocorra nas n repetições, • e façamos f. A = n. A/ n. • Seja P(A)=p para todas as repetições de E.
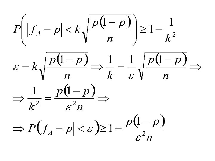
• Dado as condições anteriores, para todo ԑ>0 • Ou, equivalente,
• Podemos demonstrar esta lei usando a desigualdade de Tchebycheff que nos foi apresentada anteriormente. • n. A é uma variável aleatória binomialmente distribuída. O evento A é uma dicotomia. Pode ocorrer ou não. • f. A também é uma variável aleatória e aplicaremos a desigualdade de Tchebycheff a ela.
• Fazendo n tender ao infinito, chegaremos ao limite que pretendíamos demonstrar. • Ou seja, quando o número n de repetições de um experimento for muito grande a frequência relativa de sucessos f. A convergirá em probabilidade para o valor teórico da probabilidade de sucesso p.
Exemplo • Quantos candidatos serão necessários para que tenhamos no mínimo 95% de certeza de que a proporção de pessoas que tiraram a nota 37 difira 0, 01 da probabilidade teórica máxima 0, 25? • A resposta é 37500 candidatos.
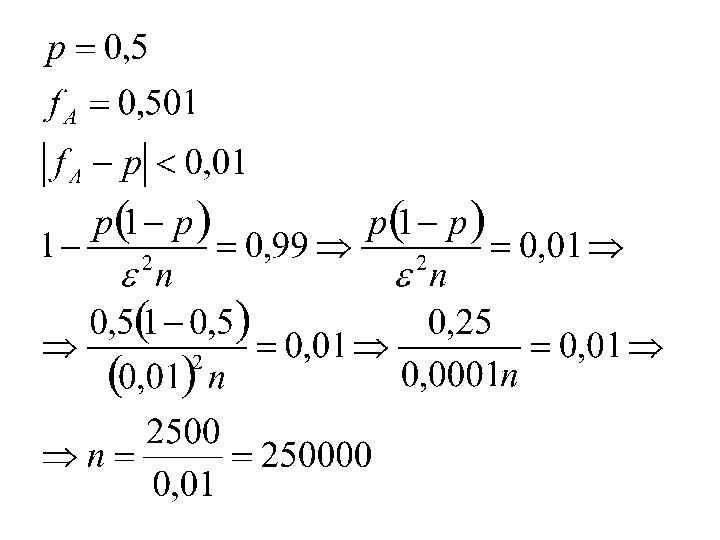
Agora um exemplo para fazer em casa. • Ao jogar uma moeda para o alto você tem 0, 5 de probabilidade teórica de tirar coroa. • Quantas vezes você jogaria uma moeda para ter ao menos 99% de certeza de que a proporção de coroas entre as jogadas seja no máximo 50, 1%? • Confira a resposta no próximo slide.
• Cabe lembrar que f. A é uma variável aleatória e se jogarmos a moeda 250000 vezes ela estará ou não a menos de 0, 01 de 1/2. • O que o exemplo anterior garante é que eu tenho no mínimo 99% de chance de ter este resultado ao jogar a moeda 250000 vezes. • Isto, é. A cada ocasião que eu jogar a moeda 250000 vezes, cerca de 99% destas ocasiões terá a frequência relativa de sucessos diferenciando 0, 01 da probabilidade teórica.
Conclusão • Sabemos agora de maneira segura que podemos inferir a probabilidade de um evento ocorrer pela frequência com que ele ocorre e vice-versa. • Esta lei também é uma ótima ferramenta no processo de decisão e análise de risco. Ao decidirmos pelo mais provável estaremos garantidos de que em longo prazo erraremos menos. • O mesmo seria que se escolhêssemos a opção que ocorreu com mais frequência após um longo prazo, estaríamos escolhendo a opção mais provável. • Vale a pena tentar. O problema é que, como foi visto, o prazo pode ser muito longo para se ter uma boa garantia como 95% ou 99% de certeza, por exemplo.
Bibliografia • MEYER, Paul L. Probabilidade: aplicações à estatística; tradução do Prof. Ruy de C. B. Lourenço Filho. 2 ed. Rio de Janeiro: LTC – Livros Técnicos e Científicos S. A. , 1983. • HELENE, Otaviano Augusto Marcondes, VANIN, Vito R. Tratamento estatístico de dados em física experimental. 2 ed. São Paulo: Edgar Blucher, 1991. • MAE 228 - Notas de aula. Desigualdades de Markov e Chebyshev e Lei Fraca dos Grandes Números. Notas transcritas por: Rafael Keiti Oiski Grunho de Souza (rkeiti@gmail. com) e Paulo Laurent Waelkens (paulodamontanha@yahoo. com). IME – USP, 31 de Março de 2006 • MURTEIRA, Bento José Ferreira (1990): Probabilidades e Estatística Volume I, 2ª Edição Revista, Editora Mc. Graw-Hill de Portugal, Lda. .
• MAGALHÃES, Marcos N. Probabilidade e variáveis aleatórias. 2 ed. São Paulo: Edusp, 2006. • JAMES, Barry. Probabilidade: um curso em nível intermediário. 3 ed. Rio de Janeiro: IMPA, 2006. Para críticas, sugestões e correções envie um email para: • towo 497@hotmail. com (Thiago de Oliveira Alves).