Thermoelectric and thermal rectification properties of quantum dot


![References • [1]A. J. Minnich, M. S. Dresselhaus, Z. F. Ren and G. Chen, References • [1]A. J. Minnich, M. S. Dresselhaus, Z. F. Ren and G. Chen,](https://slidetodoc.com/presentation_image_h2/742c82ce4a43339a7bb3a00d9dd24120/image-3.jpg)



![1 -2: Nonequilibrium Green’s function technique Ref[1]D. M. T. Kuo and Y. C. Chang, 1 -2: Nonequilibrium Green’s function technique Ref[1]D. M. T. Kuo and Y. C. Chang,](https://slidetodoc.com/presentation_image_h2/742c82ce4a43339a7bb3a00d9dd24120/image-7.jpg)











![3 -2: Thermal rectification efficiency (2 dots) TL TR Ref[4] R. Scheiber et al, 3 -2: Thermal rectification efficiency (2 dots) TL TR Ref[4] R. Scheiber et al,](https://slidetodoc.com/presentation_image_h2/742c82ce4a43339a7bb3a00d9dd24120/image-19.jpg)




![4: Conclusion (A) Figure of merit, ZT [1]The optimization of ZT depends not only 4: Conclusion (A) Figure of merit, ZT [1]The optimization of ZT depends not only](https://slidetodoc.com/presentation_image_h2/742c82ce4a43339a7bb3a00d9dd24120/image-24.jpg)
















- Slides: 40
Thermoelectric and thermal rectification properties of quantum dot junctions David M T Kuo 1 and Yia-Chung Chang 2 1: Department of Electrical Engineering, National Central University, Taiwan 2: Research Center for Applied Science, Academic Sinica, Taiwan The detail can be found in PRB 81, 205321 (2010)
Urbana-2003 -July
References • [1]A. J. Minnich, M. S. Dresselhaus, Z. F. Ren and G. Chen, Energy Environ Science, 2, 466 (2009) • [2]G. Mahan, B. Sales and J. Sharp, Physics Today, 50, 42 (1997). • [3]R. Venkatasubramanian, E. Siivola, T. Colpitts, B. O'Quinn, Nature 413, 597 (2001). ”Bi. Te/Sb. Te quantum well superlattice” • [4]A. I. Boukai, Y. Bunimovich, J. Tahir-Kheli, J. K. Yu, W. A. Goddard III and J. R. Heath, Nature, 451, 168(2008). ”Silicon quantum wire” • [5]T. C. Harman, P. J. Taylor, M. P. Walsh, B. E. La. Forge, Science 297, 2229 (2002). ”Pb. Se. Te Quantum dot superlattice “ • [6]K. F. Hsu, S. Loo, F. Guo, W. Chen, J. S. Dyck, C. Uher, T. Hogan, E. K. Polychroniadis, M. G. Kanatzidis, Science 303, 818(2004) • . [7]A. Majumdar, Science 303, 777 (2004). • [8]G. Chen, M. S. Dresselhaus, G. Dresselhaus, J. P. Fleurial and T. Caillat, International Materials Reviews, 48, 45 (2003) • [9]Y. M. Lin and M. S. Dresselhaus, Phys. Rev. B 68, 075304 (2003).
1: System Amorphous insulator Large intradot and interdot Coulomb interactions
1 -0: Fabrication
1 -1: Hamiltonian (Anderson model) The key effects included are the intradot and interdot Coulomb interactions and the coupling between the QDs with the metallic leads There is one energy level within each QD
1 -2: Nonequilibrium Green’s function technique Ref[1]D. M. T. Kuo and Y. C. Chang, Phys. Rev. Lett. 99, 086803(2007) Ref[2]Y. C. Chang and D. M. T Kuo, Phys. Rev. B 77, 245412 (2008)
2: Linear response Homogenous QD size, dilute QD density Eg EF ZT as a function of T for different detuning energies. Solid and dash lines correspond, respectively, without and with intradot Coulomb interactions. Ref[3]P. Murphy, S. Mukerjee, J. Morre, Phys. Rev. B 78, 161406 (2008).
2 -1: Interdot Coulomb interactions High QD density Side view (a) (b) (c ) (d) (a) Top view (b) (c) (d)
2 -2: ZT detuned by Eg Noninteraction case High QD density EF Eg
2 -3: Inelastic scattering effect on ZT QD size fluctuations, defects between metallic electrodes and insulators and electron-phonon interactions,
2 -4: Electrical conductance, thermal power and thermal conductance These curves correspond to Fig. 3. The temperature-dependence of ZT is similar to that of the electrical conductivity.
2 -5: Ge, S and Ke as a function of gate voltage Ge: Coulomb oscillation S: Sawtooth-like shape Ke: Sensitive to T
2 -6: Midway between the good and poor conductors
2. 7 Without vacuum layer
2. 8 Different dot sizes 2 nm
2. 9 Thickness of Si. O 2
3 -1: Thermal rectification effect Two dot case TL TR
3 -2: Thermal rectification efficiency (2 dots) TL TR Ref[4] R. Scheiber et al, New. J. Phys. 10, 083016 (2008)
3 -3: Thermal rectification (three QDs) Dot A
3 -4: The shift of QD energy levels caused by electrochemical potential Solid curves including Dashed curves excluding TL VH TH VL TH TL VL VH
3 -5: Interdot Coulomb interactions Solid line UAC=15 k. BT 0 Dashed line UAC=10 k. BT 0 Dotted line UAC=5 k. BT 0 Dot-Dashed line UAC=0
3 -6: Thermal rectification efficiency 3 dots 2 dots
4: Conclusion (A) Figure of merit, ZT [1]The optimization of ZT depends not only on the temperature but also on the detuning energy [2]Inelastic scattering effect of electron-phonon interactions, QD size fluctuations, and defects lead to a considerable reduction to the ZT values (B)Thermal rectification [1] Very strong asymmetrical coupling between the dots and the electrodes. [2] Large energy level separation between dots [3]Strong interdot Coulomb interactions
4. Thermal rectification
4. 1 Tunneling rates TH TL
4. 2 Tuning energy level
4. 3 Three-dots with uniform size The dot-dashed line indicates the junction system without asymmetrical heat current, when dots are identical.
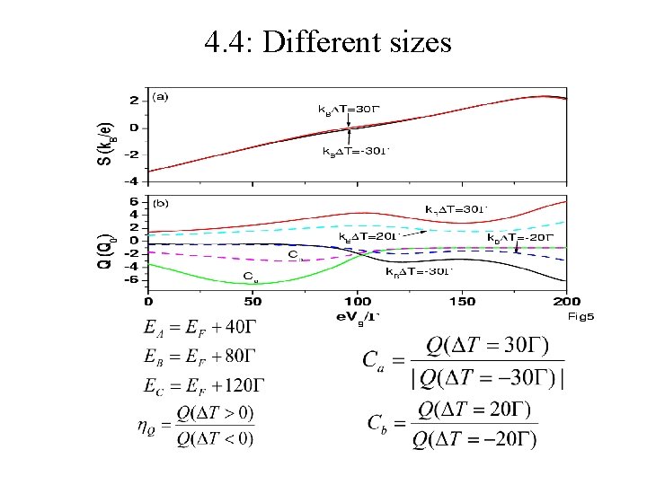
4. 4: Different sizes
4. 5 : Gate voltage
4. 6: Interdot Coulomb interactions
4. 7: Energy level shifted by electrochemical potential
5: A single molecular QD (a)Hard to scaling up thermal devices. (b)Hard to integrate with silicon based electronics. [1]P. Murphy, S. Mukerjee and J. Morre, Phys. Rev. B 78, 161406 (2008).
5. 1:
5. 2: Detuning energy
5. 3:
5. 4
5. 5
5. 6:
5. 7: S to resolve high order phonon assisted tunneling