An Introduction to Constraint Programming in JChoco Constraint























































- Slides: 55
An Introduction to Constraint Programming in JChoco
Constraint satisfaction • Constraint satisfaction problem (CSP) is a triple <V, D, C> where: – V is set of variables – Each X in V has set of values, D_X • Usually assume finite domain • {true, false}, {red, blue, green}, [0, 10], … – C is set of constraints Goal: find assignment of values to variables to satisfy all the constraints
V 4 V 3 V 1 V 4 1 V 4 + V 2 = 5 V 2 V 3 6 V 1 V 2 Di = {1, 2, 3, 4, 5} AR 33 figure 18, page 35 What can you infer?
V 4 V 1 V 4 1 V 4 V 3 V 4 + V 2 = 5 V 2 V 3 6 V 1 V 2 Di = {1, 2, 3, 4, 5} D 1 = {1, 2} D 2 = {2, 3} D 3 = {4, 5} D 4 = {2, 3} Was that easy? Do you agree?
A program that models csp 6
With print statements and search
Packages used
Can throw an exception
Create a problem
Create variables
Post constraints
Establish AC
Magic code to get all solutions
Code to count solutions
output/trace Problem with no V or C
variables
Variables and constraints
Made AC
All solutions
2 colour K 3 The difference all. Different makes Just how weak/powerful is AC processing?
Prop 0. java Make it AC Run it
Prop 1. java all. Different Run it
AF 2 assessed exercise One of 5 questions X + Y + Z = 20 X, Y, Z {1. . 10} How many solutions? See Test. java
Test. java Count number of solutions
As a decision problem: is there a glomb ruler with n ticks with length no more than m units?
AF 2 assessed exercise How many n digit numbers are there where the number must contain at least 0 ne number 3 and at least one number 5? n=6 330095 501633 333335 120583 555355 … See Threes. And. Fives. java
Magic square An example of how to represent a problem An idea from Chris Beck
• put a number in each square • each number is different • a number is in the range 1 to 16 • the sum of a column is • the same as a sum of a row • the same as the sum of a main diagonal
1 st stab • put a number in each square • each number is different • a number is in the range 1 to 16 • the sum of a column is • the same as a sum of a row • the same as the sum of a main diagonal Use sum(x) = sum(y) where x and y are - different rows - different columns - different diagonals Every element of the array is different - represent as a clique of not equals How does it go? For propagation and search?
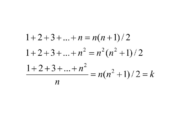
2 nd stab • put a number in each square • each number is different • a number is in the range 1 to 16 • the sum of a column is • the same as a sum of a row • the same as the sum of a main diagonal But what is k? How does model perform?
Magic square on the web http: //mathworld. wolfram. com/Magic. Square. html http: //mathforum. org/alejandre/magic. square. html
Thanks to Chris Beck
Thanks to Bouygues