Structural Equation Modeling SEM 1 ILUSTRASI Penelitian di


























- Slides: 26
Structural Equation Modeling (SEM) 1
ILUSTRASI Penelitian di bidang Managemen Sumberdaya Manusia Misalkan telah dilakukan telaah teoritis, menghasilkan hipotesis penelitian : 1) Pengembangan karir berpengaruh signifikan terhadap Kepuasan Karyawan 2) Pengembangan karir berpengaruh signifikan terhadap Kinerja Karyawan 3) Terdapat pengaruh timbal balik antara kepuasan dengan kinerja karyawan Disamping itu, diperoleh bahwa setiap variabel berdasarkan indikator-indikator sebagai berikut : diukur 2 Variabel Peng Karir diukur oleh 10 indikator : X 1. 1 s/d X 1. 10
Struktur hubungan tsb dalam bentuk diagram path disajikan sbb 3
Analisis dengan Regresi Y = 0 + 1 X 1 + 2 X 1 = Peng. Karir, X 2 = Kepuasan dan Y = Kinerja Karyawan P. Karir KINERJA Karyawan Kepuasan Permasalahan : (1) Struktur hubungan antar variabel dipaksakan bersifat langsung (2) Analisis Regresi dapat diterapkan bilamana data yang tersedia adalah data dari variabel (observable variable) dan bukan data dari 4 indikator
Analisis dengan Path Kepuasan P. Karir KINERJA Permasalahan : (1) Variabel bersifat unobservable (2) Analisis Path hanya pada model REKURSIF 5
STRUCTURAL EQUATION MODELING Kepuasan P. Karir KINERJA Structural Model atau Path Analysis Factor Analysis (Measurement Model) 6
Measurement Model Variabel Exogen (Confirmatory Factor Analysis) - Structural Model (A. Regresi) - Path Analysis Structural Equation Modeling (SEM) Measurement Model Variabel Endogen (Confirmatory Factor Analysis) 7
NOTASI DI DALAM SEM 8
NOTASI DI DALAM SEM = Ksi, variabel laten X = Eta, variabel laten Y = Lamnda (kecil), loading faktor y = Lamnda (besar), matriks loading faktor variabel laten Y (variabel endogen) x = Lamnda (besar), matriks loading faktor variabel laten X (variabel endogen) = Beta (kecil), koefisien pengaruh variabel endogen terhadap variabel endogen = Beta (besar), matriks koefisien pengaruh variabel endogen terhadap variabel endogen = Gama (kecil), koefisien pengaruh variabel exogen terhadap variabel endogen = Gama (besar), matriks koefisien pengaruh variabel exogen terhadap variabel endogen = Phi (kecil), peragam antar variabel laten X (variabel exogen) = Phi (besar), matriks ragam- peragam antar variabel laten X (variabel exogen) 9 = Zeta (kecil), galat model
Persamaan Analisis Path dan SEM - Keduanya berkenaan dengan konstruksi model - Pendugaan parameter (koefisien) model berdasarkan data sampel Perbedaan Analisis Path dan SEM Analisis Path - Analisis Path : Model hubungan kausal antar variabel observable - Analisis Path hanya dapat diterapkan pada model rekursif - Analisis Path dengan OLS - Output Analisis Path : faktor determinan SEM - SEM : Observable, Unbosevable (measurement model) dan Campuran - SEM : model rekursif atau resiprokal - SEM tidak terkendala adanya korelasi antar error - SEM dengan MLE, TSLS, GLS, WLS dll - Output SEM : faktor determinan, model struktural dan model pengukuran 10
Measurement Model VALIDITAS INSTRUMEN Koefisein korelasi antara skor suatu indikator dengan skor total positif dan lebih besar 0. 3 : valid (validitas kriteria) Masrun (1979) SEM : - Validitas setiap indikator ditunjukkan oleh - Validitas unidimensionalitas, GFI 0. 9 RELIABILITAS INSTRUMEN Alpha Cronbach, 0. 6 : reliabel (konsistensi internal) (Malhotra, 1996) SEM : Reliabilitas setiap indikator ditunjukkan oleh 1 - untuk variabel 11 exogen dan 1 - untuk variabel endogen
LANGKAH-LANGKAH SEM Pengembangan Model Berbasis Konsep dan Teori Mengkontruksi Diagram Path Konversi Diagram Path ke Persamaan Memilih Matriks Input Menilai Masalah Identifikasi Evaluasi Goodness-offit Interpretasi dan Modifikasi Model 12
Pengembangan Model Berbasis Konsep dan Teori Dapat dengan mudah dipahami bahwa variabel karir, kepuasan, dan kinerja merupakan variabel yang bersifat unobservable. Untuk mengukur variabel tersebut dikembangkan indikator sebagai variabel manifest : Karir : X 1. 1, X 1. 2, X 1. 3, X 1. 4, X 1. 5, X 1. 6, X 1. 7, X 1. 8, X 1. 9 dan X 1. 10 Kepuasan : X 2. 1, X 2. 2, X 2. 3, X 2. 4, X 2. 5, dan X 2. 6 Kinerja : X 3. 1, X 3. 2, X 3. 3, X 3. 4, X 3. 5, dan X 3. 6 13
14
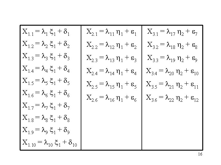
Konversi Diagram Path ke Persamaan Konversi diagram path, model struktural, ke dalam model matematika menjadi sebagai berikut : 1 = 1 2+ 1 1 + 1 2 = 2 1+ 2 1 + 2 atau : Kepuasan = 1 Kinerja + 1 Karir + 1 Kinerja = 2 Kepuasan + 1 Karir + 2 Konversi diagram path, model pengukuran, ke dalam model matematika menjadi sebagai berikut : 15
X 1. 1 = 1 1 + 1 X 2. 1 = 11 1 + 1 X 3. 1 = 17 2 + 7 X 1. 2 = 2 1 + 2 X 2. 2 = 12 1 + 2 X 3. 2 = 18 2 + 8 X 1. 3 = 3 1 + 3 X 2. 3 = 13 1 + 3 X 3. 3 = 19 2 + 9 X 2. 4 = 14 1 + 4 X 3. 4 = 20 2 + 10 X 2. 5 = 15 1 + 5 X 3. 5 = 21 2 + 11 X 2. 6 = 16 1 + 6 X 3. 6 = 22 2 + 12 X 1. 4 = 4 1 + 4 X 1. 5 = 5 1 + 5 X 1. 6 = 6 1 + 6 X 1. 7 = 7 1 + 7 X 1. 8 = 8 1 + 8 X 1. 9 = 9 1 + 9 X 1. 10 = 10 1 + 10 16
Memilih Matriks Input MATRIKS KOVARIANS (Raw Data): - pengujian suatu model yang telah mendapatkan justifikasi teori - sulit dilakukan interpreasi terhadap besar-kecilnya pengaruh - hasil analisis setara dengan analisis regresi MATRIKS KORELASI (Standardize Data): - penjelasan menganai pola hubungan kausal antar variabel laten - pengaruh dominan; Faktor Determinan dan Jalur terkuat - hasil analisis setara dengan analisis path 17
Menilai Masalah Identifikasi Gejala-gejala masalah identifikasi : - Terdapatnya standart error dari koefisien yang terlalu besar - Ketidakmampuan program menyajikan matriks informasi yang seharusnya disajikan - Pendugaan parameter tdk dpt diperoleh, misalnya terjadi matriks tidak definit positif - Muncul angka-angka aneh, seperti adanya varians error yang negatif - Terjadinya korelasi yang tinggi (> 0. 9) antar koefisien hasil dugaan Solusi : - umumnya karena under identified - berikan kendala - koefisien model dibuat fix - hati-hati menjadi over identified 18
ASUMSI SEM Asumsi : Spesifikasi model - Semua hubungan : linier (data time series sulit dpt memenuhi) - Model aditif Asumsi : Pendugaan parameter & Uji hipotesis - Antar unit pengamatan independen - Data tidak mengandung pencilan (outliers) - Pendugaan parameter dengan MLE, sampel size minimum 100. - Data yang akan dianalisis (variabel latent) menyebar normal ganda (multinormal) - Beberpa software tidak bisa jalan bila terdapat missing data 19
Pengujian Parameter - Parameter Lamda; - Parameter Delta dan Epsilon; - Parameter Beta; - Parameter Gama menggunakan t-test, H 0 : parameter = 0 VS H 1 : parameter 0 Pengujian Model Pengukuran VALIDITAS INSTRUMEN Validitas setiap indikator = , nonsignifikan tidak valid RELIABILITAS INSTRUMEN Reliabilitas setiap indikator = 1 - untuk variabel exogen 1 - untuk variabel endogen 20 LISREL : (1 - ) atau (1 - ), nonsignifikan tidak reliabel
Pengujian Model Pengukuran Construct reliability : Everage variance extracted : , > 0. 5 , menunjukkan proporsi varians variabel laten yang dapat dijelaskan oleh variabel manifest (indikator) 21
Pengujian Model Overall No Goodness-of-fit Cut-off Keterangan 1 2 Khi Kuadrat RMR Nonsignifikan Kecil Digunakan untuk n besar 3 RMSEA 0. 08 Digunakan untuk n besar GFI 0. 90 Miirip dg R 2 dlm regresi AGFI 0. 90 Mirip dengan R 2 -adjusted CFI 0. 94 Tidak sensitif thdp besar sampel 7 AIC Model Struktural Kecil Pengujian 8 Khi Kuadrat / DF < 2, 00 4 5 6 Koefisien Determinasi Total : 22
Modifikasi Model - Indeks modifikasi 4 : jalur dipertimbangkan ditambah atau dihilangkan - Khi Kuadrat turun sebesar 4 dianggap cukup bermakna Interpretasi Input Matriks Kovarians : output SEM adalah model struktural setara dengan analisis regresi. Input Matriks Korelasi : output SEM adalah analisis path. SEM juga dapat digunakan untuk pengujian model baik yang bersifat menguji ulang suatu konsep ataupun pengujian terhadap suatu model yang akan dikembangkan, menggunakan theory triming. 23
Sample Size Pedoman Umum : - Bila pendugaan parameter menggunakan MLE : 100 – 200; minimum 50. - Sebanyak 5 – 10 kali jumlah parameter - Sama dengan 5 – 10 kali, indikator keseluruhan variabel laten SEM dengan aplikasi LISREL (Oud, 2001) : - Besar sampel untuk program LISREL adalah 400. - LISREL : 10 x jumlah variabel. - LISREL : minimum 10 x parameter (independen) yang ada dalam model 24
SOFTWARE aplikasi SEM AMOS (oleh Arbuckle) EQS (oleh Bentler) Mx (oleh Neale) LISREL (oleh Joreskog). langkah sederhana Operasi AMOS Siapkan data dalam Worksheet SPSS (SPSS) Buat Diagram Path dalam Bidang Kerja AMOS (AMOS) Hubungkan Diagram Path dalam AMOS dengan data dalam SPSS (AMOS) Tentukan output yang diperlukan (AMOS) Lakukan analisis (estimasi) (AMOS) 25
TERIMA KASIH 26