Electrostatic force due to spherical shell of charge




















































- Slides: 52
Electrostatic force due to spherical shell of charge r R z q 0
Electrostatic force due to spherical shell of charge r R z
Electrostatic force due to spherical shell of charge r R z
Electrostatic force due to spherical shell of charge r R z
Electrostatic force due to spherical shell of charge r R z
Electrostatic force due to spherical shell of charge r R z
Electrostatic force due to spherical shell of charge r R z
Electrostatic force due to spherical shell of charge r R z
Electrostatic force due to spherical shell of charge r R z
Electrostatic force due to spherical shell of charge r R z
Electrostatic force due to spherical shell of charge r R z
Electrostatic force due to spherical shell of charge r R z
Electrostatic force due to spherical shell of charge r R z
Electrostatic force due to spherical shell of charge r R z
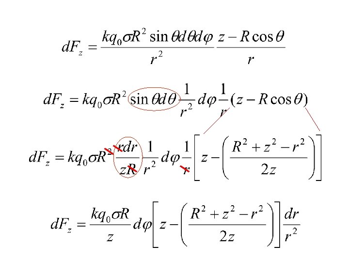
Electrostatic force due to spherical shell of charge r R z Only z-component survives
Electrostatic force due to spherical shell of charge r R z Rcos Why are we doing this? To change variable to which is the polar angle
Electrostatic force due to spherical shell of charge r R z Rcos
r and are NOT independent
Electrostatic force due to spherical shell of charge r R z
Electrostatic force due to spherical shell of charge r R r z
Electrostatic force due to spherical shell of charge r R z
Electrostatic force due to spherical shell of charge r R z
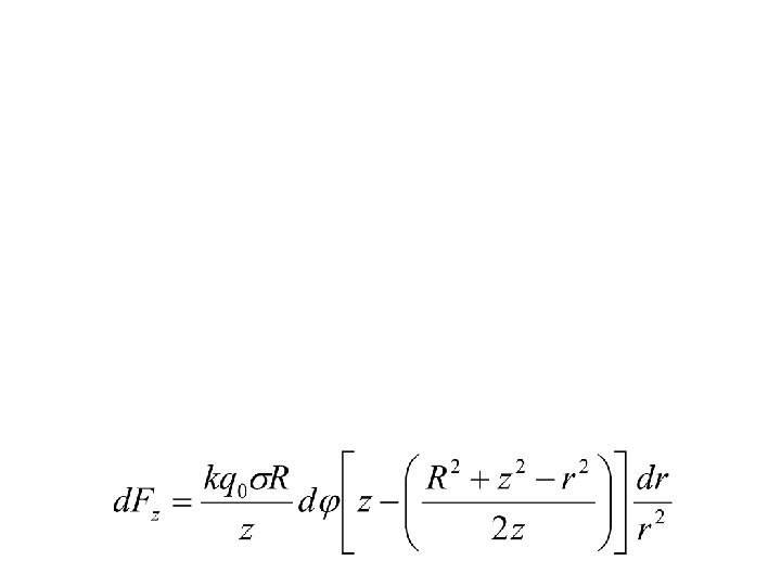
Law of cosines
Electrostatic force due to spherical shell of charge r R z
Electrostatic force due to spherical shell of charge r R z
Electrostatic force due to spherical shell of charge r R z
Electrostatic force due to spherical shell of charge r R z
Electrostatic force due to spherical shell of charge r R z
Electrostatic force due to spherical shell of charge r R z
Electrostatic force due to spherical shell of charge r R z
Electrostatic force due to spherical shell of charge r R z
Electrostatic force due to spherical shell of charge r R z
Electrostatic force due to spherical shell of charge r R z
Electrostatic force due to spherical shell of charge r R z
Electrostatic force due to spherical shell of charge r R z
Electrostatic force due to spherical shell of charge r R z
Electrostatic force due to spherical shell of charge r R z
Electrostatic force due to spherical shell of charge r R z
Electrostatic force due to spherical shell of charge r R z
Electrostatic force due to spherical shell of charge r R z
Electrostatic force due to spherical shell of charge r R z
Electrostatic force due to spherical shell of charge r R z
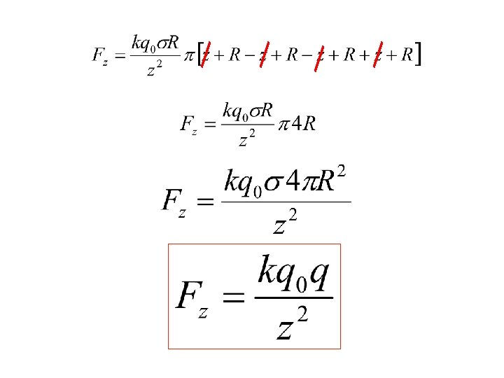
Electrostatic force due to spherical shell of charge R r z r=z-R
Electrostatic force due to spherical shell of charge R r z r=z+R
Electrostatic force due to spherical shell of charge
Electrostatic force due to spherical shell of charge (inside the shell) R r z r=R-z
Electrostatic force due to spherical shell of charge (inside the shell) r R z r=R+z
Electrostatic force due to spherical shell of charge (inside the shell)
Electrostatic force due to spherical shell of charge (inside the shell)