Chapitre 3 Gaz parfait la limite classique Proprits

















































- Slides: 49
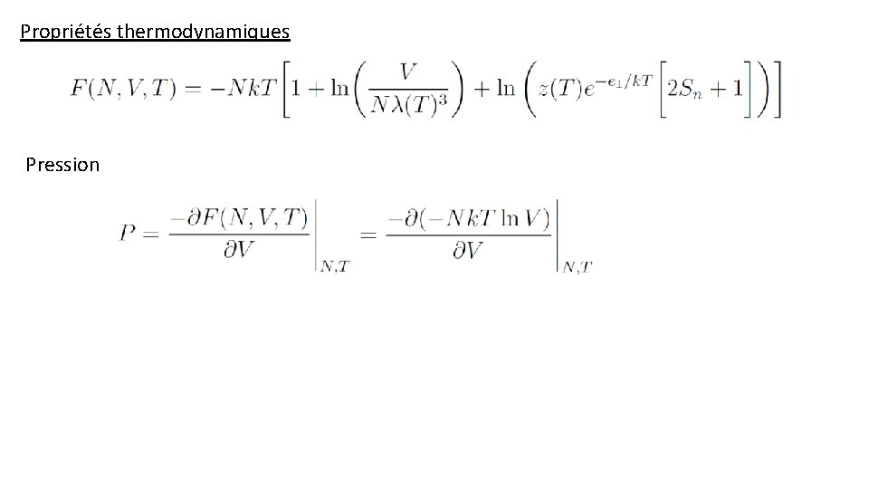
Chapitre 3 – Gaz parfait à la limite classique Propriétés thermodynamiques
La fonction de partition Excitation des neutrons et protons
Stratégie à suivre (rappel du chapitre 1)
Propriétés thermodynamiques gaz idéal monoatomique Énergie libre de Helmholtz avec
Propriétés thermodynamiques Pression Équation d’état d’un gaz parfait monoatomique
Propriétés thermodynamiques Potentiel chimique
Propriétés thermodynamiques Entropie
Propriétés thermodynamiques Note : en PHY 2215 nous avions obtenu une expression pour l’entropie Ces deux expressions sont équivalentes si
Propriétés thermodynamiques Gaz monoatomiques (à P = 1 atm et T = 298 K)
Propriétés thermodynamiques Énergie interne énergie cinétique : La pression est égale à 2/3 de la densité d’énergie cinétique
Propriétés thermodynamiques Énergie interne dépend de notre choix (arbitraire) du point zéro de l’énergie (ici < 0) Énergie d’excitation électronique ( donc négligeable)
Propriétés thermodynamiques Chaleur spécifique résultat classique pour un gaz idéal faible capacité que possède un gaz à emmagasiner de l’énergie sous forme d’excitation électronique
Gaz à plusieurs composantes
Rappel : fonction de partition Somme sur tous les états d’énergie du système macroscopique
Gaz à plusieurs composantes Fonction de partition où particules discernables ici est l’énergie de la particule 2 dans l’état n et est la somme sur tous ses états accessibles
Gaz à plusieurs composantes Fonction de partition où
Gaz à plusieurs composantes Fonction de partition où Si on considère 2 types de particules et
Gaz à plusieurs composantes
Gaz à plusieurs composantes somme des pressions partielles un potentiel chimique par espèce j
Potentiel chimique
Potentiel chimique Relation fondamentale de la thermodynamique Généralisation de la relation fondamentale de la thermodynamique changement de l’énergie interne dû aux Ni qui changent
Potentiel chimique : Application 1 Énergie libre de Helmholtz À l’équilibre (minimum) Même type de particule
Potentiel chimique : Application 1 Énergie libre de Helmholtz À l’équilibre (minimum) À l’équilibre, le potentiel chimique est le même dans les deux parties du système Même type de particule
Rappel : Propriétés thermodynamiques Potentiel chimique
Même type de particule Potentiel chimique : Application 1 À l’équilibre, les concentrations sont les mêmes dans les deux parties du système À l’équilibre, le potentiel chimique est le même dans les deux parties du système Initialement : S’il y a plusieurs espèces, il y aura équilibre des potentiels chimiques pour une espèce, mais ceux-ci peuvent différer d’une espèce à l’autre
Potentiel chimique : Application 2 g +
Potentiel chimique : Application 2 g À z = 0 (au sol) et à un z donné z
Potentiel chimique : Application 2 À l’équilibre g Loi barométrique pour une atmosphère isotherme z Hauteur caractéristique de pression (8400 m pour la Terre) À z = 0 (au sol) et à un z donné
Généralisation à un gaz réactif
Généralisation à un gaz réactif Ici on considère la possibilité de réactions « chimiques » . Lors d’une réaction chimique, le nombre d’atomes est conservé, mais le nombre de molécules ne l’est pas. Exemple : Énergie libre de Helmholtz minimum à l’équilibre 0 À l’équilibre : 0
symbole chimique Généralisation à un gaz réactif On peut symboliser chaque réaction chimique par Si dn est le nombre de réactions chimiques : Condition d’équilibre chimique (une par réaction chimique)
Équation d’ionisation de Saha On peut symboliser une réaction d’ionisation par ( Condition d’équilibre chimique : : zème état d’ionisation)
Équation d’ionisation de Saha
Équation d’ionisation de Saha Rapport des populations de deux niveaux d’ionisation successifs : Meghnad Saha où Rappel : Formule d’excitation de Boltzmann (rapport des populations des atomes dans les états d’excitation k et r)
Équation d’ionisation de Saha Exemple : ionisation de l’hydrogène Meghnad Saha
Application: gaz d’hydrogène partiellement ionisé
Application: gaz d’hydrogène partiellement ionisé Propriétés thermodynamiques Notation :
Application: gaz d’hydrogène partiellement ionisé Pression Somme des pressions partielles (contributions égales si complètement ionisé)
Application: gaz d’hydrogène partiellement ionisé … Énergie Chaleur spécifique à volume constant les Ni ne sont pas constants!
Application: gaz d’hydrogène partiellement ionisé sont reliés par l’équation de Saha : De plus nous devons avoir la neutralité électrique du gaz : Soit la fraction des atomes d’hydrogène ionisés : On obtient à partir de ces définitions que : constante du problème
Application: gaz d’hydrogène partiellement ionisé Après un peu d’algèbre on obtient : Pour T >> : Pour T << :
Application: gaz d’hydrogène partiellement ionisé • pour N = cte, la fraction d’ionisation augmente plus T augmente • pour T = cte, la fraction d’ionisation diminue plus N augmente
Application: gaz d’hydrogène partiellement ionisé Pression
Application: gaz d’hydrogène partiellement ionisé Énergie énergie de l’état fondamental
Application: gaz d’hydrogène partiellement ionisé Chaleur spécifique à volume constant = cte Passe par un maximum quand
Application: gaz d’hydrogène partiellement ionisé Différentes températures pour différentes valeurs de N
Application: gaz d’hydrogène partiellement ionisé En présence d’ionisation partielle, le système peut emmagasiner beaucoup d’énergie sous forme d’ionisation de la matière ( par atome)
Application: gaz d’hydrogène partiellement ionisé
Application: gaz d’hydrogène partiellement ionisé