Idea 10 elettrochimica Pile a concentrazione Per laltra






























































- Slides: 62
Idea 10 elettrochimica
Pile a concentrazione
Per l’altra semireazione
elettrolisi
Forza controelettromotrice
Forza controelettromotrice
sovratensione
• Gli ioni H+, sotto forma di idrossonio (H 3 O+), sia provenienti dalla dissociazione dell'acqua che da quella di un acido, si riducono più facilmente degli ioni dei metalli che precedono l'idrogeno nella scala dei potenziali di riduzione; raggiungendo il catodo captano elettroni (riduzione), passano allo stato atomico e quindi a idrogeno molecolare. • Gli ioni dei metalli che seguono l'idrogeno nella scala dei potenziali di riduzione si riducono più facilmente di esso, raggiungendo il catodo captano elettroni (riduzione), diventano atomi neutri e si depositano sul catodo in forma di metallo. • Gli ioni cloruro, Cl-, se la soluzione è concentrata, si ossidano più facilmente degli ioni ossidrilici, raggiungono l'anodo, cedono elettroni (ossidazione) e si ha quindi sviluppo di cloro gassoso. • Gli anioni degli ossiacidi e gli ioni fluoruro si ossidano meno facilmente degli ioni ossidrilici che, reagendo a due, danno acqua e sviluppano ossigeno gassoso.
Elettrolisi del Na. Cl fuso
Elettrolisi del Na. Cl fuso
M è la massa totale depositata sul catodo; m è la massa molare della sostanza depositata; q è la carica elettrica totale associata ai portatori di carica che attraversano la soluzione; Z è la valenza degli ioni della sostanza (cariche trasferite per ione); F è la costante di Faraday (pari a 96, 485 k. C/mol).
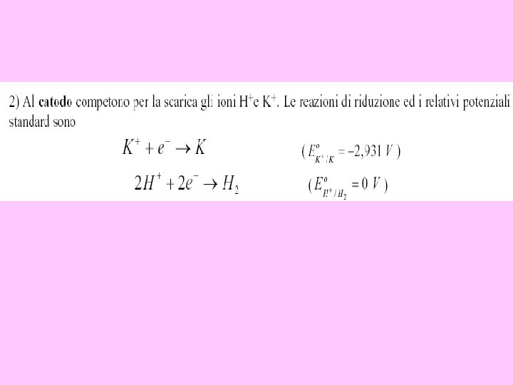
Competizione tra ioni
Elettrolisi in sol acquosa di Ag. Cl • Al catodo • 2 H+ + 2 e- →H 2 • 2 H 2 O + 2 e- → H 2 +2 OH • Ag++e- →Ag E° = 0 E° = - 0, 8277 E° = +0, 80 • Risultato: formazione di argento solido al catodo
Elettrolisi in sol acquosa di Ag. Cl • 2 Cl- → Cl 2 + 2 e- E° = 1, 36 V • 2 Ag++2 e- → 2 Ag E° = +0, 80 V catodo anodo • ---------------------------- • 2 Ag+ + 2 e-+ 2 Cl- → 2 Ag + Cl 2 + 2 e-
Elettrolisi del K 2 SO 4 Ho una soluzione di 100 g con 10% in peso di K 2 SO 4, faccio passare 107. 200 coulomb, come varia la percentuale in peso alla fine?
• Al catodo (polo negativo, polo a cui avviene la riduzione) possono avvenire le seguenti reazioni. . . 2 H 2 O + 2 e- → H 2 + 2 OHK+ + e - → K E° = -0, 83 V E° = -2, 93 V • Al catodo avviene la riduzione della specie con potenziale di riduzione più elevato, rappresentato in questo caso dalla riduzione dell'idrogeno dell'acqua ad idrogeno molecolare.
• All'anodo (polo positivo, polo a cui avvengono le ossidazioni) possono avvenire le seguenti reazioni. . . 2 H 2 O → O 2 + 4 H+ + 4 e. SO 4 -² → S 2 O 8 -² + 2 e- E° = +1. 23 V E° = +2. 01 V All'anodo avviene l'ossidazione della specie con potenziale di riduzione più piccolo, rappresentato dall'ossidazione dell'ossigeno dell'acqua a ossigeno molecolare.
• In pratica, l'esperimento in questione è semplicemente l'elettrolisi dell'acqua. • Il ricorso a solfato di potassio serve solo per aumentare la conducibilità della soluzione: siccome l'acqua pura è molto poco dissociata, è necessario ricorrere ad un elettrolita per aumentare la conducibilità della soluzione. La reazione che si realizza sarà quindi data dalla due semireazioni. . . • 2 H 2 O → O 2 + 4 H+ + 4 e • 4 H 2 O + 4 e- → 2 H 2 + 4 OH- • ----------------------------- • 4 H 2 O + 4 e- +2 H 2 O → O 2 + 4 H+ + 4 e-+2 H 2 + 4 OH-
M è la massa totale depositata sul catodo; m è la massa molare della sostanza depositata; q è la carica elettrica totale associata ai portatori di carica che attraversano la soluzione; Z è la valenza degli ioni della sostanza (cariche trasferite per ione); F è la costante di Faraday (pari a 96, 485 k. C/mol). • Dopo il passaggio di 107. 200 C, vi sarà stata l'elettrolisi di una massa di acqua pari a. . . m = A·t · PM / (n ·F) m = 107200 C · 18 g/mol / (4 mol · 96500 C) = 5 g Pertanto, se la composizione della soluzione di partenza era. . . 10 g K 2 SO 4 90 g H 2 O • dopo elettrolisi, in soluzione saranno presenti. . . 10 g K 2 SO 4 85 g H 2 O • La composizione della soluzione finale sarà. . . (10 / 95) · 100 = 10. 5 % in peso di K 2 SO 4