INTEGRAL PERMUKAAN INTEGRAL LUAS Diberikan permukaan S dalam
INTEGRAL PERMUKAAN
INTEGRAL LUAS � Diberikan permukaan S dalam ruang, untuk S yang terbuka (bermuka dua), vektor tegak lurus S memiliki dua arah, arah positif dan negatif � Sebuah vektor satuan n disebarang titik dari S disebut satuan normal positif jika arahnya keatas dalam kasus ini.
Berkaitan dengan permukaan kecil d. S dari permukaan S dapat dibayangkan adanya sebuah vektor permukaan d. S yang besarnya sama dengan d. S dan arahnya sama dengan n (normal) sehingga vektor permukaan d. S adalah : d. S = n d. S
� Sehingga integral permukaan (fluks) akibat sebuah skalar fungsi (medan vektor Q) pada sebuah permukaan S adalah :
Untuk menghitung integral permukaan akan lebih sederhana dengan memproyeksikan S pada salah satu bidang koordinat, kemudian menghitung integral lipat dua dari proyeksinya.
Misalkan Sampel mempunyai proyeksi R pada bidang xy, xz dan yz maka integral permukaan :
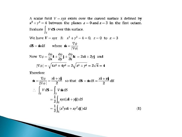
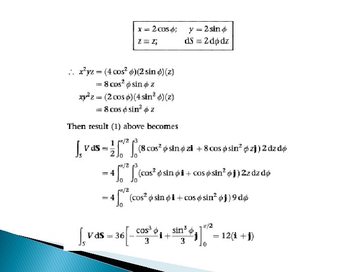
� Untuk permukaan f(x, y, z)=C, maka f merupakan vektor tegak lurus permukaan f(x, y, z)=C
Contoh Hitunglah integral permukaan dengan Q = xy i - x 2 j + (x+z) k dan S adalah bagian bidang 2 x + 2 y + z = 6 yang terletak dikuadran pertama
INTEGRAL VOLUME � Integral Volume (ruang) akibat sebuah medan(A) pada sebuah permukaan tertutup didalam ruang yang menutupi sebuah volume V adalah :
Contoh � Diberikan A = 45 x 2 y dan V merupakan volume ruang tertutup yang dibatasi oleh bidang 4 x + 2 y + z = 8, x=0 y=0 z=0 hitunglah integral volumenya
- Slides: 20