Procura Agregada Oferta Agregada e Mercados Pedro Telhado

































































- Slides: 65
Procura Agregada, Oferta Agregada e Mercados Pedro Telhado Pereira
Procura Agregada • Soma das procuras individuais
Ou graficamente
Efectue os exercícios • 5. 1 • 5. 2 • 5. 3 • 5. 4 • 5. 5
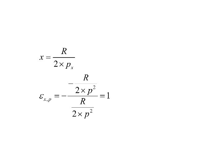
Elasticidade Procura-Rendimento
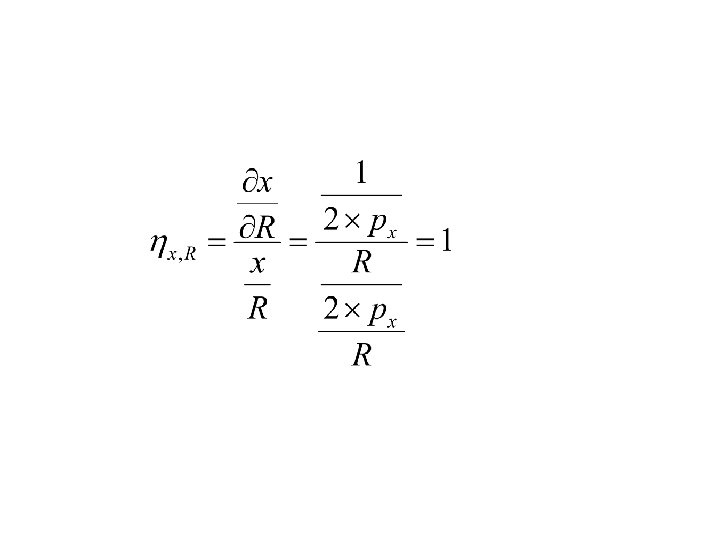
Exemplo Qual a elasticidade procura/rendimento?
Classificação quanto à elasticidade Procura-Rendimento • Bem normal • Bem Superior (ou de luxo) • Bem inferior
Elasticidade Procura – Preço Directa
Tipo de procura • Perfeitamente rígida • Inelástica ou rígida • Unitária • Elástica • Perfeitamente elástica
Efectue os exercícios • 5. 7 • 5. 8
Elasticidade e Despesa • Estudo da elasticidade e despesa ao longo de uma procura linear • Discussão na aula – ver livro.
Variação da receita com variações do preço • Depende com a elasticidade • p sobe e a receita aumenta. Tipo de elasticidade? • p desce e a receita aumenta. Tipo de elasticidade?
Receita marginal • Qual o sinal da receita marginal. Depende da elasticidade. • Explique como.
Receita marginal no caso da procura ser uma recta
Escreva as equações das rectas
Efectue os exercícios • 5. 9 • 5. 10
Determinantes da elasticidade procura-preço directa • Existência ou não de substitutos • Bens de luxo ou de necessidade • Importância do bem • Bens de preço elevado ou de preço baixo • Efeitos estatísticos • Tempo
Elasticidade Procura-Preço Cruzada
Efectue o exercício • 5. 12 • 5. 14
Concorrência Perfeita • Hipóteses • 1) os produtores entram livremente no mercado • 2) os produtores são tomadores de preços • 3) os produtores não se comportam estrategicamente • 4) os consumidores são tomadores de preços
Estrutura de mercado • Número elevado de compradores - compras infinitesimais • Número elevado de produtores - vendas infinitesimais • Produto homogéneo • Informação perfeita • Livre entrada
Curva da oferta de curto prazo • O equilíbrio de curto prazo • p = Cma • p acima ou igual ao mínimo do CVme • Cma crescente • O lucro económico pode ser positivo, negativo ou nulo.
Oferta agregada Graficamente
Efeitos da alteração da curva da procura agregada
Análise de longo prazo • Entrada de empresas se houver lucros • Saída de empresas se houver prejuízos • Oferta no mínimo dos Cme • p = Cma = min Cmelp
Graficamente
Nota • Se houver recursos únicos e escassos os seus proprietários recebem rendas económicas
Alteração da procura - aumento
No longo prazo • A curva da oferta de longo prazo aparece horizontal. • Infinitamente elástica
Eficiência económica • A soma do excedente do consumidor e do produtor é maximizada. • O que acontece no caso de se colocar um imposto.
A eficiência económica no mercado de concorrência perfeita: no equilíbrio, o excedente do consumidor e do produtor é maximizado, se houver intervenção do Estado e o preço subir para , os excedentes baixam e há perda líquida de bem-estar
Note que • p = Cma • Os bens são produzidos ao custo mínimo e na forma mais eficiente possível
Análise da incidência económica de um imposto específico de t unidades monetárias: • o impacto sobre os preços e quantidade transaccionada no mercado é independente da incidência legal
Graficamente
Mostre que • o impacto sobre os preços e quantidade transaccionada no mercado é independente da incidência legal
Exercícios • 14. 3 • 14. 11 • 14. 15
Até aqui falámos de Concorrência Perfeita • Hipóteses • 1) os produtores entram livremente no mercado • 2) os produtores são tomadores de preços • 3) os produtores não se comportam estrategicamente • 4) os consumidores são tomadores de preços
Estrutura de mercado • Número elevado de compradores - compras infinitesimais • Número elevado de produtores - vendas infinitesimais • Produto homogéneo • Informação perfeita • Livre entrada
Agora vamos estudar o Monopólio • Hipóteses • Os produtores não podem entrar livremente no mercado • Os produtores fixam os preços • Os consumidores são tomadores de preços.
Estrutura de mercado • Elevado número de compradores de pequena dimensão. • Um produtor. • Produção de um produto para o qual não há substituto próximo. • Informação perfeita. • Há barreiras legais, tecnológicas ou outras que bloqueiam a entrada de novas empresas.
Causas do monopólio • Controle da fonte de abastecimento de uma matéria prima (ex. a Transgás). • Economias de escala • Patente de fabrico • Atribuição de um mercado apenas a uma empresa.
Procura do produto do monopolista (simples) • Curva da procura do monopolista coincide com a curva da procura de mercado • RMe = P(y) • Para vender mais o monopolista tem que baixar o preço.
Receita Marginal não é igual ao preço salvo se …
Mostre que • RMa = P(y) (1 -1/€) onde € é a elasticidade da procura. • P(y) > RMa se y>0
Equilíbrio de curto prazo do monopolista • Gráficamente
De modo formal • Max ¶ = P(y) y - CT(y) e ¶ > - CF • C. 1. O. • RMa(y) = CMa(y)
• C. 2. O. • d. RMa(y)/dy < d. CMa(y)/dy • Condição de não encerramento • P(y) >= CVMe(y)
Caso de Encerramento
No caso do monopolista • Lucro total (ou anormal) pode ser positivo no longo prazo. • A oferta do monopolista é só uma quantidade e um preço
Da C. 1. O. • RMa = P(y) (1 -1/€) = CMa • (P(y)-CMa)/P(y) =1/€ - índice de Lerner ou regra do mark-up - medida do poder de mercado do monopolista
Comparação entre o monopólio e a concorrência perfeita Preço mais elevado Menor quantidade
E em termos de bem estar. . . P > CMa
• As políticas de defesa da concorrência perfeita • Monopólio e Incentivo à Inovação
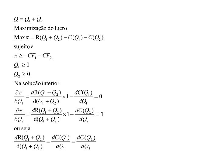
Tipos de monopólio • Monopólio com duas fábricas RMa(y 1+y 2) = CMa(y 1) = CMa(y 2)
Tipos de monopólio • Monopólio com discriminação de preços - não existe arbitragem • 1 grau • P = CMa • 3 grau • RMa(y 1) = RMa(y 2) = CMa(y 1+y 2) • Deduzir a relação entre os preços nos dois mercados e as elasticidades da procura
Condições de 1ª ordem para máximo interior
Monopólio natural e regulação • Fixação do preço • Exemplos: a) P = CMa b) P = CMe c) tarifa de 2 partes Regulação e taxa de rentabilidade "justa" Regulação e preço máximo
Exercícios • 15. 1 • 15. 3 • 15. 17