Esercitazione n 13 Reazioni di alcooli dioli eteri









![c) cicloesilmetanolo + acido solforico concentrato, a caldo d) biciclo-[4. 4. 0]-decan-1 -olo + c) cicloesilmetanolo + acido solforico concentrato, a caldo d) biciclo-[4. 4. 0]-decan-1 -olo +](https://slidetodoc.com/presentation_image_h2/689304b262ec2ea8d0fd8a73aef940f5/image-10.jpg)


























- Slides: 36
Esercitazione n. 13 - Reazioni di alcooli, dioli, eteri, ammine, sali di ammonio. 1. Scrivere il prodotto, specificandone il nome, della reazione con PBr 3 di: S N 2 a) 1 -propanolo b) 2 -propanolo 11 bromopropano 2 -bromopropano c) 1 -butanolo 1 -bromobutano d) alcool isobutilico 1 -bromo-2 -metilpropano e) cis-2 -metilciclopropanolo trans-1 -bromo-2 -metilciclopropano
f) 1 -terz-butil-1 -cicloesanolo nessuna reazione (C terziario) g) 2, 2, 6, 6 -tetrametilcicloesanolo nessun prodotto (ingombro sterico) 2. Scrivere i prodotti della reazione degli alcooli dell'esercizio precedente con: a) acido solforico concentrato, a caldo; b) con HBr concentrato. Con metanolo ed alcooli primari: bimolecolare; con alcooli secondari e terziari: carbocatione a) 1 -propanolo
b) 2 -propanolo c) 1 -butanolo d) alcool isobutilico
e) cis-2 -metilciclopropanolo f) 1 -terz-butil-1 -cicloesanolo
g) 2, 2, 6, 6 -tetrametilcicloesanolo
3. Scrivere le reazioni dell'1 -pentanolo con i seguenti reagenti, specificando i nomi dei prodotti: a) terz-butossido di potassio 1 -pentossido (di potassio) b) sodio metallico 1 -pentossido (di sodio) c) metillitio 1 -pentossido (di litio) d) HI concentrato 1 -iodopentano e) HCl + Zn. Cl 2 1 -cloropentano
f) acido solforico concentrato, a caldo 1 -pentene g) PBr 3 1 -bromopentano h) SOCl 2 1 -cloropentano i) K 2 Cr 2 O 7 + H 2 SO 4 in acqua acido pentanoico
4. Completare le seguenti reazioni: a) trans-2 -metilciclopentanolo + 2, 2 -dimetil-3 -iodobutano Nu debole; solvente protico alogenuro secondario trasp.
b) 2, 2 -dimetil-1 -butanolo + HCl, Zn. Cl 2 trasp. -H+
c) cicloesilmetanolo + acido solforico concentrato, a caldo d) biciclo-[4. 4. 0]-decan-1 -olo + H 2 SO 4 5. Completare le seguenti reazioni, specificando i nomi dei composti organici che si formano: a) 2 -butanolo + acido solforico concentrato 2 -butene 1 -butene
b) 2 -propanolo + acido cromico propanone (dimetil chetone; acetone) c) 2 -butanolo + HBr 2 -bromobutano 2 -butene 1 -butene d) 1 -propanolo + Cr. O 3 + H 2 SO 4 ac. propanoico e) alcool terz-butilico + KMn. O 4
f) etil isopropil etere + HI a caldo iodoetano 2 -iodopropano 2 -propanolo etanolo g) 2, 3 -butandiolo + HIO 4 propanale
6. Completare le seguenti reazioni, specificando il nome dei composti organici: a) (R)-2 -butanolo + cloruro di p-toluensolfonile (= p-metilbenzensolfonile); + HCl p-toluensolfonato di sec-butile (di 1 metilpropile) b) p-toluensolfonato di (S)-1 -metilpropile + Na. Br 2 -bromobutano
c) cicloottanolo + Cr. O 3/H 2 SO 4 in acetone cicloottanone d) ciclopentilmetanolo + Cr. O 3. piridina ciclopentancarbaldeide e) ciclopentanolo + HCl/Zn. Cl 2 clorociclopentano ciclopentene
f) cicloottilmetanolo + bromuro di etilmagnesio etano cicloottilmetossido g) terz-butossido di potassio + ioduro di metile metil terz-butil etere h) metossido di sodio + ioduro di terz-butile metilpropene metanolo
i) 1 -butanolo + HBr 1 -bromobutano j) ciclopentanolo + H 2 SO 4 a caldo ciclopentene k) etossido di sodio + 1 -bromobutano butil etere l) etossido di sodio + 2 -metil-2 -bromobutano 2 -metil-2 -butene 2 -metil-1 -butene
7. Scrivere le reazioni dei seguenti alcooli con (1) Na 2 Cr 2 O 7/H 2 SO 4, (2) il reattivo di Jones, (3) Cr. O 3. piridina, (4) KMn. O 4 in ambiente basico, (5) acido nitrico: OSSIDANTI a) 1 -butanolo
b) 2 -butanolo c) 1 -metilcicloesanolo
8. Scrivere le reazioni con acido cromico dei seguenti composti: a) cicloesanolo b) 1 -metilcicloesanolo c) 2 -metilcicloesanolo d) etanolo
9. Scrivere le reazioni del cicloesilmetanolo con ciascuno dei seguenti reagenti: a) Na 2 Cr 2 O 7/H 2 SO 4, b) reattivo di Jones; c) reattivo di Collins; d) clorocromato di piridinio. 10. Scrivere le reazioni di disidratazione catalizzata da acido solforico per i seguenti alcooli: a) 1 -esanolo b) 2 -esanolo
c) 3 -pentanolo d) 1 -metilciclopentanolo e) idrossimetilciclopentano f) 2 -metilciclopentanolo
11. Completare le seguenti reazioni: a) 1 -metossi-2 -(2 -metossietil)cicloesano + HI (2 equivalenti) a caldo
b) 2 -metilossacicloesano + HI (un equivalente), a caldo c) 2 -metilossacicloesano + HI (due equivalenti), a caldo d) (S)-2 -pentanolo + cloruro di p-toluensolfonile
e) (R)-2 -butanolo + H 2 SO 4 a caldo f) ossaciclobutano + HBr concentrato, a caldo g) 3, 4 -dimetilossaciclopentano + HI concentrato, a caldo
12. Completare le seguenti reazioni (se c'è reazione), specificando i nomi dei composti organici: a) isopropil sec-butil etere + HI concentrato, a caldo b) etil terz-butil etere + HBr concentrato a caldo NESSUNA REAZIONE c) dibutil etere + Na. OH concentrata, a caldo NESSUNA REAZIONE d) dibutil etere + Na metallico
e) etossibenzene + HI a caldo f) ossaciclopropano + CH 3 OH, H+ g) trans-2 -butil-3 -metilossaciclopropano + H 2 O, H+
h) metilossaciclopropano + metanammina i) terz-butossido di potassio + 1 -bromobutano 13. Completare le seguenti reazioni, specificando i nomi dei composti organici che si formano: a) metanammina + iodometano
b) 2 -propanammina + acido nitroso (HNO 2) c) cloruro di etiltrimetilammonio + KOH a caldo d) idrossido di (1 -metilpropil)trimetilammonio a caldo
14. Completare le seguenti reazioni: a) dimetilpropilammina + H 2 O 2; b) il prodotto ottenuto in (a) sottoposto a riscaldamento; c) bromuro di trimetil(2 -metilbutil)ammonio + KOH a caldo.
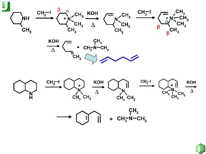
15. Prevedere i prodotti di metilazione esauriente (degradazione di Hofmann) dei seguenti composti:
21. Completare le reazioni del cis-3 -metilcicloesanolo, con i seguenti reagenti, specificando l'andamento stereochimico; a) PBr 3; b) SOCl 2/piridina; c) HCl/ Zn. Cl 2; d) HBr concentrato; e) cloruro di p-toluensolfonile/piridina e poi Na. Br. a) PBr 3 b) SOCl 2/piridina
c) HCl/ Zn. Cl 2 d) HBr concentrato
e) cloruro di p-toluensolfonile/piridina e poi Na. Br