SEC 8 2 TRIGONOMETRIC INTEGRALS Example Find TRIGONOMETRIC

  • Slides: 26
Download presentation
SEC 8. 2: TRIGONOMETRIC INTEGRALS Example Find

SEC 8. 2: TRIGONOMETRIC INTEGRALS Example Find

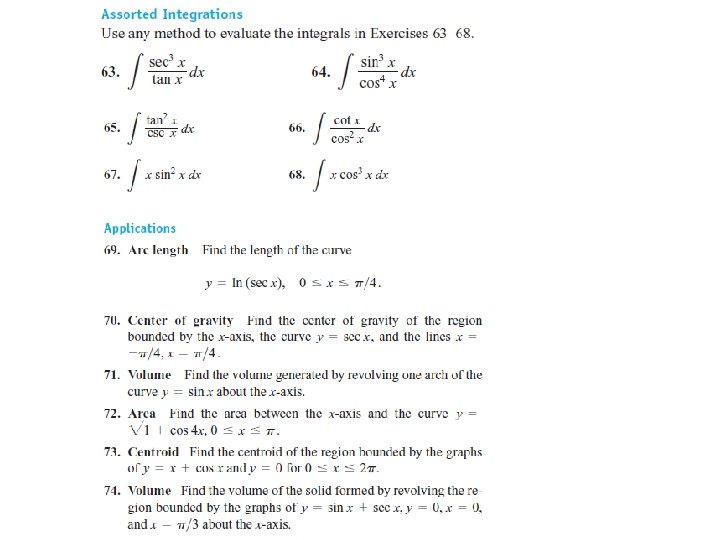
TRIGONOMETRIC INTEGRALS 1 1 2 2 to express the remaining factors in terms of

TRIGONOMETRIC INTEGRALS 1 1 2 2 to express the remaining factors in terms of sin to express the remaining factors in terms of cos

TRIGONOMETRIC INTEGRALS 1 2 sometimes helpful to use

TRIGONOMETRIC INTEGRALS 1 2 sometimes helpful to use

TRIGONOMETRIC INTEGRALS Eliminating Square Roots we use the identity to eliminate a square root.

TRIGONOMETRIC INTEGRALS Eliminating Square Roots we use the identity to eliminate a square root. Example Find

TRIGONOMETRIC INTEGRALS We can use a similar strategy to evaluate integrals of the form

TRIGONOMETRIC INTEGRALS We can use a similar strategy to evaluate integrals of the form Example Find

TRIGONOMETRIC INTEGRALS 1 1 2 2 to express the remaining factors in terms of

TRIGONOMETRIC INTEGRALS 1 1 2 2 to express the remaining factors in terms of tan to express the remaining factors in terms of sec

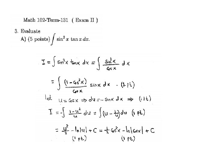
EXAM-2 Term-082

EXAM-2 Term-082

TRIGONOMETRIC INTEGRALS the guidelines are not as clear-cut. We may need to use identities,

TRIGONOMETRIC INTEGRALS the guidelines are not as clear-cut. We may need to use identities, integration by parts, and occasionally a little ingenuity.

TRIGONOMETRIC INTEGRALS the guidelines are not as clear-cut. We may need to use identities,

TRIGONOMETRIC INTEGRALS the guidelines are not as clear-cut. We may need to use identities, integration by parts, and occasionally a little ingenuity. Example Find If an even power of tangent appears with an odd power of secant, it is helpful to express the integrand completely in terms of sec x Powers of sec x may require integration by parts, as shown in the following example.

TRIGONOMETRIC INTEGRALS Example Find

TRIGONOMETRIC INTEGRALS Example Find

TRIGONOMETRIC INTEGRALS REMARK Integrals of the form can be found by similar methods because

TRIGONOMETRIC INTEGRALS REMARK Integrals of the form can be found by similar methods because of the identity

1 1 2 2 to express the remaining factors in terms of cot to

1 1 2 2 to express the remaining factors in terms of cot to express the remaining factors in terms of csc

EXAM-2 Term-122

EXAM-2 Term-122

Product of Sines and Cosines EXAM-2 Term-122

Product of Sines and Cosines EXAM-2 Term-122

TRIGONOMETRIC INTEGRALS Powers of Sines and Cosines Products of Sines and Cosines TRIGONOMETRIC INTEGRALS

TRIGONOMETRIC INTEGRALS Powers of Sines and Cosines Products of Sines and Cosines TRIGONOMETRIC INTEGRALS Powers of tan x and sec x Eliminating Square Roots

EXAM-2 Term-092

EXAM-2 Term-092

TRIGONOMETRIC INTEGRALS function of tan and sec function of Sines and Cosines TRIGONOMETRIC INTEGRALS

TRIGONOMETRIC INTEGRALS function of tan and sec function of Sines and Cosines TRIGONOMETRIC INTEGRALS function of cot and csc EXAM-2 Term-092

EXAM-2 Term-092

EXAM-2 Term-092

EXAM-2 Term-092

EXAM-2 Term-092

EXAM-2 Term-092

EXAM-2 Term-092