Aim How can we explain Electrostatic Force Thursday


















- Slides: 18
Aim: How can we explain Electrostatic Force? Thursday, October 8 th
Homework #5 • Worksheet
Units of Charge • Coulombs (C) • 1 elementary charge: -19 (1 e = 1. 6 x 10 C) • 1 Coulomb = 18 6. 25 x 10 elementary charges
Example • How many Coulombs in 5 electrons? • How many protons make up +10 Coulombs?
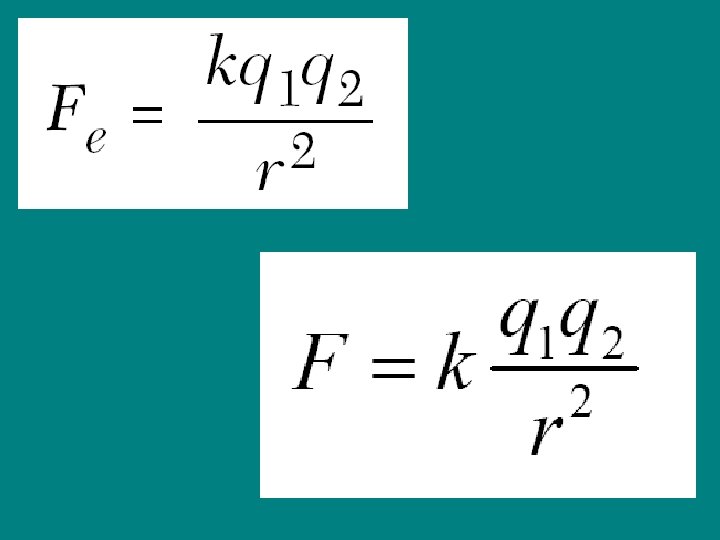
Coulomb’s Law • The electrical force of attraction or repulsions between 2 charged objects
Regents: IB: • q 1 = charge on 1 st object (C) • q 2 = charge on 2 nd object (C) • r = distance between objects
2 nd IB equation: • What’s different? • k can be written in terms of another constant, ε 0, the permittivity of free space • k = 1/4πε 0
Graph of Coulomb’s Law Force Distance
• Coulomb’s Law applies to objects that are much smaller than the distance between them • Ideally used for point charges (remember point masses? )
Notice anything?
• Both are inverse square laws F 1/r 2 • Both have a proportionality to a property of each object (mass for gravity, electric charge for electricity) • Both act over a distance • MAJOR DIFFERENCE: gravity is always attractive, electric force can be attractive or repulsive
Examples • q 1 = +2. 0 C, q 2= +2. 0 C, r = 5 m. • Find F F = 1. 4 x 109 N
• q 1 = -10. 0 C, q 2= -10. 0 C, r = 2. 0 m. • Find F F = 2. 2 x 1011 N
• Find F between electron and proton, separated by 1. 5 x 10 -10 m F = -1. 0 x 10 -8 N
• If F is positive, the force is repulsive/attractive • If F is negative, the force is repulsive/attractive
Original Force Changed Variable New Force F double q 1 2 F F 4 F F double q 1 & q 2 double r ¼F F triple r 1/9 F F half q 1 & q 2 ¼F F half r 4 F F third r 9 F
Now your turn…. • A negative charge of -2. 0 x 10 -4 C and a positive charge of 8. 0 x 10 -4 C separated by a distance of 0. 30 m. F=? • A negative charge of -6. 0 x 10 -6 C exerts 65 N on second charge that is 0. 050 m away. Second charge = ? • For extra credit…Sphere A (+2. 0 x 10 -6 C) is located at the origin, Sphere B (-3. 6 x 10 -6 C) is located at +0. 6 m on the x-axis, and sphere C (+4. 0 x 10 -6 C) is located at +0. 8 m on the x-axis. What is the net force on Sphere A?