EXPEKTASI KOVARIAN DAN KORELASI FITRI UTAMININGRUM ST MT























- Slides: 23
EXPEKTASI, KOVARIAN DAN KORELASI FITRI UTAMININGRUM, ST, MT
Ekspektasi Matematik Apabila diketahui fungsi distribusi f(x) dari suatu variabel acak X, maka nilai rata-rata atau ekspektasi metematiknya dapat diketahui
Contoh Suatu varibel acak diketahui fungsi distribusi kerapatan probabilitasnya Tentukan nilai ekspektasi matematika E(X)
(1) Data diskrit atau kontinu? Data kontinu -> karena ada kata “kerapatan” (2) Karena data kontinu, gunakan persamaan ekspektasi kontinu:
Contoh 2 Sebuah kotak berisi 5 bola merah dan 3 bola putih. Dari kotak akan diambil 3 bola secara acak. Tentukan nilai ekspektasi dari bola merah pada pengambilan tersebut.
(1) Ditanya: bola merah Maka, variabel acak X = jumlah bola merah (2) Tentukan probabilitasnya X = 0 -> f(0)= 5 C 0. 3 C 3 / 8 C 3 = 1/56 X = 1 -> f(1)= 5 C 1. 3 C 2 / 8 C 3 = 15/56 X = 2 -> f(2)= 5 C 2. 3 C 1 / 8 C 3 = 30/56 X = 3 -> f(3)= 5 C 3. 3 C 0 / 8 C 3 = 10/56 (3) Data diskrit atau kontinu? Data diskrit karena jumlah bola tidak ada pecahan (4) Gunakan persamaan diskrit:
Ekspektasi Fungsi Variabel Acak Apabila diketahui variabel acak Y = g(X). Nilai ekspektasi matematik dari variabel acak Y dapat diketahui berdasar hubungan fungsi distribusi antara X dan Y.
Sifat Ekspektasi 1. Jika c merupakan konstanta 2. Jika X dan Y adalah variabel acak 3. Jika X dan Y adalah variabel acak saling bebas
Contoh 3 Diketahui fungsi kerapatan (pdf) dari variabel acak kontinu X sebagai berikut Nilai suatu variabel acak Y merupakan fungsi dari X y = 3 x 2 + 2 x Tentukan nilai ekspektasi (X, Y) Buktikan: E(Y) = 3 E(X 2) + dari 2 E(X)
Metode penyelesaian ekspektasi X lihat contoh 1 E(X) = Penyelesaian ekspektasi Y: (1) y = 3 x 2 + 2 x, karena Y adalah fungsi dari X g(x), gunakan ekspektasi fungsi variabel acak (2) Data kontinu / diskrit? Kontinu, karena terdapat kata “kerapatan” (3) Gunakan persamaan untuk data kontinu:
Buktikan: E(Y) = 3 E(X 2) + 2 E(X)
Ekspektasi Fungsi Gabungan Apabila X dan Y merupakan variabel acak dari fungsi distribusi gabungan f(x, y), nilai ekspektasi matematiknya dapat diketahui.
Contoh Tentukan nilai ekspektasi dari E(Y/X) jika diketahui fungsi kerapatannya
KOVARIANSI DUA PEUBAH ACAK � Kovariansi dua perubah acah X dan Y dengan rata-rata dan diberikan oleh rumus:
JIKA X DAN Y DISKRIT
JIKA X DAN Y KONTINYU
PERSAMAAN KORELASI
KORELA SI �HARGA (-) Ada hubungan tapi terbalik (x<< maka y>> atau sebaliknya) �HARGA (+) Ada hubungan tetapi sebanding (x<< maka y<< atau sebaliknya) �HARGA (0) Tidak ada hubungan
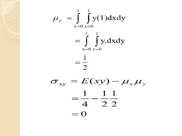
Contoh
Jawa b