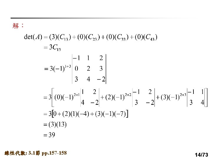
3 1 n determinant n minor n cofactor

  • Slides: 73
Download presentation

摘要與複習 (3. 1節之關鍵詞) n determinant : 行列式 n minor : 子行列式 n cofactor :

摘要與複習 (3. 1節之關鍵詞) n determinant : 行列式 n minor : 子行列式 n cofactor : 餘因子 n expansion by cofactors : 餘因子展開 n upper triangular matrix: 上三角矩陣 n lower triangular matrix: 下三角矩陣 n diagonal matrix: 對角矩陣 21/73

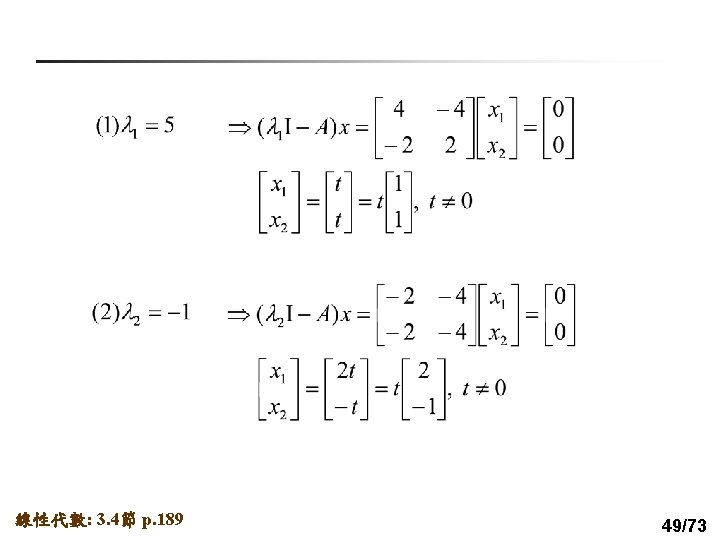
n 注意: 餘因子展開 列簡化 n階 加法 乘法 3 5 9 5 10 5 119

n 注意: 餘因子展開 列簡化 n階 加法 乘法 3 5 9 5 10 5 119 205 30 45 10 3628799 6235300 285 339 線性代數: 3. 2節 p. 170 32/73

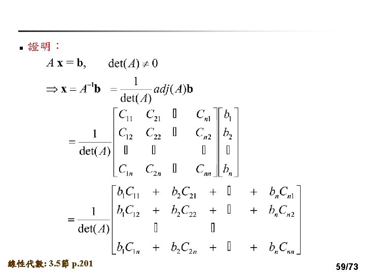
3. 5 行列式的應用 n A的餘因子矩陣 (matrix of cofactors of A) n A的伴隨矩陣 (adjoint matrix

3. 5 行列式的應用 n A的餘因子矩陣 (matrix of cofactors of A) n A的伴隨矩陣 (adjoint matrix of A) 線性代數: 3. 5節 p. 195 53/73

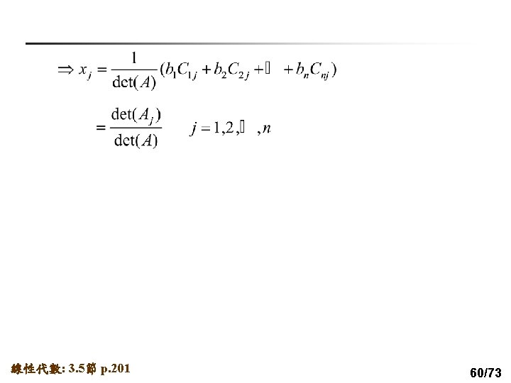
線性代數: 3. 5節 p. 202 -203 64/73

線性代數: 3. 5節 p. 202 -203 64/73

線性代數: 3. 5節 p. 203 -204 66/73

線性代數: 3. 5節 p. 203 -204 66/73

線性代數: 3. 5節 p. 206 -207 72/73

線性代數: 3. 5節 p. 206 -207 72/73

Keywords in Section 3. 5: n matrix of cofactors : 餘因子矩陣 n adjoint matrix

Keywords in Section 3. 5: n matrix of cofactors : 餘因子矩陣 n adjoint matrix : 伴隨矩陣 n Cramer’s rule : Cramer 法則 73/73