Surface Impedance of Metals Section 87 E cwe

























- Slides: 25
Surface Impedance of Metals Section 87
E = -(c/we) k x H where k = Ö(em)w/c Inside and near a metal surface
Since Et and Ht are continuous at the surface, they are related by the same expression just outside
Surface impedance At low w
Time averaged energy flux through the metal surface
As frequency increases, penetration depth decreases until it becomes comparable to the electron mean free path. • The field is then too non-uniform to use the macroscopic description based on e. • Fields don’t satisfy the macroscopic Maxwell equations in the metal This is the only possible linear relation between the axial vector H and the polar vector E.
As frequency increases further, electron energy becomes high
At high frequency, the distance traveled by conduction electrons during one electromagnetic wave period Then we can neglect the spatial inhomogeneity of the field relative to the electron motion
If holds and if m is real (no magnetic dispersion) while e is complex (significant dispersion) Then the condition e” > 0 requires z’z” < 0, And since z’ >0, we must have z” < 0. On the other hand, if m is complex and e is real, then z” > 0.
Proof of first inequality
For superconductors, the penetration depth d is very small even for DC fields w = 0. For small w, the distribution of the H-field is the same as in the static case. (59. 2) Defines d Boundary condition For a superconductor. Pure Imaginary. No loss.
Surface impedance has dispersion. Consider complex z to be a function of a complex frequency w. Surface impedance integral operator Et depends on values of Ht at previous times. This means that z(w) must be regular in the upper half plane of complex w. z(w) is regular on the real w axis except at w = 0. If Ht is real, then Et must be real: z(-w*) = z*(w)
Energy dissipation is determined by z’ These properties give Kramers-Kronig relations between z’ and z”
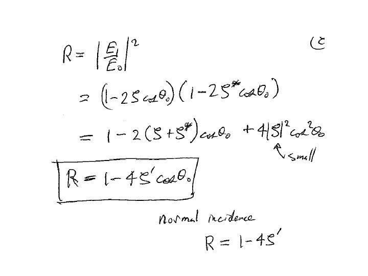
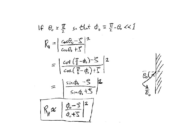
A use of surface impedance is to calculate reflection from metals. For perpendicular polarization
Boundary condition superposition
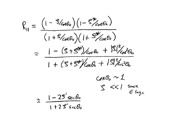
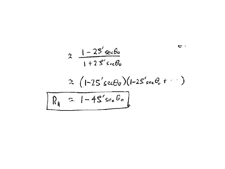
z is small for metals
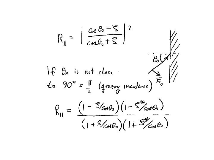
Parallel polarization