TOPIC CONE DEFINITION OF CONE HOMOGENEOUS EQUATION OF

  • Slides: 44
Download presentation
TOPIC : CONE

TOPIC : CONE

DEFINITION OF CONE

DEFINITION OF CONE

HOMOGENEOUS EQUATION OF CONE

HOMOGENEOUS EQUATION OF CONE

EQUATION OF CONE WITH VERTEX AT ORIGIN

EQUATION OF CONE WITH VERTEX AT ORIGIN

EQUATION OF A CONE

EQUATION OF A CONE

EXAMPLES RELATED TO CONE

EXAMPLES RELATED TO CONE

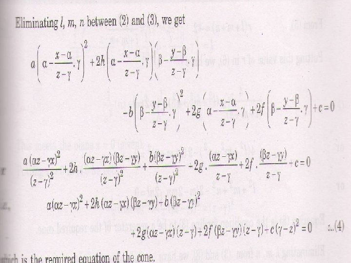
EQUATION OF CONE WITH A GIVEN VERTEX AND BASE A GIVEN CONIC

EQUATION OF CONE WITH A GIVEN VERTEX AND BASE A GIVEN CONIC

RIGHT CIRCULAR CONE

RIGHT CIRCULAR CONE

EQUATION OF RIGHT CIRCULAR CONE (STANDARD FORM)

EQUATION OF RIGHT CIRCULAR CONE (STANDARD FORM)

EXAMPLES

EXAMPLES

ENVELOPING CONE The locus of tangent drawn from a fixed point to a sphere

ENVELOPING CONE The locus of tangent drawn from a fixed point to a sphere (or conicoid) is a cone , called enveloping cone or tangent from the point to the sphere.

EQUATION OF ENVELOPING CONE

EQUATION OF ENVELOPING CONE

ENVELOPIG CONE IN GENERAL FORM

ENVELOPIG CONE IN GENERAL FORM

EXAMPLES RELATED TO ENVELOPING CONE

EXAMPLES RELATED TO ENVELOPING CONE

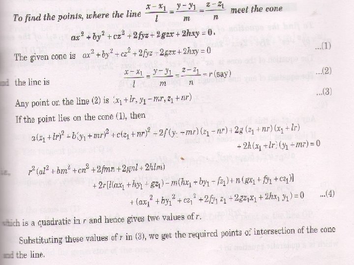
INTERSECTION OF A STRAIGHT LINE AND A CONE

INTERSECTION OF A STRAIGHT LINE AND A CONE

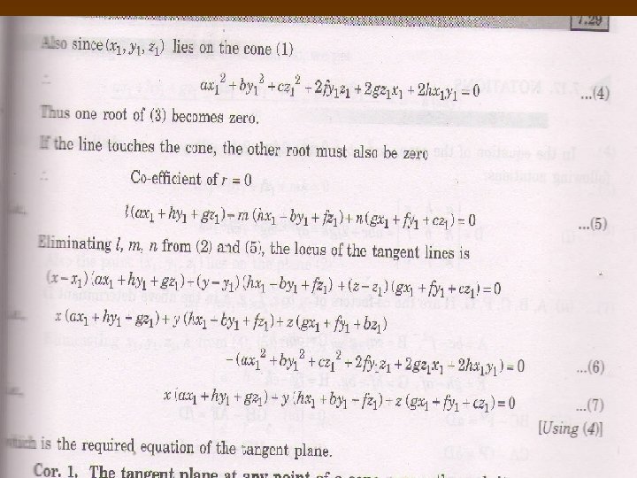
EQUATION OF THE TANGENT PLANE

EQUATION OF THE TANGENT PLANE

ASSIGNMENT

ASSIGNMENT

n n Find the equation to the cone with vertex at the origin and

n n Find the equation to the cone with vertex at the origin and which passes through the curves x 2+y 2=4, z=2 Find the equation to the cone with vertex at the origin and which passes through the intersection of the surfaces 4 x 2+y 2+z 2+2 x+4 z=8 4 x 2+y 2+z 2+x+2 z=4

n n n Find the equation of the cone whose vertex is( , ,

n n n Find the equation of the cone whose vertex is( , , ) and whose base is y 2=4 ax, z=0 Find the equation of the cone whose vertex is( , , ) and whose base is ax 2+by 2=1, z=0 Find the equation of the cone whose vertex is the point (1, -1, 2) and whose guiding curve is 3 x 2 -y 2=1, z=0

n n n Find the equation to the right circular cone whose vertex is

n n n Find the equation to the right circular cone whose vertex is p(2, -3, 5), axis pq which makes equal angles with the co-ordinates axis and semi-vertical angle is 30. Find the enveloping cone of the sphere x 2+y 2+z 2+2 x-2 y=2 with its vertex at (1, 1, 1) Prove that 4 x 2 -y 2+2 z 2+2 xy-3 yz+12 x-11 y+6 z+4=0 represent a cone whose vertex is (-1, -2, -3).

TEST n NOTE: DO ANY TWO

TEST n NOTE: DO ANY TWO

n n n Find the equation to the cone, whose vertex is at the

n n n Find the equation to the cone, whose vertex is at the origin and which passes through the curves x 2/4+y 2/9+z 2/1=1 x+y+z=1 Find the equation of the conewith vertex (1, 1, 1) and passes through the curve of intersection of x+y+z=1 and x 2+y 2+z 2=1 Find the equation to the right circular cone, whose vertex is p(2, -3, 5), axis pq which makes equal angles with the axes and which passes through a(1, -2, 3).