I Mathematical Techniques II Motion in One Dimension



















































- Slides: 51
I. Mathematical Techniques
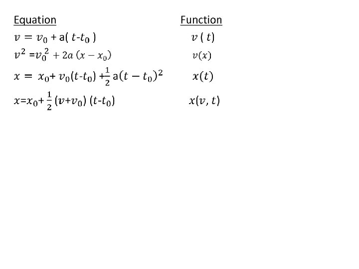
II. Motion in One Dimension •
3. Freely Falling Bodies. a) Galileo Galilei is the father of experimental physics →carried out a variety of experiments in mechanics, the study of motion. i) Near the surface of the Earth, bodies fall at the same rate of acceleration independent of the body’s mass. ii) Air resistance can affect the rate at which a body falls. iii) Note that Galileo is also the first person to observe celestial objects in the sky with a telescope → hence is also the father of observational as- tronomy. b) Bodies in free fall: i) A freely falling body is an object moving only under the influence of gravity, regardless of its initial motion
vi) Actually, bodies dropped in the Earth’s atmosphere will experience a frictional force from air resistance in addition to the gravitational force. In this course we will ignore air resistance , (but it is important in reality).
IV. Motion in Two Dimensions A. Vector Arithmetic. 1. We now will be working with both the x and y axes. Vectors are represented on an x-y graph as an arrow with a distinct direction indicated by the arrowhead: a) Note that vector ~A makes an angle with the x-axis. b) The x-axis is always the reference line which vector direction angles are measured. 2. Vector addition. a) Two or more vectors can be added graphically by placing the beginning of the 2 nd vector at the tail of the 1 st vector b) Two or more vectors can be added algebraically by rewriting the vectors into 2 components, x & y, then adding the respective components.
b) The effect of air resistance is negligible (hence the size of the object is relatively small and its surface is smooth). c) The rotation of the Earth does not affect the motion(hence the distance traveled is small with respect to the Earth’s radius). 2. For such projectile motion, the path is always a parabola. a) The acceleration in the y direction is −g, just as in free fall. b) The acceleration in the x direction is 0 (air friction is neglected) c) is called the projection angle. 3. Breaking motion into components. a) The vectors in our equations of motion can be broken up into x and y components:
V. The Laws of Motion •
a) Contact forces: The act of pushing or pulling an object (sometimes called mechanical force). b) Field forces: No physical contact necessary =) force is transmitted via the “field” (e. g. , gravity). B. Newton’s Laws of Motion. 1. Newton’s 1 st Law: Law of Inertia: An object at rest remains at rest, and an object in motion continues in motion with a constant velocity, unless it is acted upon by an external force. a) Inertia is the resistance that matter has to changes in motion. b) The mass of an object measures that object’s inertia. =) Mass is nothing more than a measure of matter’s resistance to changes in motion.
3. Newton’s 3 rd Law: If 2 bodies interact, the magnitude of the force exerted on body 1 by body 2 is equal to the magnitude of the force exerted on body 2 by body 1, and these forces are in opposite direction to each other. a) Another way of saying this is “for every action, there is an opposite reaction. ” b) We will see later in the course that Newton’s 3 rd law is nothing more than the conservation of linear momentum. C. Common Forces of Everyday Life. 1. The Force of Gravity — Weight and the Normal Force. a) All objects with mass exert a force called gravity. It is one of the 4 forces of nature =) a natural force.
VI. Work and Energy •