Para acertar na reproduo mire na nutrio Jos























































- Slides: 55
Para acertar na reprodução, mire na nutrição. José Luiz Moraes Vasconcelos (FMVZ - UNESP/Botucatu)
Qual sua função dentro do sistema de produção de gado de corte? Produção Carne Qualidade Reprodução Genética Nutrição Saúde Bem estar Gestão, etc. Taxa de Desfrute = Desempenho do Rebanho TD = UA abatidas/UA existentes + TCR
Qual genética devo utilizar? Maior produtividade? Mais IATF. Qual manejo nutricional devo utilizar? O melhor possível? Melhor ECC. Qual protocolo reprodutivo devo utilizar? O melhor possível? Maior Prenhez. E o protocolo sanitário? Menor Perda. Tem retorno econômico?
Características do Sistema de Cria Mas pode ser competitivo: Resultado operacional (@/ha/ano) +10% +44 % Fonte: EXAGRO
Qual é a fêmea mais lucrativa? Precoce, com bezerro nascendo no cedo, desmamando pesado, que permite carcaça de qualidade e abate precoce. Emprenhar no cedo. IATF = ferramenta disponível para estar no lugar certo, na hora certa, do jeito certo.
Quanto vale 5% a mais de prenhez na IATF? Qual o impacto econômico de 5% a mais na IATF? O que interfere em ter 5% a mais de prenhez na IATF?
Histórico Como manter a vaca no rebanho? Taxa de prenhez final de EM por mês de parto - 2009/2010 100% 95% 98% 95% 94% 87% 90% 82% 84% 78% 80% 78% 71% 67% 70% 59% 60% 53% 50% 40% 30% 20% 10% 0% 8 9 10 11 11 11 12 12 1 1 1 2 2
Mês de nascimento vs. peso à desmama *Dados referentes a 6. 000 bezerros desmamados no MS Fonte: Gerar
Estudo 3 - Histórico Mês de Nascimento N Taxa de Detecção Taxa de Prenhez Final EM 8 22 59, 1% 86, 4%a 9 75 58, 7% 81, 3%a 10 84 60, 7% 79, 8%a 11 67 49, 3% 62, 7%b 12 33 48, 5% 63, 6%b a, b – letras diferentes na coluna diferem estatisticamente (P<0, 05) PERES et al. (2007)
Mês de nascimento vs. Idade ao Abate Fonte: Gerar
Machos F 1 Angus x Nelore Fazenda Rio Correntes Peso Dias em Peso Ganho Idade de DDC Desmame recria Entrada Carcaça/dia Abate (dias) Conf (kg) (kg/dia) (dias) Mês N 8 e 9 342 257, 6 325 394, 3 351, 2 122, 3 154, 0 1, 26 23, 00 10 e 11 499 240, 3 322 379, 1 335, 2 124, 2 145, 7 1, 18 22, 72 12 e 1 202 225, 2 323 366, 6 326, 2 128, 7 144, 6 1, 13 22, 39 323, 5 381, 7 338, 7 124, 5 148, 18 1, 19 22, 75 Total 1043 243, 04 Geral 130 gramas de carcaça em 124 dias de cocho = R$ 145, 00
Machos Nelore Fazenda Rio Correntes Mês N Peso Dias em Peso Ganho Idade de DDC Desmame recria Entrada Carcaça/dia Abate (dias) Conf (kg) (kg/dia) (dias) 8 e 9 73 10 e 11 286 12 e 1 334 229, 1 212, 6 194, 9 329, 4 334, 9 328, 0 357, 4 339, 7 327, 2 307, 7 124, 6 129, 0 291, 8 126, 9 121, 9 282, 8 128, 0 119, 2 1, 04 0, 96 0, 93 23, 06 23, 24 22, 47 Total 693 Geral 205, 8 331, 0 335, 5 289, 1 127, 2 121, 35 0, 96 22, 85 110 gramas de carcaça em 127 dias de cocho = R$ 125, 73
Precisamos do Ciclo Virtuoso para que isso aconteça! Restrição de nutrientes diminui adipogênese, reduzindo marmoreio Restrição de nutrientes diminui hipertrofia muscular, reduzindo peso ao nascimento Restrição de nutrientes diminui a formação de tecido muscular, reduzindo o número de fibras e massa muscular do feto Hipertrofia muscular Formação secundária de fibras Formação primária de fibras Estágio embrionário Adipogênese Estágio fetal Mês da gestação Adapted from Du et al. (2010) JAS 88: E 51–E 6
Illinois - Dam supplementation Effects on steer progeny Percentage ≥ Avg Choice 100 90 80 70 60 % 50 40 30 20 10 0 P = 0. 04 b NS ab LS a HS Suplementação da vaca = pacote 2 em 1. Melhora prenhez (quantidade de carne) e qualidade da carne. Shoup et al. , 2015 b
Taxa de Prenhez à IATF Total de Dados Analisados GERAR Corte 2019 Total: 6. 759. 198 Taxa de Prenhez 51, 3% Fonte: Gerar
Comparativo da Taxa de Prenhez à IATF entre Fazendas Terc 1, Terc 2 e Terc 3 Fonte: Gerar
Distribuição da Taxa de Prenhez à IATF por Fazenda ao Longo dos Anos Novilhas Zebuínas Fonte: Gerar
Distribuição da Taxa de Prenhez à IATF por Fazenda ao Longo dos Anos Primíparas Zebuínas ? Fonte: Gerar
Distribuição da Taxa de Prenhez à IATF por Fazenda ao Longo dos Anos Multíparas Zebuínas Fonte: Gerar
Como ter Primíparas com Melhor Condição Corporal no Início da Estação de Monta?
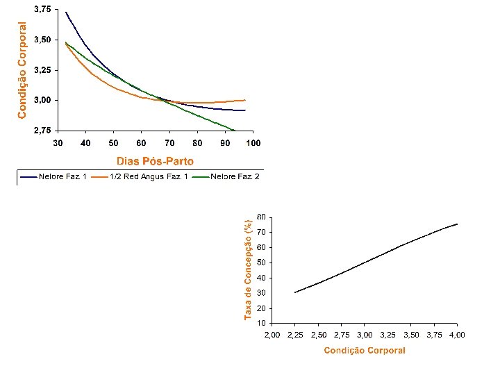
Alteração na CC por mês de parição Efeito de mês de parição na dinâmica da CC
Manejo reprodutivo em novilhas
Proporção de Matrizes de Reposição 2015 a 2019 70% 58, 6% 60% 61, 6% 59, 3% 55, 9% 53, 0% 50% 40% 35, 9% 29, 2% 30% 26, 6% 25, 5% 21, 0% 18, 6% 17, 8% 19, 7% 20% 11, 8% 10% 5, 5% 0% Novilhas Induzidas Novilhas 2015 2016 2017 Solteiras 2018 2019
Manejo: Época de Nascimento Concepção da Vaca Nascimento Idade Chance Reconcepção? Agosto 15 100? ? ? Setembro 14 100? ? ? Outubro 13 90? ? ? Novembro 12 80? ? ? Dezembro 11 40? ? ?
Mês de Nascimento vs. Peso à Desmama
Probabilidade de Resposta a Indução de Ciclicidade com MGA® por Peso das Novilhas ao Início da Estação de Monta Probabilidade de Ciclicidade 90 80 Ciclicidade (%) 70 60 Momento nascer x Suplementação x Antecipar UM ANO? 50 40 30 20 10 0 200 220 240 260 280 Peso Jejum (Kg/cabeça) 300 320
Manejo Reprodutivo de Novilhas CIDR-4 Dia -31 -24 -12 -CIDR O, 5 mg ECP US + CIDR US IATF Intervalo 12 dias para inicio da IATF PRÉ-PUBERES e CICLANDO 0 9 11 41 +CIDR 2 mg BE US 0, 5 mg ECP IA US US 12, 5 mg PGF: Dia 9 Protocolo Padrão IATF - Controle CIDR 0 Inserir CIDR 2 mg BE 7 12, 5 mg PGF 9 Retirar CIDR 0, 5 mg ECP 11 IA Rodrigues et al. , 2014
Taxa de Prenhez à IATF por Tratamento (Novilhas Nelore) Rodrigues et al. , 2014
Atraso no início da estação de monta das novilhas permite MAIOR peso (melhor resposta ao protocolo de indução) e MAIOR ECC na IATF quando primíparas!
ECC ao parto e alteração do ECC parto DG
Seleção de Genética Materna Interação Genótipo Ambiente Genética Habilidade Materna Produção de Leite , , Peso do Bezerro Susceptibilidade a perda de peso Desafio Manejo Nutricional Quantidade e qualidade
Cenário Primípara Exigência T Disponibilidade Pastagem Pré-parto Ganho 900 g/d 16, 4 Mcal/d 880 g/d PB 25 Kg MV/d +1, 0 Kg Farelo de Soja Produzindo 4 L de leite DPP = 30 d 16, 4 Mcal/d 880 g/d PB 22 Kg MV/d + 1, 0 Kg Farelo de Soja + 1, 0 Kg de Milho Produzindo 8 L de leite DPP = 30 d Produzindo 4 L de leite DPP = 60 d 19, 5 Mcal/d 1130 g/d PB 17, 8 Mcal/d 960 g/d PB 22 Kg MV/d + 1, 4 Kg Farelo de Soja + 1, 4 Kg de Milho 22 Kg MV/d + 1, 1 Kg Farelo de Soja + 1, 1 Kg de Milho
Influência da Alteração do Escore de Condição Corporal Pós-Parto, na Eficiência Produtiva de Vacas Nelore Submetidas à IATF Rafael Silveira Carvalho Médico Veterinário, Grupo Rio Vermelho Xinguara - PA Uberlândia – MG Março de 2018
Probabilidade de Prenhez à IATF Primíparas 70% Secundíparas Multíparas 60% 50% 40% 30% 20% 10% 2, 25 2, 75 3 3, 25 ECC ao Parto 3, 5 3, 75 Representação gráfica da probabilidade de prenhez à primeira IATF de acordo com ECC ao parto em primíparas (P=0, 0006; linear), em secundíparas (P=0, 0009; linear) e em multíparas (P=0, 0012; linear) Nelore lactantes.
Probabilidade de Prenhez à IATF 70% Primíparas Secundíparas Multíparas 60% 50% 40% 30% 20% 10% 2, 25 2, 50 2, 75 3, 00 ECC na IATF 3, 25 3, 50 Representação gráfica da probabilidade de prenhez à primeira IATF de acordo com ECC no momento da IATF em primíparas (P = 0, 027; quadrática), em secundíparas (P = 0, 07; quadrática) e em multíparas (P = 0, 05; quadrática) Nelore lactantes.
Probabilidade de Prenhez à IATF 70% Primíparas Secundíparas Multíparas 60%ter vacas com ECC acima de 3, 0 na IATF? Como 50% 1. Parir gorda e perder 40%2. Parir com 3, 0 e não perder nada 3. Parir magra e ganhar 30% 20% Qual é mais fácil? 10% 2, 25 2, 50 2, 75 3, 00 ECC na IATF 3, 25 3, 50 Representação gráfica da probabilidade de prenhez à primeira IATF de acordo com ECC no momento da IATF em primíparas (P = 0, 027; quadrática), em secundíparas (P = 0, 07; quadrática) e em multíparas (P = 0, 05; quadrática) Nelore lactantes.
Probabilidade de Prenhez à IATF 70% Primíparas Secundíparas Multíparas 60% 50% 40% 30% 20% 10% -0, 5 -0, 25 0 0, 25 Alteração de ECC 0, 5 Representação gráfica da probabilidade de prenhez à primeira IATF de acordo com alteração de ECC entre o parto e a IATF (49, 2 0, 3 DPP) em primíparas (P = 0, 27; linear), em secundíparas (P = 0, 28; linear) e em multíparas (P = 0, 7; linear) Nelore lactantes.
Probabilidade de Prenhez à IATF 70% Primíparas Secundíparas Multíparas 60% 50% 40% 30% 20% 10% -0, 5 -0, 25 0 Alteração de ECC 0, 25 0, 5 Representação gráfica da probabilidade de prenhez à primeira IATF de acordo com alteração de ECC pós IATF, em primíparas (P < 0, 0001; linear), em secundíparas (P = 0, 06; linear) e em multíparas (P = 0, 014; quadrática) Nelore lactantes. OBS: Se tem um momento que a vaca tem que ganhar peso é pós IATF.
Taxa de Prenhez à IATF e Distribuição por ECC no d 0 – Novilhas Induzidas 19, 9% ≤ que 2, 75 P/IATF: 46, 9% 80, 1% ≥ que 3, 0 P/IATF: 49, 7% 42, 5% 25, 9% 8, 7% 11, 2% 11, 7%
Taxa de Prenhez à IATF e Distribuição por ECC no d 0 – Novilhas 26, 0% ≤ que 2, 75 P/IATF: 47, 1% 10, 6% 15, 4% 74, 0% ≥ que 3, 0 P/IATF: 50, 6% 31, 6% 10, 9% 31, 5%
Taxa de Prenhez à IATF e Distribuição por ECC no d 0 – Primíparas 50, 1% ≤ que 2, 75 P/IATF: 42, 7% 26, 4% 23, 6% 49, 9% ≥ que 3, 0 P/IATF: 52, 8% 29, 1% 7, 1% 13, 7%
Taxa de Prenhez à IATF e Distribuição por ECC no d 0 – Secundíparas 42, 0% ≤ que 2, 75 P/IATF: 52, 3% 18, 2% 23, 8% 58, 0% ≥ que 3, 0 P/IATF: 56, 6% 31, 4% 7, 7% 18, 9%
Taxa de Prenhez à IATF e Distribuição por ECC no d 0 – Multíparas 44, 5% ≤ que 2, 75 P/IATF: 52, 5% 24, 5% 20, 0% 55, 5% ≥ que 3, 0 P/IATF: 56, 9% 30, 9% 6, 8% 17, 8%
Presença de CL no DG por Ordem - Zebuínas (IATF 1) Fonte: Gerar
Presença de CL no DG por Ordem – Zebuínas Fonte: Gerar
Taxa de Prenhez e Proporção de Animais que Receberam IATF 2 por Ordem Fonte: Gerar
Taxa de Prenhez à IATF 1 + IATF 2 por Ordem – Zebuínas Fonte: Gerar
Otimização da IATF permite aumentar a produção de carne de qualidade. Maior Prenhez na Primeira IATF Permite Diminuir a Estação de Monta! QUANTO DEVO INTENSIFICAR? OBRIGADO e BOM TRABALHO